• 文献检索
  • 文档翻译
  • 深度研究
  • 学术资讯
  • Suppr Zotero 插件Zotero 插件
  • 邀请有礼
  • 套餐&价格
  • 历史记录
应用&插件
Suppr Zotero 插件Zotero 插件浏览器插件Mac 客户端Windows 客户端微信小程序
定价
高级版会员购买积分包购买API积分包
服务
文献检索文档翻译深度研究API 文档MCP 服务
关于我们
关于 Suppr公司介绍联系我们用户协议隐私条款
关注我们

Suppr 超能文献

核心技术专利:CN118964589B侵权必究
粤ICP备2023148730 号-1Suppr @ 2026

文献检索

告别复杂PubMed语法,用中文像聊天一样搜索,搜遍4000万医学文献。AI智能推荐,让科研检索更轻松。

立即免费搜索

文件翻译

保留排版,准确专业,支持PDF/Word/PPT等文件格式,支持 12+语言互译。

免费翻译文档

深度研究

AI帮你快速写综述,25分钟生成高质量综述,智能提取关键信息,辅助科研写作。

立即免费体验

具有攻击性啄癖行为的蛋鸡差异表达基因。

Differentially expressed genes for aggressive pecking behaviour in laying hens.

机构信息

Aarhus University, Faculty of Agricultural Sciences, Department of Genetics and Biotechnology, Blichers Allée 20, P.O. Box 50, DK-8830 Tjele, Denmark.

出版信息

BMC Genomics. 2009 Nov 19;10:544. doi: 10.1186/1471-2164-10-544.

DOI:10.1186/1471-2164-10-544
PMID:19925670
原文链接:https://pmc.ncbi.nlm.nih.gov/articles/PMC2785841/
Abstract

BACKGROUND

Aggressive behaviour is an important aspect in the daily lives of animals living in groups. Aggressive animals have advantages, such as better access to food or territories, and they produce more offspring than low ranking animals. The social hierarchy in chickens is measured using the 'pecking order' concept, which counts the number of aggressive pecks given and received. To date, little is known about the underlying genetics of the 'pecking order'.

RESULTS

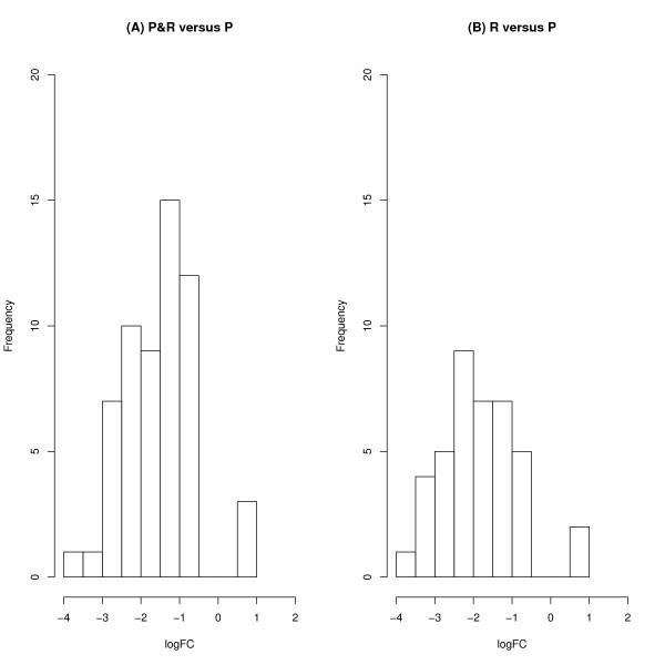
A total of 60 hens from a high feather pecking selection line were divided into three groups: only receivers (R), only peckers (P) and mixed peckers and receivers (P&R). In comparing the R and P groups, we observed that there were 40 differentially expressed genes [false discovery rate (FDR) P < 0.10]. It was not fully clear how the 40 genes regulated aggressive behaviour; however, gene set analysis detected a number of GO identifiers, which were potentially involved in aggressive behavioural processes. These genes code for synaptosomes (GO:0019797), and proteins involved in the regulation of the excitatory postsynaptic membrane potential (GO:0060079), the regulation of the membrane potential (GO:0042391), and glutamate receptor binding (GO:0035254).

CONCLUSION

In conclusion, our study provides new insights into which genes are involved in aggressive behaviours in chickens. Pecking and receiving hens exhibited different gene expression profiles in their brains. Following confirmation, the identification of differentially expressed genes may elucidate how the pecking order forms in laying hens at a molecular level.

摘要

背景

攻击性行为是群居动物日常生活中的一个重要方面。具有攻击性的动物具有优势,例如更好地获得食物或领地,并且比低等级的动物产生更多的后代。鸡的社会等级制度是通过“啄序”概念来衡量的,该概念计算攻击性啄的次数。迄今为止,关于“啄序”的潜在遗传基础知之甚少。

结果

从高羽毛啄选系中总共选择了 60 只母鸡,将其分为三组:仅接受者(R)、仅啄者(P)和混合啄者和接受者(P&R)。在比较 R 和 P 组时,我们观察到有 40 个差异表达基因[错误发现率(FDR)P<0.10]。尚不清楚这 40 个基因如何调节攻击行为;然而,基因集分析检测到许多 GO 标识符,这些标识符可能参与了攻击性行为过程。这些基因编码突触体(GO:0019797)和参与调节兴奋性突触后膜电位(GO:0060079)、调节膜电位(GO:0042391)和谷氨酸受体结合(GO:0035254)的蛋白质。

结论

总之,我们的研究提供了新的见解,即哪些基因参与了鸡的攻击行为。啄食和接受母鸡的大脑表现出不同的基因表达谱。经过确认后,差异表达基因的鉴定可能会阐明在分子水平上母鸡啄序是如何形成的。

https://cdn.ncbi.nlm.nih.gov/pmc/blobs/0287/2785841/39efc0ec3e3c/1471-2164-10-544-5.jpg
https://cdn.ncbi.nlm.nih.gov/pmc/blobs/0287/2785841/91513804dee8/1471-2164-10-544-1.jpg
https://cdn.ncbi.nlm.nih.gov/pmc/blobs/0287/2785841/6a7da8e1c088/1471-2164-10-544-2.jpg
https://cdn.ncbi.nlm.nih.gov/pmc/blobs/0287/2785841/a6d5818518c4/1471-2164-10-544-3.jpg
https://cdn.ncbi.nlm.nih.gov/pmc/blobs/0287/2785841/c1e9291a8b3b/1471-2164-10-544-4.jpg
https://cdn.ncbi.nlm.nih.gov/pmc/blobs/0287/2785841/39efc0ec3e3c/1471-2164-10-544-5.jpg
https://cdn.ncbi.nlm.nih.gov/pmc/blobs/0287/2785841/91513804dee8/1471-2164-10-544-1.jpg
https://cdn.ncbi.nlm.nih.gov/pmc/blobs/0287/2785841/6a7da8e1c088/1471-2164-10-544-2.jpg
https://cdn.ncbi.nlm.nih.gov/pmc/blobs/0287/2785841/a6d5818518c4/1471-2164-10-544-3.jpg
https://cdn.ncbi.nlm.nih.gov/pmc/blobs/0287/2785841/c1e9291a8b3b/1471-2164-10-544-4.jpg
https://cdn.ncbi.nlm.nih.gov/pmc/blobs/0287/2785841/39efc0ec3e3c/1471-2164-10-544-5.jpg

相似文献

1
Differentially expressed genes for aggressive pecking behaviour in laying hens.具有攻击性啄癖行为的蛋鸡差异表达基因。
BMC Genomics. 2009 Nov 19;10:544. doi: 10.1186/1471-2164-10-544.
2
A genome-wide association study in a large F2-cross of laying hens reveals novel genomic regions associated with feather pecking and aggressive pecking behavior.一项针对蛋鸡大型F2杂交群体的全基因组关联研究揭示了与啄羽和攻击性啄羽行为相关的新基因组区域。
Genet Sel Evol. 2017 Feb 3;49(1):18. doi: 10.1186/s12711-017-0287-4.
3
Effects of feather pecking phenotype (severe feather peckers, victims and non-peckers) on serotonergic and dopaminergic activity in four brain areas of laying hens (Gallus gallus domesticus).啄羽表型(严重啄羽鸡、受害者和不啄羽鸡)对产蛋鸡(Gallus gallus domesticus)四个脑区的 5-羟色胺能和多巴胺能活性的影响。
Physiol Behav. 2013 Aug 15;120:77-82. doi: 10.1016/j.physbeh.2013.07.007. Epub 2013 Jul 31.
4
Role of loose feathers on the development of feather pecking in laying hens.松散羽毛在蛋鸡啄羽行为发展中的作用。
Br Poult Sci. 2008 May;49(3):250-6. doi: 10.1080/00071660802094180.
5
A role for plasma aromatic amino acids in injurious pecking behavior in laying hens.血浆芳香族氨基酸在蛋鸡有害啄羽行为中的作用。
Physiol Behav. 2017 Jun 1;175:88-96. doi: 10.1016/j.physbeh.2017.03.041. Epub 2017 Mar 30.
6
Pecking behaviour of laying hens in single-tiered aviaries with and without outdoor area.有无室外区域的单层鸡舍中产蛋母鸡的啄食行为。
Br Poult Sci. 2008 Jul;49(4):396-401. doi: 10.1080/00071660802262043.
7
Age-related changes in fear, sociality and pecking behaviours in two strains of laying hen.两品系蛋鸡恐惧、社交及啄癖行为的年龄相关变化
Br Poult Sci. 2001 Sep;42(4):414-23. doi: 10.1080/00071660120070686.
8
Feather-pecking response of laying hens to feather and cellulose-based rations fed during rearing.育雏期饲以羽毛和纤维素基日粮对产蛋鸡啄羽行为的反应。
Poult Sci. 2012 Jul;91(7):1514-21. doi: 10.3382/ps.2011-01865.
9
Feather pecking in chickens is genetically related to behavioural and developmental traits.鸡的啄羽行为与行为和发育特征存在遗传关联。
Physiol Behav. 2005 Sep 15;86(1-2):52-60. doi: 10.1016/j.physbeh.2005.06.029.
10
Genetic parameters for feather pecking and aggressive behavior in a large F2-cross of laying hens using generalized linear mixed models.利用广义线性混合模型对产蛋鸡大 F2 杂交群体中啄癖和攻击行为的遗传参数进行估计。
Poult Sci. 2014 Apr;93(4):810-7. doi: 10.3382/ps.2013-03638.

引用本文的文献

1
Transcriptomic and metabolomic analysis based on different aggressive pecking phenotype in duck.基于鸭不同啄癖表型的转录组学和代谢组学分析。
Sci Rep. 2024 Sep 27;14(1):22321. doi: 10.1038/s41598-024-73726-9.
2
The Use of Sand Substrate Modulates Dominance Behaviour and Brain Gene Expression in a Flatfish Species.沙质底质的使用调节了一种比目鱼的优势行为和大脑基因表达。
Animals (Basel). 2023 Mar 8;13(6):978. doi: 10.3390/ani13060978.
3
Epigenetics and the city: Non-parallel DNA methylation modifications across pairs of urban-forest Great tit populations.

本文引用的文献

1
Peck orders and group size in laying hens: `futures contracts' for non-aggression.蛋鸡的啄序与群体规模:非攻击性的“期货合约”
Behav Processes. 1997 Apr;40(1):13-25. doi: 10.1016/s0376-6357(96)00761-9.
2
Integrative analysis of RUNX1 downstream pathways and target genes.RUNX1下游通路及靶基因的综合分析
BMC Genomics. 2008 Jul 31;9:363. doi: 10.1186/1471-2164-9-363.
3
Serotonergic mediation of aggression in high and low aggressive chicken strains.高攻击性和低攻击性鸡品系中攻击行为的5-羟色胺能介导作用
表观遗传学与城市:城市-森林大山雀种群对之间非平行的DNA甲基化修饰
Evol Appl. 2022 Jan 4;15(1):149-165. doi: 10.1111/eva.13334. eCollection 2022 Jan.
4
Associations between welfare and ranging profile in free-range commercial and heritage meat-purpose chickens (Gallus gallus domesticus).自由放养商业肉用鸡和传统肉用鸡(Gallus gallus domesticus)的福利与活动范围特征之间的关联。
Poult Sci. 2020 Sep;99(9):4141-4152. doi: 10.1016/j.psj.2020.05.044. Epub 2020 Jun 25.
5
Shared genes related to aggression, rather than chemical communication, are associated with reproductive dominance in paper wasps (Polistes metricus).与攻击性相关的共享基因,而不是化学通讯,与纸黄蜂(Polistes metricus)的生殖优势有关。
BMC Genomics. 2014 Jan 28;15:75. doi: 10.1186/1471-2164-15-75.
6
Differential gene expression from genome-wide microarray analyses distinguishes Lohmann Selected Leghorn and Lohmann Brown layers.从全基因组微阵列分析中得出的差异基因表达可区分 Lohmann 选色蛋鸡和 Lohmann 褐壳蛋鸡。
PLoS One. 2012;7(10):e46787. doi: 10.1371/journal.pone.0046787. Epub 2012 Oct 8.
7
Comparative gene expression profiles for highly similar aggressive phenotypes in male and female cichlid fishes (Julidochromis).雌雄慈鲷鱼(Julidochromis)中高度相似的侵袭表型的比较基因表达谱。
J Exp Biol. 2011 Oct 1;214(Pt 19):3269-78. doi: 10.1242/jeb.055467.
8
Molecular correlates of social dominance: a novel role for ependymin in aggression.社会统治地位的分子相关性:神经肽在攻击中的新作用。
PLoS One. 2011 Apr 5;6(4):e18181. doi: 10.1371/journal.pone.0018181.
9
What can whole genome expression data tell us about the ecology and evolution of personality?全基因组表达数据能告诉我们关于个性的生态和进化的什么信息?
Philos Trans R Soc Lond B Biol Sci. 2010 Dec 27;365(1560):4001-12. doi: 10.1098/rstb.2010.0185.
10
Unravelling the neurophysiological basis of aggression in a fish model.揭示鱼类模型中攻击行为的神经生理学基础。
BMC Genomics. 2010 Sep 16;11:498. doi: 10.1186/1471-2164-11-498.
Poult Sci. 2008 Apr;87(4):612-20. doi: 10.3382/ps.2007-00389.
4
Quantitative genomics of aggressive behavior in Drosophila melanogaster.黑腹果蝇攻击行为的定量基因组学
PLoS Genet. 2006 Sep 15;2(9):e154. doi: 10.1371/journal.pgen.0020154. Epub 2006 Aug 2.
5
Effects of raclopride on aggression and stress in diversely selected chicken lines.雷氯必利对不同选育鸡品系攻击行为和应激反应的影响。
Behav Brain Res. 2006 Nov 25;175(1):104-11. doi: 10.1016/j.bbr.2006.08.010. Epub 2006 Sep 15.
6
Linear models and empirical bayes methods for assessing differential expression in microarray experiments.用于评估微阵列实验中差异表达的线性模型和经验贝叶斯方法。
Stat Appl Genet Mol Biol. 2004;3:Article3. doi: 10.2202/1544-6115.1027. Epub 2004 Feb 12.
7
NCBI GEO: mining millions of expression profiles--database and tools.NCBI基因表达综合数据库:挖掘数百万个表达谱——数据库与工具
Nucleic Acids Res. 2005 Jan 1;33(Database issue):D562-6. doi: 10.1093/nar/gki022.
8
Bioconductor: open software development for computational biology and bioinformatics.生物导体:用于计算生物学和生物信息学的开源软件开发。
Genome Biol. 2004;5(10):R80. doi: 10.1186/gb-2004-5-10-r80. Epub 2004 Sep 15.
9
PGC-1alpha-responsive genes involved in oxidative phosphorylation are coordinately downregulated in human diabetes.参与氧化磷酸化的PGC-1α反应性基因在人类糖尿病中协同下调。
Nat Genet. 2003 Jul;34(3):267-73. doi: 10.1038/ng1180.
10
Adrenocortical reactivity and central serotonin and dopamine turnover in young chicks from a high and low feather-pecking line of laying hens.来自蛋鸡高啄羽品系和低啄羽品系的雏鸡的肾上腺皮质反应性以及中枢5-羟色胺和多巴胺代谢率
Physiol Behav. 2002 Apr 15;75(5):653-9. doi: 10.1016/s0031-9384(02)00667-4.