Suppr超能文献

直接作用于甾体激素生成和人颗粒细胞黄体生成素细胞促炎因子产生的罗格列酮。

Direct rosiglitazone action on steroidogenesis and proinflammatory factor production in human granulosa-lutein cells.

机构信息

NPFPC Key Laboratory of Contraceptives and Devices, Shanghai Institute of Planned Parenthood Research, Shanghai, PR China.

出版信息

Reprod Biol Endocrinol. 2009 Dec 9;7:147. doi: 10.1186/1477-7827-7-147.

Abstract

BACKGROUND

Ovarian granulosa cells are the predominant source of estradiol and progesterone biosynthesis in vivo. Rosiglitazone, a synthetic agonist of the peroxisome proliferator-activated receptor gamma (PPAR gamma), is applied as the treatment of insulin resistance including women with PCOS. The aim of the study was to investigate the direct effects of rosiglitazone on steroidogenesis and proinflammatory factor production in human granulosa-lutein cells (GLCs).

METHODS

Primary human GLCs were separated during in vitro fertilization and cultured in the presence of rosiglitazone, GW9662 (an antagonist of PPAR gamma) and hCG. The mRNA expression of key steroidogenic factors including 3beta- hydroxysteriod dehydrogenase (3beta-HSD), cytochrome P-450 scc (CYP11A1), cytochrome P-450 aromatase (CYP19A1), and steroidogenic acute regulatory protein (StAR) were detected by quantitative real-time PCR. Estradiol and progesterone levels in GLCs cultures were measured by chemiluminescence immunoassay, and the proinflammtory factors (TNFalpha and IL-6) in conditioned culture media were measured by ELISA.

RESULTS

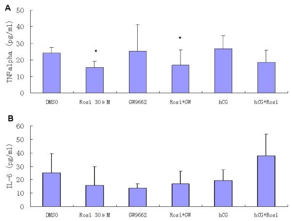
PPAR gamma mRNA levels increased up to 3.24 fold by rosiglitazone at the concentration of 30 microM compared to control (P<0.05). hCG alone or hCG with rosiglitazone had no significant effects on PPAR gamma mRNA levels. The CYP19A1 mRNA level at exposure to rosiglitazone alone showed a drop, but was not significantly reduced comparing to control. The expression levels of enzymes 3beta-HSD and CYP11A1 in all treatments did not alter significantly. The StAR mRNA expression at exposure to rosiglitazone was significantly increased comparing to control (P<0.05). The media concentrations of E2 and progesterone by rosiglitazone treatment showed a declining trend comparing to control or cotreatment with hCG, which did not reach significance. Most importantly, treatment with rosiglitazone decreased TNFalpha secretion in a statistically significant manner compared with control (P<0.05). The concentration of IL-6 following rosiglitazone exposure did not significantly decrease comparing to control.

CONCLUSION

In cultured GLCs, rosiglitazone stimulated StAR expression, but did not significantly affect steroidogenic enzymes, as well as E2 and progesterone production. Moreover, rosiglitazone significantly decreased the production of TNFalpha in human GLCs, suggesting that PPAR gamma may play a role in the regulation of GLCs functions through inhibiting proinflammatory factors.

摘要

背景

卵巢颗粒细胞是体内雌二醇和孕酮生物合成的主要来源。罗格列酮是过氧化物酶体增殖物激活受体 γ(PPAR γ)的合成激动剂,被应用于包括多囊卵巢综合征(PCOS)妇女在内的胰岛素抵抗治疗。本研究旨在探讨罗格列酮对人颗粒黄体细胞(GLC)类固醇生成和促炎因子产生的直接影响。

方法

在体外受精过程中分离原代人 GLC 并在存在罗格列酮、GW9662(PPAR γ拮抗剂)和 hCG 的情况下进行培养。通过实时定量 PCR 检测关键类固醇生成因子的 mRNA 表达,包括 3β-羟甾类脱氢酶(3β-HSD)、细胞色素 P-450scc(CYP11A1)、细胞色素 P-450 芳香酶(CYP19A1)和类固醇急性调节蛋白(StAR)。用化学发光免疫测定法测定 GLC 培养物中的雌二醇和孕酮水平,用 ELISA 测定条件培养基中的促炎因子(TNFα 和 IL-6)。

结果

与对照组相比,浓度为 30 μM 的罗格列酮使 PPAR γ mRNA 水平增加了 3.24 倍(P<0.05)。单独的 hCG 或 hCG 加罗格列酮对 PPAR γ mRNA 水平没有显著影响。单独暴露于罗格列酮时,CYP19A1 mRNA 水平下降,但与对照组相比无显著降低。在所有处理中,3β-HSD 和 CYP11A1 酶的表达水平均无明显变化。与对照组相比,暴露于罗格列酮时 StAR mRNA 表达显著增加(P<0.05)。与对照组或 hCG 联合治疗相比,罗格列酮处理的 E2 和孕酮的介质浓度呈下降趋势,但未达到显著水平。最重要的是,与对照组相比,罗格列酮治疗显著降低了 TNFα 的分泌(P<0.05)。暴露于罗格列酮后 IL-6 的浓度与对照组相比没有显著降低。

结论

在培养的 GLC 中,罗格列酮刺激 StAR 表达,但对类固醇生成酶以及 E2 和孕酮的产生没有显著影响。此外,罗格列酮显著降低了人 GLC 中 TNFα 的产生,提示 PPAR γ 可能通过抑制促炎因子在调节 GLC 功能中发挥作用。

https://cdn.ncbi.nlm.nih.gov/pmc/blobs/9dd3/2797791/063957fd31c9/1477-7827-7-147-1.jpg

文献检索

告别复杂PubMed语法,用中文像聊天一样搜索,搜遍4000万医学文献。AI智能推荐,让科研检索更轻松。

立即免费搜索

文件翻译

保留排版,准确专业,支持PDF/Word/PPT等文件格式,支持 12+语言互译。

免费翻译文档

深度研究

AI帮你快速写综述,25分钟生成高质量综述,智能提取关键信息,辅助科研写作。

立即免费体验