• 文献检索
  • 文档翻译
  • 深度研究
  • 学术资讯
  • Suppr Zotero 插件Zotero 插件
  • 邀请有礼
  • 套餐&价格
  • 历史记录
应用&插件
Suppr Zotero 插件Zotero 插件浏览器插件Mac 客户端Windows 客户端微信小程序
定价
高级版会员购买积分包购买API积分包
服务
文献检索文档翻译深度研究API 文档MCP 服务
关于我们
关于 Suppr公司介绍联系我们用户协议隐私条款
关注我们

Suppr 超能文献

核心技术专利:CN118964589B侵权必究
粤ICP备2023148730 号-1Suppr @ 2026

文献检索

告别复杂PubMed语法,用中文像聊天一样搜索,搜遍4000万医学文献。AI智能推荐,让科研检索更轻松。

立即免费搜索

文件翻译

保留排版,准确专业,支持PDF/Word/PPT等文件格式,支持 12+语言互译。

免费翻译文档

深度研究

AI帮你快速写综述,25分钟生成高质量综述,智能提取关键信息,辅助科研写作。

立即免费体验

阿那白滞素治疗类风湿关节炎的疗效与安全性:俄勒冈药物疗效评估项目的更新

Efficacy and safety of anakinra for the treatment of rheumatoid arthritis: an update of the Oregon Drug Effectiveness Review Project.

作者信息

Thaler Kylie, Chandiramani Divya V, Hansen Richard A, Gartlehner Gerald

机构信息

Department for Evidence-based Medicine and Clinical Epidemiology, Danube University Krems, Krems, Austria.

出版信息

Biologics. 2009;3:485-98. doi: 10.2147/btt.2009.3755. Epub 2009 Dec 29.

DOI:10.2147/btt.2009.3755
PMID:20054439
原文链接:https://pmc.ncbi.nlm.nih.gov/articles/PMC2802074/
Abstract

OBJECTIVE

To systematically review the general and comparative efficacy and safety of anakinra for rheumatoid arthritis.

METHODS

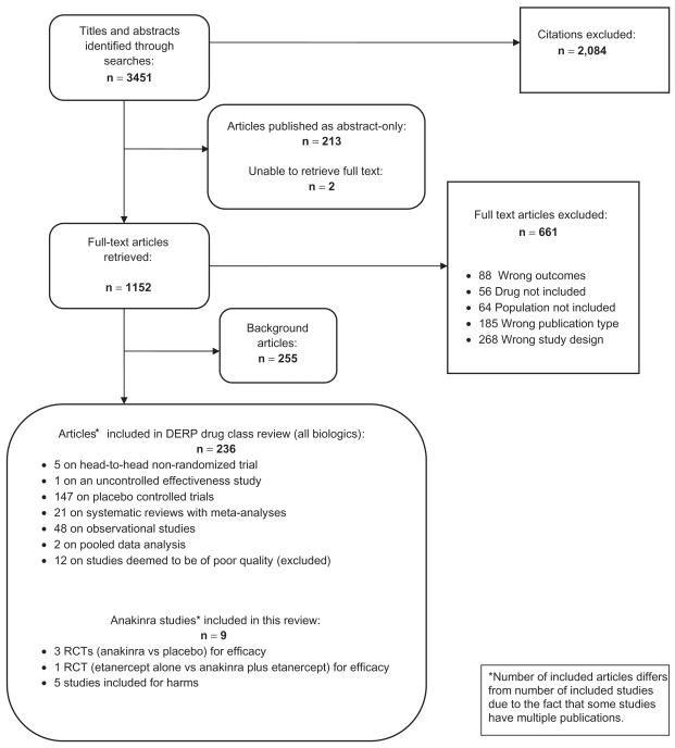
We searched MEDLINE((R)), Embase, The Cochrane Library, and the International Pharmaceutical Abstracts from 1980 to April 2009. We manually searched reference lists of pertinent review articles and explored the Center for Drug Evaluation and Research database. For efficacy we included randomized controlled trials (RCTs) comparing anakinra with placebo or other biologics. For safety both experimental and observational studies were eligible. Two persons independently reviewed abstracts and full text articles and extracted relevant data.

RESULTS

We included data from 3 RCTs comparing anakinra with placebo for rheumatoid arthritis (RA). The pooled relative risk (RR) of an ACR50 (American College of Rheumatology) response for anakinra compared with placebo is 2.28 (95% CI 1.41 to 3.67). Adjusted indirect comparisons of ACR50 response rates of anakinra and anti-TNF agents showed a RR of 0.67 (95% CI 0.38 to 1.17) favoring the anti-TNF drugs. This result did not reach statistical significance. For safety, we included 9 experimental and observational studies of 24 weeks to 3 years duration. Up to 30% of patients withdrew from the studies due to adverse events. 67.2% (95% CI 38.7 to 95.7) of patients experienced an injection site reaction.

CONCLUSIONS

Anakinra is an effective drug for treating RA. Indirect comparisons with adalimumab, etanercept and infliximab, however, showed a trend towards greater efficacy for the anti-TNF drugs. Anakinra also seems to be associated with comparably high rates of injection site reactions. These results should be taken into account when considering biologic therapy for patients with RA.

摘要

目的

系统评价阿那白滞素治疗类风湿关节炎的总体疗效、安全性及其与其他药物的比较。

方法

检索1980年至2009年4月期间的MEDLINE((R))、Embase、Cochrane图书馆及国际药学文摘数据库。人工检索相关综述文章的参考文献列表,并查阅药品评价和研究中心数据库。疗效方面纳入比较阿那白滞素与安慰剂或其他生物制剂的随机对照试验(RCT)。安全性方面,实验性和观察性研究均符合要求。两名研究人员独立审阅摘要和全文并提取相关数据。

结果

纳入3项比较阿那白滞素与安慰剂治疗类风湿关节炎(RA)的RCT数据。与安慰剂相比,阿那白滞素达到美国风湿病学会(ACR)50%改善标准(ACR50)反应的合并相对危险度(RR)为2.28(95%可信区间[CI] 1.41至3.67)。阿那白滞素与抗TNF药物ACR50反应率的校正间接比较显示RR为0.67(95%CI 0.38至1.17),抗TNF药物更具优势,但该结果未达到统计学显著性。安全性方面,纳入9项持续时间为24周-3年的实验性和观察性研究。高达30%的患者因不良事件退出研究。67.2%(95%CI为38.7至95.7)的患者出现注射部位反应。

结论

阿那白滞素是治疗RA的有效药物。然而,与阿达木单抗、依那西普和英夫利昔单抗的间接比较显示,抗TNF药物疗效更佳。阿那白滞素似乎也与较高的注射部位反应发生率相关。在考虑对RA患者进行生物治疗时应考虑这些结果。

https://cdn.ncbi.nlm.nih.gov/pmc/blobs/b175/2802074/2776e52ef985/btt-3-485f3.jpg
https://cdn.ncbi.nlm.nih.gov/pmc/blobs/b175/2802074/e6debc8b5b18/btt-3-485f1.jpg
https://cdn.ncbi.nlm.nih.gov/pmc/blobs/b175/2802074/07efa4f8b0f0/btt-3-485f2.jpg
https://cdn.ncbi.nlm.nih.gov/pmc/blobs/b175/2802074/2776e52ef985/btt-3-485f3.jpg
https://cdn.ncbi.nlm.nih.gov/pmc/blobs/b175/2802074/e6debc8b5b18/btt-3-485f1.jpg
https://cdn.ncbi.nlm.nih.gov/pmc/blobs/b175/2802074/07efa4f8b0f0/btt-3-485f2.jpg
https://cdn.ncbi.nlm.nih.gov/pmc/blobs/b175/2802074/2776e52ef985/btt-3-485f3.jpg

相似文献

1
Efficacy and safety of anakinra for the treatment of rheumatoid arthritis: an update of the Oregon Drug Effectiveness Review Project.阿那白滞素治疗类风湿关节炎的疗效与安全性:俄勒冈药物疗效评估项目的更新
Biologics. 2009;3:485-98. doi: 10.2147/btt.2009.3755. Epub 2009 Dec 29.
2
Biologics for rheumatoid arthritis: an overview of Cochrane reviews.类风湿关节炎的生物制剂:Cochrane系统评价综述
Sao Paulo Med J. 2010;128(5):309-10. doi: 10.1590/s1516-31802010000500013.
3
Anakinra for rheumatoid arthritis.阿那白滞素用于治疗类风湿关节炎。
Cochrane Database Syst Rev. 2009 Jan 21(1):CD005121. doi: 10.1002/14651858.CD005121.pub3.
4
Down-titration and discontinuation strategies of tumor necrosis factor-blocking agents for rheumatoid arthritis in patients with low disease activity.低疾病活动度类风湿关节炎患者肿瘤坏死因子阻断剂的减量和停药策略
Cochrane Database Syst Rev. 2014 Sep 29(9):CD010455. doi: 10.1002/14651858.CD010455.pub2.
5
A network meta-analysis of randomized controlled trials of biologics for rheumatoid arthritis: a Cochrane overview.类风湿关节炎生物制剂随机对照试验的网状Meta分析:Cochrane系统评价概述
CMAJ. 2009 Nov 24;181(11):787-96. doi: 10.1503/cmaj.091391. Epub 2009 Nov 2.
6
The clinical and cost-effectiveness of anakinra for the treatment of rheumatoid arthritis in adults: a systematic review and economic analysis.阿那白滞素治疗成人类风湿关节炎的临床疗效与成本效益:一项系统评价与经济分析
Health Technol Assess. 2004 May;8(18):iii-iv, ix-x, 1-105. doi: 10.3310/hta8180.
7
A systematic review of the effectiveness of adalimumab, etanercept and infliximab for the treatment of rheumatoid arthritis in adults and an economic evaluation of their cost-effectiveness.阿达木单抗、依那西普和英夫利昔单抗治疗成人类风湿关节炎有效性的系统评价及其成本效益的经济学评估。
Health Technol Assess. 2006 Nov;10(42):iii-iv, xi-xiii, 1-229. doi: 10.3310/hta10420.
8
Anakinra for rheumatoid arthritis: a systematic review.阿那白滞素治疗类风湿关节炎:一项系统评价。
J Rheumatol. 2009 Jun;36(6):1118-25. doi: 10.3899/jrheum.090074. Epub 2009 May 15.
9
10
The comparative efficacy and safety of biologics for the treatment of rheumatoid arthritis: a systematic review and metaanalysis.生物制剂治疗类风湿关节炎的比较疗效与安全性:一项系统评价和荟萃分析。
J Rheumatol. 2006 Dec;33(12):2398-408.

引用本文的文献

1
Engineered self-regulating macrophages for targeted anti-inflammatory drug delivery.工程化自调节巨噬细胞靶向递抗炎药物。
Arthritis Res Ther. 2024 Nov 6;26(1):190. doi: 10.1186/s13075-024-03425-3.
2
Engineered Self-Regulating Macrophages for Targeted Anti-inflammatory Drug Delivery.用于靶向抗炎药物递送的工程化自调节巨噬细胞
Res Sq. 2024 May 31:rs.3.rs-4385938. doi: 10.21203/rs.3.rs-4385938/v1.
3
Expression and characterization of recombinant IL-1Ra in Aspergillus oryzae as a system.重组白细胞介素-1 受体拮抗剂在米曲霉中的表达与鉴定。

本文引用的文献

1
Anakinra for rheumatoid arthritis.阿那白滞素用于治疗类风湿关节炎。
Cochrane Database Syst Rev. 2009 Jan 21(1):CD005121. doi: 10.1002/14651858.CD005121.pub3.
2
Natalizumab: pharmacology, clinical efficacy and safety in the treatment of patients with Crohn's disease.那他珠单抗:治疗克罗恩病患者的药理学、临床疗效及安全性
Expert Rev Gastroenterol Hepatol. 2007 Oct;1(1):29-39. doi: 10.1586/17474124.1.1.29.
3
Clinical investigation in highly disease-affected rheumatoid arthritis patients in Japan with adalimumab applying standard and general evaluation: the CHANGE study.
BMC Biotechnol. 2023 Jun 20;23(1):15. doi: 10.1186/s12896-023-00785-7.
4
High prevalence of chondrocalcinosis and frequent comorbidity with calcium pyrophosphate deposition disease in patients with seronegative rheumatoid arthritis.血清阴性类风湿关节炎患者中软骨钙质沉着症的高发率和与焦磷酸钙沉积病的频繁合并症。
RMD Open. 2022 Jun;8(2). doi: 10.1136/rmdopen-2022-002383.
5
Assessment of Expected Out-of-Pocket Spending for Rheumatoid Arthritis Biologics Among Patients Enrolled in Medicare Part D, 2010-2019.2010-2019 年医疗保险部分 D 计划中类风湿关节炎生物制剂患者自付费用预期评估。
JAMA Netw Open. 2020 Apr 1;3(4):e203969. doi: 10.1001/jamanetworkopen.2020.3969.
6
The Efficacy, Safety and Tolerability of Canakinumab in the Treatment of Familial Mediterranean Fever: A Systematic Review of the Literature.卡那单抗治疗家族性地中海热的疗效、安全性及耐受性:文献系统评价
J Inflamm Res. 2020 Mar 9;13:141-149. doi: 10.2147/JIR.S206204. eCollection 2020.
7
Treating rheumatological diseases and co-morbidities with interleukin-1 blocking therapies.使用白细胞介素-1阻断疗法治疗风湿性疾病及合并症。
Rheumatology (Oxford). 2015 Dec;54(12):2134-44. doi: 10.1093/rheumatology/kev269. Epub 2015 Jul 23.
8
Non-tumor necrosis factor-based biologic therapies for rheumatoid arthritis: present, future, and insights into pathogenesis.类风湿关节炎的非肿瘤坏死因子生物疗法:现状、未来及发病机制见解
Biologics. 2014;8:1-12. doi: 10.2147/BTT.S35475. Epub 2013 Dec 9.
9
Selective delivery of interleukine-1 receptor antagonist to inflamed joint by albumin fusion.白蛋白融合物实现白细胞介素-1 受体拮抗剂向炎症关节的选择性递送。
BMC Biotechnol. 2012 Sep 25;12:68. doi: 10.1186/1472-6750-12-68.
10
Concordance of preclinical and clinical pharmacology and toxicology of monoclonal antibodies and fusion proteins: soluble targets.单克隆抗体和融合蛋白的临床前和临床药理学和毒理学的一致性:可溶性靶标。
Br J Pharmacol. 2012 Jun;166(3):806-22. doi: 10.1111/j.1476-5381.2011.01812.x.
在日本使用阿达木单抗对高度疾病影响的类风湿性关节炎患者进行标准和综合评估的临床研究:CHANGE研究。
Mod Rheumatol. 2008;18(3):252-62. doi: 10.1007/s10165-008-0045-0. Epub 2008 Mar 12.
4
Risk of serious infections during rituximab, abatacept and anakinra treatments for rheumatoid arthritis: meta-analyses of randomised placebo-controlled trials.利妥昔单抗、阿巴西普和阿那白滞素治疗类风湿关节炎期间严重感染的风险:随机安慰剂对照试验的荟萃分析
Ann Rheum Dis. 2009 Jan;68(1):25-32. doi: 10.1136/ard.2007.083188. Epub 2008 Jan 18.
5
Abatacept: the first T lymphocyte co-stimulation modulator, for the treatment of rheumatoid arthritis.
Expert Opin Biol Ther. 2008 Jan;8(1):115-22. doi: 10.1517/14712598.8.1.115.
6
Rituximab for the treatment of rheumatoid arthritis.利妥昔单抗治疗类风湿关节炎。
Pharmacotherapy. 2007 Dec;27(12):1702-10. doi: 10.1592/phco.27.12.1702.
7
Postmarketing surveillance of the safety profile of infliximab in 5000 Japanese patients with rheumatoid arthritis.对5000名日本类风湿性关节炎患者使用英夫利昔单抗安全性的上市后监测。
Ann Rheum Dis. 2008 Feb;67(2):189-94. doi: 10.1136/ard.2007.072967. Epub 2007 Jul 20.
8
Mechanism of action of certolizumab pegol (CDP870): in vitro comparison with other anti-tumor necrosis factor alpha agents.赛妥珠单抗(CDP870)的作用机制:与其他抗肿瘤坏死因子α药物的体外比较
Inflamm Bowel Dis. 2007 Nov;13(11):1323-32. doi: 10.1002/ibd.20225.
9
The efficacy of inhibiting tumour necrosis factor alpha and interleukin 1 in patients with rheumatoid arthritis: a meta-analysis and adjusted indirect comparisons.抑制肿瘤坏死因子α和白细胞介素1对类风湿关节炎患者的疗效:一项荟萃分析及校正间接比较
Rheumatology (Oxford). 2007 Jul;46(7):1140-7. doi: 10.1093/rheumatology/kem072. Epub 2007 May 3.
10
Adalimumab alone and in combination with disease-modifying antirheumatic drugs for the treatment of rheumatoid arthritis in clinical practice: the Research in Active Rheumatoid Arthritis (ReAct) trial.阿达木单抗单药及与改善病情抗风湿药联合用于临床实践中类风湿关节炎的治疗:活动性类风湿关节炎研究(ReAct)试验
Ann Rheum Dis. 2007 Jun;66(6):732-9. doi: 10.1136/ard.2006.066761. Epub 2007 Feb 28.