Department of Emergency Medicine, Tzu Chi General Hospital, Taiwan.
J Biomed Sci. 2010 Jan 15;17(1):4. doi: 10.1186/1423-0127-17-4.
Caffeine, a nonselective adenosine A1 and A(2A) receptor antagonist, is the most widely used psychoactive substance in the world. Evidence demonstrates that caffeine and selective adenosine A(2A) antagonists interact with the neuronal systems involved in drug reinforcement, locomotor sensitization, and therapeutic effect in Parkinson's disease (PD). Evidence also indicates that low doses of caffeine and a selective adenosine A(2A) antagonist SCH58261 elicit locomotor stimulation whereas high doses of these drugs exert locomotor inhibition. Since these behavioral and therapeutic effects are mediated by the mesolimbic and nigrostriatal dopaminergic pathways which project to the striatum, we hypothesize that low doses of caffeine and SCH58261 may modulate the functions of dopaminergic neurons in the striatum.
In this study, we evaluated the neuroadaptations in the striatum by using reverse-phase high performance liquid chromatography (HPLC) to quantitate the concentrations of striatal dopamine and its metabolites, dihydroxylphenylacetic acid (DOPAC) and homovanilic acid (HVA), and using immunoblotting to measure the level of phosphorylation of tyrosine hydroxylase (TH) at Ser31, following chronic caffeine and SCH58261 sensitization in mice. Moreover, to validate further that the behavior sensitization of caffeine is through antagonism at the adenosine A(2A) receptor, we also evaluate whether chronic pretreatment with a selective adenosine A(2A) antagonist SCH58261 or a selective adenosine A1 antagonist DPCPX can sensitize the locomotor stimulating effects of caffeine.
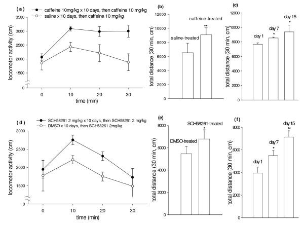
Chronic treatments with low dose caffeine (10 mg/kg) or SCH58261 (2 mg/kg) increased the concentrations of dopamine, DOPAC and HVA, concomitant with increased TH phosphorylation at Ser31 and consequently enhanced TH activity in the striatal tissues in both caffeine- and SCH58261-sensitized mice. In addition, chronic caffeine or SCH58261 administration induced locomotor sensitization, and locomotor cross-sensitization to caffeine was observed following chronic treatment of mice with SCH58261 but not with DPCPX.
Our study demonstrated that low dosages of caffeine and a selective adenosine A(2A) antagonist SCH58261 elicited locomotor sensitization and cross-sensitization, which were associated with elevated dopamine concentration and TH phosphorylation at Ser31 in the striatum. Blockade of adenosine A(2A) receptor may play an important role in the striatal neuroadaptations observed in the caffeine-sensitized and SCH58261-sensitized mice.
咖啡因是一种非选择性的腺苷 A1 和 A(2A) 受体拮抗剂,是世界上使用最广泛的精神活性物质。有证据表明,咖啡因和选择性的腺苷 A(2A) 拮抗剂与参与药物强化、运动敏化和帕金森病(PD)治疗效果的神经元系统相互作用。有证据还表明,低剂量的咖啡因和选择性的腺苷 A(2A) 拮抗剂 SCH58261 会引起运动刺激,而这些药物的高剂量则会引起运动抑制。由于这些行为和治疗效果是由中脑边缘多巴胺能系统和黑质纹状体多巴胺能系统介导的,这些系统投射到纹状体,因此我们假设低剂量的咖啡因和 SCH58261 可能调节纹状体多巴胺能神经元的功能。
在这项研究中,我们通过反相高效液相色谱(HPLC)来定量检测纹状体多巴胺及其代谢物二羟苯乙酸(DOPAC)和高香草酸(HVA)的浓度,并用免疫印迹法测量酪氨酸羟化酶(TH)在丝氨酸 31 位的磷酸化水平,来评估慢性咖啡因和 SCH58261 敏化后纹状体的神经适应情况。此外,为了进一步验证咖啡因的行为敏化是通过对腺苷 A(2A) 受体的拮抗作用,我们还评估了慢性预处理选择性腺苷 A(2A) 拮抗剂 SCH58261 或选择性腺苷 A1 拮抗剂 DPCPX 是否能敏化咖啡因的运动刺激作用。
慢性低剂量咖啡因(10mg/kg)或 SCH58261(2mg/kg)治疗增加了多巴胺、DOPAC 和 HVA 的浓度,同时增加了纹状体组织中 TH 在丝氨酸 31 位的磷酸化,从而增强了 TH 的活性,在咖啡因和 SCH58261 敏化的小鼠中都是如此。此外,慢性咖啡因或 SCH58261 给药诱导运动敏化,并且在慢性给予 SCH58261 而不是 DPCPX 的小鼠中观察到对咖啡因的运动交叉敏化。
我们的研究表明,低剂量的咖啡因和选择性的腺苷 A(2A) 拮抗剂 SCH58261 引起运动敏化和交叉敏化,这与纹状体中多巴胺浓度的升高和 TH 在丝氨酸 31 位的磷酸化有关。腺苷 A(2A) 受体的阻断可能在咖啡因敏化和 SCH58261 敏化小鼠中观察到的纹状体神经适应中起重要作用。