• 文献检索
  • 文档翻译
  • 深度研究
  • 学术资讯
  • Suppr Zotero 插件Zotero 插件
  • 邀请有礼
  • 套餐&价格
  • 历史记录
应用&插件
Suppr Zotero 插件Zotero 插件浏览器插件Mac 客户端Windows 客户端微信小程序
定价
高级版会员购买积分包购买API积分包
服务
文献检索文档翻译深度研究API 文档MCP 服务
关于我们
关于 Suppr公司介绍联系我们用户协议隐私条款
关注我们

Suppr 超能文献

核心技术专利:CN118964589B侵权必究
粤ICP备2023148730 号-1Suppr @ 2026

文献检索

告别复杂PubMed语法,用中文像聊天一样搜索,搜遍4000万医学文献。AI智能推荐,让科研检索更轻松。

立即免费搜索

文件翻译

保留排版,准确专业,支持PDF/Word/PPT等文件格式,支持 12+语言互译。

免费翻译文档

深度研究

AI帮你快速写综述,25分钟生成高质量综述,智能提取关键信息,辅助科研写作。

立即免费体验

一种肽基-葡糖胺衍生物影响人软骨细胞中的 IKKα 激酶活性。

A peptidyl-glucosamine derivative affects IKKalpha kinase activity in human chondrocytes.

机构信息

Department of Biochemical Sciences, Sapienza University of Roma, P,le Aldo Moro, 5, 00185 Roma, Italy.

出版信息

Arthritis Res Ther. 2010;12(1):R18. doi: 10.1186/ar2920. Epub 2010 Jan 29.

DOI:10.1186/ar2920
PMID:20113495
原文链接:https://pmc.ncbi.nlm.nih.gov/articles/PMC2875647/
Abstract

INTRODUCTION

Nuclear factor-kappaB (NF-kappaB) transcription factor regulates several cell signaling pathways, such as differentiation and inflammation, which are both altered in osteoarthritis. Inhibitor kappaB kinase (IKK)alpha and IKKbeta are kinases involved in the activation of the NF-kappaB transcription factor. The aim of the present study was to determine the effects of glucosamine (GlcN), which is administered in the treatment of osteoarthritis, and of its 2-(N-Acetyl)-L-phenylalanylamido-2-deoxy-beta-D-glucose (NAPA) derivative on IKK kinases and, consequently, on NF-kappaB activation in human chondrocytes.

METHODS

The human chondrosarcoma cell line HTB-94 and human primary chondrocytes were stimulated with tumor necrosis factor (TNF)alpha after pre-treatment with GlcN or NAPA. Gene mRNA expression level was evaluated by real-time PCR. Inhibitor kappaB protein (IkappaB)alpha phosphorylation and p65 nuclear re-localization were analyzed by Western blotting; IKKalpha nuclear re-localization was also investigated by immunocytochemistry and Western blotting. IKK kinase activity was studied by in vitro kinase assay.

RESULTS

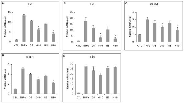
After TNFalpha stimulation, the mRNA expression level of some of the genes under NF-kappaB control, such as interleukin (IL)-6 and IL-8, increased, while treatment with GlcN and NAPA reverted the effect. We investigated the possibility that GlcN and NAPA inhibit IKK kinase activity and found that NAPA inhibits the IKKalpha kinase activity, whereas GlcN does not. Interestingly, both GlcN and NAPA inhibit IKKalpha nuclear re-localization.

CONCLUSIONS

Our results demonstrate that glucosamine and its peptidyl derivative can interfere with NF-kappaB signaling pathway by inhibiting IKKalpha activity in human chondrocytes. However, the mechanism of action of the two molecules is not completely overlapping. While NAPA can both specifically inhibit the IKKalpha kinase activity and IKKalpha nuclear re-localization, GlcN only acts on IKKalpha nuclear re-localization.

摘要

简介

核因子-κB(NF-κB)转录因子调节多种细胞信号通路,如分化和炎症,这些通路在骨关节炎中都发生了改变。IKKα和 IKKβ激酶是参与 NF-κB 转录因子激活的激酶。本研究旨在确定氨基葡萄糖(GlcN)在骨关节炎治疗中的作用及其 2-(N-乙酰基)-L-苯丙氨酰基-2-脱氧-β-D-葡萄糖(NAPA)衍生物对人软骨细胞中 IKK 激酶的影响,进而对 NF-κB 的激活作用。

方法

用人软骨肉瘤细胞系 HTB-94 和人原代软骨细胞,用肿瘤坏死因子(TNF)α刺激后,用 GlcN 或 NAPA 预处理。通过实时 PCR 评估基因 mRNA 表达水平。通过 Western blot 分析 IkappaB 蛋白(IkappaB)α磷酸化和 p65 核重新定位;免疫细胞化学和 Western blot 也研究了 IKKα核重新定位。通过体外激酶测定研究 IKK 激酶活性。

结果

在 TNFα刺激后,一些受 NF-κB 控制的基因,如白细胞介素(IL)-6 和 IL-8 的 mRNA 表达水平增加,而 GlcN 和 NAPA 的治疗则逆转了这种效应。我们研究了 GlcN 和 NAPA 抑制 IKK 激酶活性的可能性,发现 NAPA 抑制 IKKα激酶活性,而 GlcN 则没有。有趣的是,GlcN 和 NAPA 均抑制 IKKα核重新定位。

结论

我们的结果表明,氨基葡萄糖及其肽衍生物可通过抑制人软骨细胞中的 IKKα活性来干扰 NF-κB 信号通路。然而,这两种分子的作用机制并不完全重叠。虽然 NAPA 既能特异性抑制 IKKα激酶活性,又能抑制 IKKα核重新定位,但 GlcN 仅作用于 IKKα核重新定位。

https://cdn.ncbi.nlm.nih.gov/pmc/blobs/d843/2875647/5287b1704fb4/ar2920-7.jpg
https://cdn.ncbi.nlm.nih.gov/pmc/blobs/d843/2875647/d5431d65bbf4/ar2920-1.jpg
https://cdn.ncbi.nlm.nih.gov/pmc/blobs/d843/2875647/a67a4f04659b/ar2920-2.jpg
https://cdn.ncbi.nlm.nih.gov/pmc/blobs/d843/2875647/d5b142debed0/ar2920-3.jpg
https://cdn.ncbi.nlm.nih.gov/pmc/blobs/d843/2875647/eb3cc516461e/ar2920-4.jpg
https://cdn.ncbi.nlm.nih.gov/pmc/blobs/d843/2875647/3b064d52537b/ar2920-5.jpg
https://cdn.ncbi.nlm.nih.gov/pmc/blobs/d843/2875647/3bbfcbc6e85e/ar2920-6.jpg
https://cdn.ncbi.nlm.nih.gov/pmc/blobs/d843/2875647/5287b1704fb4/ar2920-7.jpg
https://cdn.ncbi.nlm.nih.gov/pmc/blobs/d843/2875647/d5431d65bbf4/ar2920-1.jpg
https://cdn.ncbi.nlm.nih.gov/pmc/blobs/d843/2875647/a67a4f04659b/ar2920-2.jpg
https://cdn.ncbi.nlm.nih.gov/pmc/blobs/d843/2875647/d5b142debed0/ar2920-3.jpg
https://cdn.ncbi.nlm.nih.gov/pmc/blobs/d843/2875647/eb3cc516461e/ar2920-4.jpg
https://cdn.ncbi.nlm.nih.gov/pmc/blobs/d843/2875647/3b064d52537b/ar2920-5.jpg
https://cdn.ncbi.nlm.nih.gov/pmc/blobs/d843/2875647/3bbfcbc6e85e/ar2920-6.jpg
https://cdn.ncbi.nlm.nih.gov/pmc/blobs/d843/2875647/5287b1704fb4/ar2920-7.jpg

相似文献

1
A peptidyl-glucosamine derivative affects IKKalpha kinase activity in human chondrocytes.一种肽基-葡糖胺衍生物影响人软骨细胞中的 IKKα 激酶活性。
Arthritis Res Ther. 2010;12(1):R18. doi: 10.1186/ar2920. Epub 2010 Jan 29.
2
Effect of glucosamine and its peptidyl-derivative on the production of extracellular matrix components by human primary chondrocytes.氨基葡萄糖及其肽基衍生物对人原代软骨细胞细胞外基质成分产生的影响。
Osteoarthritis Cartilage. 2015 Jan;23(1):103-13. doi: 10.1016/j.joca.2014.09.005. Epub 2014 Sep 16.
3
Glucosamine and its N-acetyl-phenylalanine derivative prevent TNF-alpha-induced transcriptional activation in human chondrocytes.氨基葡萄糖及其N-乙酰苯丙氨酸衍生物可预防肿瘤坏死因子-α诱导的人软骨细胞转录激活。
Clin Exp Rheumatol. 2007 Nov-Dec;25(6):847-52.
4
IKKα inibition by a glucosamine derivative enhances Maspin expression in osteosarcoma cell line.氨基葡萄糖衍生物抑制 IKKα 可增强骨肉瘤细胞系中 Maspin 的表达。
Chem Biol Interact. 2017 Jan 25;262:19-28. doi: 10.1016/j.cbi.2016.12.005. Epub 2016 Dec 6.
5
Regulation and function of IKK and IKK-related kinases.IKK及IKK相关激酶的调控与功能
Sci STKE. 2006 Oct 17;2006(357):re13. doi: 10.1126/stke.3572006re13.
6
Biochemical and Computational Studies of the Interaction between a Glucosamine Derivative, NAPA, and the IKK Kinase.氨基葡萄糖衍生物 NAPA 与 IKK 激酶相互作用的生化和计算研究。
Int J Mol Sci. 2021 Feb 6;22(4):1643. doi: 10.3390/ijms22041643.
7
Desflurane preconditioning inhibits endothelial nuclear factor-kappa-B activation by targeting the proximal end of tumor necrosis factor-alpha signaling.地氟烷预处理通过靶向肿瘤坏死因子-α信号传导的近端来抑制内皮细胞核因子-κB的激活。
Anesth Analg. 2008 May;106(5):1473-9, table of contents. doi: 10.1213/ane.0b013e318168b3f2.
8
The N-Acetyl Phenylalanine Glucosamine Derivative Attenuates the Inflammatory/Catabolic Environment in a Chondrocyte-Synoviocyte Co-Culture System.N-乙酰苯丙氨酸葡萄糖胺衍生物可减轻软骨细胞-滑膜细胞共培养体系中的炎症/分解代谢环境。
Sci Rep. 2019 Sep 19;9(1):13603. doi: 10.1038/s41598-019-49188-9.
9
Signal transduction mechanisms involved in S100A4-induced activation of the transcription factor NF-kappaB.涉及 S100A4 诱导转录因子 NF-κB 激活的信号转导机制。
BMC Cancer. 2010 May 28;10:241. doi: 10.1186/1471-2407-10-241.
10
IKKα plays a major role in canonical NF-κB signalling in colorectal cells.IKKα 在结直肠细胞的经典 NF-κB 信号转导中起主要作用。
Biochem J. 2022 Feb 11;479(3):305-325. doi: 10.1042/BCJ20210783.

引用本文的文献

1
Effects of Modified Glucosamine on the Chondrogenic Potential of Circulating Stem Cells under Experimental Inflammation.实验性炎症下,改性氨基葡萄糖对循环干细胞成软骨潜能的影响。
Int J Mol Sci. 2023 Jun 20;24(12):10397. doi: 10.3390/ijms241210397.
2
In Vitro Antiviral and Anti-Inflammatory Activities of -Acetylglucosamine: Development of an Alternative and Safe Approach to Fight Viral Respiratory Infections.体外抗 病毒和抗炎活性的 N-乙酰葡萄糖胺:开发一种对抗病毒呼吸道感染的替代和安全方法。
Int J Mol Sci. 2023 Mar 7;24(6):5129. doi: 10.3390/ijms24065129.
3
-Acetyl-l-phenylalanine Racemization during TBTU Amidation: An In-Depth Study for the Synthesis of Anti-Inflammatory 2-(-Acetyl)-l-phenylalanylamido-2-deoxy-d-glucose (NAPA).

本文引用的文献

1
The NF-kappaB-independent functions of IKK subunits in immunity and cancer.IKK亚基在免疫和癌症中的非核因子κB依赖性功能。
Trends Cell Biol. 2009 Aug;19(8):404-13. doi: 10.1016/j.tcb.2009.05.006. Epub 2009 Aug 3.
2
Anti-NF-kappaB and anti-inflammatory activities of synthetic isothiocyanates: effect of chemical structures and cellular signaling.合成异硫氰酸酯的抗核因子-κB及抗炎活性:化学结构与细胞信号传导的作用
Chem Biol Interact. 2009 May 15;179(2-3):202-11. doi: 10.1016/j.cbi.2008.12.014. Epub 2008 Dec 30.
3
New regulators of NF-kappaB in inflammation.
TBTU 酰胺化过程中乙酰基-l-苯丙氨酸的外消旋化:抗炎 2-(-乙酰基)-l-苯丙氨酰氨基-2-脱氧-d-葡萄糖(NAPA)合成的深入研究。
Molecules. 2023 Jan 6;28(2):581. doi: 10.3390/molecules28020581.
4
Root Extract Mediates Anti-Inflammatory Effects in Osteoarthritis Synoviocytes through CB2 Activation.根提取物通过激活CB2介导骨关节炎滑膜细胞的抗炎作用。
Pharmaceuticals (Basel). 2022 Apr 9;15(4):457. doi: 10.3390/ph15040457.
5
Basal and IL-1β enhanced chondrocyte chemotactic activity on monocytes are co-dependent on both IKKα and IKKβ NF-κB activating kinases.基础状态和 IL-1β 增强的软骨细胞对单核细胞的趋化活性都依赖于 IKKα 和 IKKβ NF-κB 激活激酶。
Sci Rep. 2021 Nov 4;11(1):21697. doi: 10.1038/s41598-021-01063-2.
6
Biochemical and Computational Studies of the Interaction between a Glucosamine Derivative, NAPA, and the IKK Kinase.氨基葡萄糖衍生物 NAPA 与 IKK 激酶相互作用的生化和计算研究。
Int J Mol Sci. 2021 Feb 6;22(4):1643. doi: 10.3390/ijms22041643.
7
Antiarthritic Effects of a Root Extract from DC: Novel Insights into the Molecular Mechanisms and Possible Bioactive Phytochemicals.抗关节炎作用的根提取物从 DC: 分子机制的新见解和可能的生物活性植物化学物质。
Nutrients. 2020 Aug 23;12(9):2545. doi: 10.3390/nu12092545.
8
The N-Acetyl Phenylalanine Glucosamine Derivative Attenuates the Inflammatory/Catabolic Environment in a Chondrocyte-Synoviocyte Co-Culture System.N-乙酰苯丙氨酸葡萄糖胺衍生物可减轻软骨细胞-滑膜细胞共培养体系中的炎症/分解代谢环境。
Sci Rep. 2019 Sep 19;9(1):13603. doi: 10.1038/s41598-019-49188-9.
9
Human Breast Milk Promotes the Secretion of Potentially Beneficial Metabolites by Probiotic DSM 17938.人乳促进益生菌 DSM 17938 分泌潜在有益代谢物。
Nutrients. 2019 Jul 9;11(7):1548. doi: 10.3390/nu11071548.
10
Glucosamine Hydrochloride and -Acetylglucosamine Influence the Response of Bovine Chondrocytes to TGF-β3 and IGF in Monolayer and Three-Dimensional Tissue Culture.盐酸氨基葡萄糖和 N-乙酰氨基葡萄糖对单层及三维组织培养中牛软骨细胞对转化生长因子-β3 和胰岛素样生长因子反应的影响。
Tissue Eng Regen Med. 2018 Aug 30;15(6):781-791. doi: 10.1007/s13770-018-0150-x. eCollection 2018 Dec.
炎症中NF-κB的新型调节因子
Nat Rev Immunol. 2008 Nov;8(11):837-48. doi: 10.1038/nri2423.
4
The effect of glucosamine and/or chondroitin sulfate on the progression of knee osteoarthritis: a report from the glucosamine/chondroitin arthritis intervention trial.氨基葡萄糖和/或硫酸软骨素对膝关节骨关节炎进展的影响:来自氨基葡萄糖/软骨素关节炎干预试验的报告。
Arthritis Rheum. 2008 Oct;58(10):3183-91. doi: 10.1002/art.23973.
5
Comparison between chondroprotective effects of glucosamine, curcumin, and diacerein in IL-1beta-stimulated C-28/I2 chondrocytes.氨基葡萄糖、姜黄素和双醋瑞因对白细胞介素-1β刺激的C-28/I2软骨细胞软骨保护作用的比较
Osteoarthritis Cartilage. 2008 Oct;16(10):1205-12. doi: 10.1016/j.joca.2008.01.013. Epub 2008 Mar 5.
6
Shared principles in NF-kappaB signaling.核因子κB信号传导中的共同原则。
Cell. 2008 Feb 8;132(3):344-62. doi: 10.1016/j.cell.2008.01.020.
7
Glucosamine and its N-acetyl-phenylalanine derivative prevent TNF-alpha-induced transcriptional activation in human chondrocytes.氨基葡萄糖及其N-乙酰苯丙氨酸衍生物可预防肿瘤坏死因子-α诱导的人软骨细胞转录激活。
Clin Exp Rheumatol. 2007 Nov-Dec;25(6):847-52.
8
Differential requirements for IKKalpha and IKKbeta in the differentiation of primary human osteoarthritic chondrocytes.原发性人骨关节炎软骨细胞分化过程中IKKα和IKKβ的不同需求
Arthritis Rheum. 2008 Jan;58(1):227-39. doi: 10.1002/art.23211.
9
Glucosamine affects intracellular signalling through inhibition of mitogen-activated protein kinase phosphorylation in human chondrocytes.氨基葡萄糖通过抑制人软骨细胞中丝裂原活化蛋白激酶的磷酸化来影响细胞内信号传导。
Arthritis Res Ther. 2007;9(5):R104. doi: 10.1186/ar2307.
10
Effects of intra-articular administration of glucosamine and a peptidyl-glucosamine derivative in a rabbit model of experimental osteoarthritis: a pilot study.氨基葡萄糖和肽基 - 氨基葡萄糖衍生物关节内给药对兔实验性骨关节炎模型的影响:一项初步研究。
Rheumatol Int. 2008 Mar;28(5):437-43. doi: 10.1007/s00296-007-0463-x. Epub 2007 Oct 9.