• 文献检索
  • 文档翻译
  • 深度研究
  • 学术资讯
  • Suppr Zotero 插件Zotero 插件
  • 邀请有礼
  • 套餐&价格
  • 历史记录
应用&插件
Suppr Zotero 插件Zotero 插件浏览器插件Mac 客户端Windows 客户端微信小程序
定价
高级版会员购买积分包购买API积分包
服务
文献检索文档翻译深度研究API 文档MCP 服务
关于我们
关于 Suppr公司介绍联系我们用户协议隐私条款
关注我们

Suppr 超能文献

核心技术专利:CN118964589B侵权必究
粤ICP备2023148730 号-1Suppr @ 2026

文献检索

告别复杂PubMed语法,用中文像聊天一样搜索,搜遍4000万医学文献。AI智能推荐,让科研检索更轻松。

立即免费搜索

文件翻译

保留排版,准确专业,支持PDF/Word/PPT等文件格式,支持 12+语言互译。

免费翻译文档

深度研究

AI帮你快速写综述,25分钟生成高质量综述,智能提取关键信息,辅助科研写作。

立即免费体验

应激时 p38SAPK 介导的基因表达的全基因组分析。

Whole genome analysis of p38 SAPK-mediated gene expression upon stress.

机构信息

Cell Signaling Unit, Universitat Pompeu Fabra (UPF) Dr aiguader 88, Barcelona 08003, Spain.

出版信息

BMC Genomics. 2010 Mar 1;11:144. doi: 10.1186/1471-2164-11-144.

DOI:10.1186/1471-2164-11-144
PMID:20187982
原文链接:https://pmc.ncbi.nlm.nih.gov/articles/PMC2842250/
Abstract

BACKGROUND

Cells have the ability to respond and adapt to environmental changes through activation of stress-activated protein kinases (SAPKs). Although p38 SAPK signalling is known to participate in the regulation of gene expression little is known on the molecular mechanisms used by this SAPK to regulate stress-responsive genes and the overall set of genes regulated by p38 in response to different stimuli.

RESULTS

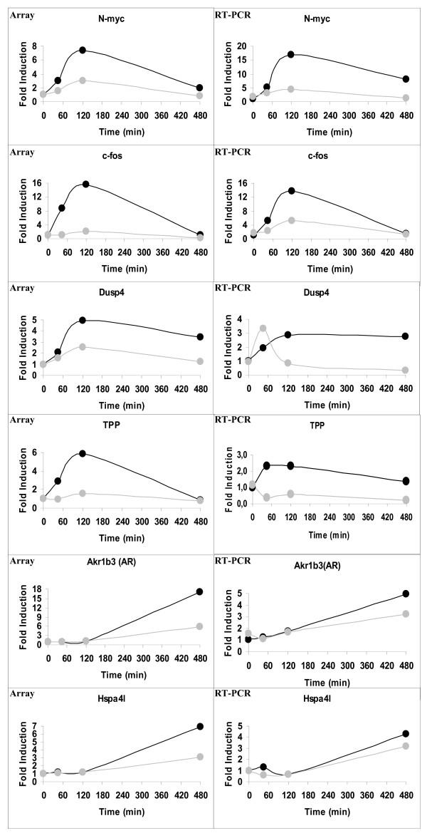
Here, we report a whole genome expression analyses on mouse embryonic fibroblasts (MEFs) treated with three different p38 SAPK activating-stimuli, namely osmostress, the cytokine TNFalpha and the protein synthesis inhibitor anisomycin. We have found that the activation kinetics of p38alpha SAPK in response to these insults is different and also leads to a complex gene pattern response specific for a given stress with a restricted set of overlapping genes. In addition, we have analysed the contribution of p38alpha the major p38 family member present in MEFs, to the overall stress-induced transcriptional response by using both a chemical inhibitor (SB203580) and p38alpha deficient (p38alpha-/-) MEFs. We show here that p38 SAPK dependency ranged between 60% and 88% depending on the treatments and that there is a very good overlap between the inhibitor treatment and the ko cells. Furthermore, we have found that the dependency of SAPK varies depending on the time the cells are subjected to osmostress.

CONCLUSIONS

Our genome-wide transcriptional analyses shows a selective response to specific stimuli and a restricted common response of up to 20% of the stress up-regulated early genes that involves an important set of transcription factors, which might be critical for either cell adaptation or preparation for continuous extra-cellular changes. Interestingly, up to 85% of the up-regulated genes are under the transcriptional control of p38 SAPK. Thus, activation of p38 SAPK is critical to elicit the early gene expression program required for cell adaptation to stress.

摘要

背景

细胞具有通过激活应激激活蛋白激酶(SAPKs)来响应和适应环境变化的能力。尽管已知 p38 SAPK 信号参与了基因表达的调节,但对于这种 SAPK 用于调节应激反应基因以及 p38 在响应不同刺激时调节的总体基因的分子机制知之甚少。

结果

在这里,我们报告了对用三种不同的 p38 SAPK 激活刺激物处理的小鼠胚胎成纤维细胞(MEFs)进行的全基因组表达分析,即渗透压应激、细胞因子 TNFalpha 和蛋白质合成抑制剂anisomycin。我们发现,p38alpha SAPK 对这些损伤的激活动力学不同,并且还导致针对特定应激的复杂基因模式反应,具有特定的应激重叠基因。此外,我们通过使用化学抑制剂(SB203580)和 p38alpha 缺陷(p38alpha-/-)MEFs 分析了主要存在于 MEFs 中的 p38 家族成员 p38alpha 对整体应激诱导转录反应的贡献。我们在这里表明,SAPK 的依赖性取决于处理方式,范围在 60%到 88%之间,并且抑制剂处理和 ko 细胞之间有很好的重叠。此外,我们发现 SAPK 的依赖性取决于细胞经受渗透压应激的时间。

结论

我们的全基因组转录分析显示,对特定刺激有选择性反应,并且对多达 20%的应激上调早期基因有受限制的共同反应,其中涉及一组重要的转录因子,这对于细胞适应或为持续的细胞外变化做好准备可能至关重要。有趣的是,多达 85%的上调基因受 p38 SAPK 的转录控制。因此,激活 p38 SAPK 对于引发细胞适应应激所需的早期基因表达程序至关重要。

https://cdn.ncbi.nlm.nih.gov/pmc/blobs/af4f/2842250/d0ba2294b5ec/1471-2164-11-144-10.jpg
https://cdn.ncbi.nlm.nih.gov/pmc/blobs/af4f/2842250/821a1f025bb0/1471-2164-11-144-1.jpg
https://cdn.ncbi.nlm.nih.gov/pmc/blobs/af4f/2842250/5c57e8f33228/1471-2164-11-144-2.jpg
https://cdn.ncbi.nlm.nih.gov/pmc/blobs/af4f/2842250/cb51f757b945/1471-2164-11-144-3.jpg
https://cdn.ncbi.nlm.nih.gov/pmc/blobs/af4f/2842250/d049b9d432fb/1471-2164-11-144-4.jpg
https://cdn.ncbi.nlm.nih.gov/pmc/blobs/af4f/2842250/fc68dc0b8315/1471-2164-11-144-5.jpg
https://cdn.ncbi.nlm.nih.gov/pmc/blobs/af4f/2842250/5eb93d600a42/1471-2164-11-144-6.jpg
https://cdn.ncbi.nlm.nih.gov/pmc/blobs/af4f/2842250/bbed68178f8d/1471-2164-11-144-7.jpg
https://cdn.ncbi.nlm.nih.gov/pmc/blobs/af4f/2842250/d7ce76a06d8f/1471-2164-11-144-8.jpg
https://cdn.ncbi.nlm.nih.gov/pmc/blobs/af4f/2842250/64d4831cc7e5/1471-2164-11-144-9.jpg
https://cdn.ncbi.nlm.nih.gov/pmc/blobs/af4f/2842250/d0ba2294b5ec/1471-2164-11-144-10.jpg
https://cdn.ncbi.nlm.nih.gov/pmc/blobs/af4f/2842250/821a1f025bb0/1471-2164-11-144-1.jpg
https://cdn.ncbi.nlm.nih.gov/pmc/blobs/af4f/2842250/5c57e8f33228/1471-2164-11-144-2.jpg
https://cdn.ncbi.nlm.nih.gov/pmc/blobs/af4f/2842250/cb51f757b945/1471-2164-11-144-3.jpg
https://cdn.ncbi.nlm.nih.gov/pmc/blobs/af4f/2842250/d049b9d432fb/1471-2164-11-144-4.jpg
https://cdn.ncbi.nlm.nih.gov/pmc/blobs/af4f/2842250/fc68dc0b8315/1471-2164-11-144-5.jpg
https://cdn.ncbi.nlm.nih.gov/pmc/blobs/af4f/2842250/5eb93d600a42/1471-2164-11-144-6.jpg
https://cdn.ncbi.nlm.nih.gov/pmc/blobs/af4f/2842250/bbed68178f8d/1471-2164-11-144-7.jpg
https://cdn.ncbi.nlm.nih.gov/pmc/blobs/af4f/2842250/d7ce76a06d8f/1471-2164-11-144-8.jpg
https://cdn.ncbi.nlm.nih.gov/pmc/blobs/af4f/2842250/64d4831cc7e5/1471-2164-11-144-9.jpg
https://cdn.ncbi.nlm.nih.gov/pmc/blobs/af4f/2842250/d0ba2294b5ec/1471-2164-11-144-10.jpg

相似文献

1
Whole genome analysis of p38 SAPK-mediated gene expression upon stress.应激时 p38SAPK 介导的基因表达的全基因组分析。
BMC Genomics. 2010 Mar 1;11:144. doi: 10.1186/1471-2164-11-144.
2
The p38 SAPK is recruited to chromatin via its interaction with transcription factors.p38SAPK 通过与转录因子相互作用被招募到染色质上。
J Biol Chem. 2010 Oct 8;285(41):31819-28. doi: 10.1074/jbc.M110.155846. Epub 2010 Aug 3.
3
Anisomycin selectively desensitizes signalling components involved in stress kinase activation and fos and jun induction.茴香霉素选择性地使参与应激激酶激活以及fos和jun诱导的信号传导成分脱敏。
Mol Cell Biol. 1998 Apr;18(4):1844-54. doi: 10.1128/MCB.18.4.1844.
4
Effects of ras transformation on the induction of the IL-1 receptor related T1 gene in response to mitogens, anisomycin, IL-1 and TNFalpha.Ras转化对丝裂原、茴香霉素、白细胞介素-1(IL-1)和肿瘤坏死因子α(TNFα)诱导的IL-1受体相关T1基因的影响。
Oncogene. 1998 Feb 5;16(5):575-86. doi: 10.1038/sj.onc.1201522.
5
Jun N-terminal kinase/stress-activated protein kinase (JNK/SAPK) is required for lipopolysaccharide stimulation of tumor necrosis factor alpha (TNF-alpha) translation: glucocorticoids inhibit TNF-alpha translation by blocking JNK/SAPK.Jun氨基末端激酶/应激激活蛋白激酶(JNK/SAPK)是脂多糖刺激肿瘤坏死因子α(TNF-α)翻译所必需的:糖皮质激素通过阻断JNK/SAPK来抑制TNF-α的翻译。
Mol Cell Biol. 1997 Nov;17(11):6274-82. doi: 10.1128/MCB.17.11.6274.
6
Stress-induced stimulation of early growth response gene-1 by p38/stress-activated protein kinase 2 is mediated by a cAMP-responsive promoter element in a MAPKAP kinase 2-independent manner.p38/应激激活蛋白激酶2介导的应激诱导早期生长反应基因-1的刺激作用,是以一种不依赖丝裂原活化蛋白激酶激活的蛋白激酶2的方式,通过一个环磷酸腺苷反应性启动子元件介导的。
J Biol Chem. 1999 Jul 9;274(28):19559-64. doi: 10.1074/jbc.274.28.19559.
7
Enhancement of fibroblast collagenase-1 (MMP-1) gene expression by tumor promoter okadaic acid is mediated by stress-activated protein kinases Jun N-terminal kinase and p38.肿瘤启动子冈田酸对成纤维细胞胶原酶-1(基质金属蛋白酶-1)基因表达的增强作用是由应激激活蛋白激酶Jun N端激酶和p38介导的。
Matrix Biol. 1998 Dec;17(8-9):547-57. doi: 10.1016/s0945-053x(98)90107-x.
8
c-Jun N-terminal kinase/stress-activated protein kinase (JNK/SAPK) is required for mitoxantrone- and anisomycin-induced apoptosis in HL-60 cells.c-Jun氨基末端激酶/应激激活蛋白激酶(JNK/SAPK)是米托蒽醌和茴香霉素诱导HL-60细胞凋亡所必需的。
Leuk Res. 2002 Jan;26(1):55-65. doi: 10.1016/s0145-2126(01)00099-6.
9
Differential activation of ERK, JNK/SAPK and P38/CSBP/RK map kinase family members during the cellular response to arsenite.亚砷酸盐细胞应答过程中ERK、JNK/SAPK和P38/CSBP/RK丝裂原活化蛋白激酶家族成员的差异激活
Free Radic Biol Med. 1996;21(6):771-81. doi: 10.1016/0891-5849(96)00176-1.
10
Actin-binding protein-280 binds the stress-activated protein kinase (SAPK) activator SEK-1 and is required for tumor necrosis factor-alpha activation of SAPK in melanoma cells.肌动蛋白结合蛋白280与应激激活蛋白激酶(SAPK)激活剂SEK-1结合,是黑色素瘤细胞中肿瘤坏死因子-α激活SAPK所必需的。
J Biol Chem. 1997 Jan 31;272(5):2620-8. doi: 10.1074/jbc.272.5.2620.

引用本文的文献

1
Osmotic Stress-induced Gene Expression in the Diencephalon, Kidney, Liver, and Breast Muscle of Chicks.渗透压应激诱导雏鸡间脑、肾脏、肝脏和胸肌中的基因表达。
J Poult Sci. 2025 May 23;62:2025016. doi: 10.2141/jpsa.2025016. eCollection 2025.
2
A shift in chromatin binding of phosphorylated p38 precedes transcriptional changes upon oxidative stress.在氧化应激时,磷酸化p38的染色质结合变化先于转录变化。
FEBS Lett. 2024 Dec;598(23):2926-2938. doi: 10.1002/1873-3468.15006. Epub 2024 Sep 1.
3
Single-cell epitope-transcriptomics reveal lung stromal and immune cell response kinetics to nanoparticle-delivered RIG-I and TLR4 agonists.

本文引用的文献

1
Multilayered control of gene expression by stress-activated protein kinases.应激激活蛋白激酶对基因表达的多层次调控。
EMBO J. 2010 Jan 6;29(1):4-13. doi: 10.1038/emboj.2009.346. Epub 2009 Nov 26.
2
VEGF autoregulates its proliferative and migratory ERK1/2 and p38 cascades by enhancing the expression of DUSP1 and DUSP5 phosphatases in endothelial cells.血管内皮生长因子(VEGF)通过增强内皮细胞中双特异性磷酸酶1(DUSP1)和双特异性磷酸酶5(DUSP5)的表达,对其增殖性和迁移性细胞外信号调节激酶1/2(ERK1/2)及p38信号级联进行自身调节。
Am J Physiol Cell Physiol. 2009 Dec;297(6):C1477-89. doi: 10.1152/ajpcell.00058.2009. Epub 2009 Sep 9.
3
Signal integration by JNK and p38 MAPK pathways in cancer development.
单细胞表位转录组学揭示了纳米颗粒递送的 RIG-I 和 TLR4 激动剂对肺基质和免疫细胞反应动力学的影响。
Biomaterials. 2023 Jun;297:122097. doi: 10.1016/j.biomaterials.2023.122097. Epub 2023 Mar 22.
4
Evolutionary analysis of p38 stress-activated kinases in unicellular relatives of animals suggests an ancestral function in osmotic stress.动物单细胞亲缘体中 p38 应激激活激酶的进化分析表明,其在渗透胁迫中具有祖先功能。
Open Biol. 2023 Jan;13(1):220314. doi: 10.1098/rsob.220314. Epub 2023 Jan 18.
5
Early response evaluation by single cell signaling profiling in acute myeloid leukemia.急性髓系白血病中单细胞信号特征分析的早期反应评估。
Nat Commun. 2023 Jan 7;14(1):115. doi: 10.1038/s41467-022-35624-4.
6
The roles of inducible chromatin and transcriptional memory in cellular defense system responses to redox-active pollutants.诱导性染色质和转录记忆在细胞防御系统对氧化还原活性污染物反应中的作用。
Free Radic Biol Med. 2021 Jul;170:85-108. doi: 10.1016/j.freeradbiomed.2021.03.018. Epub 2021 Mar 28.
7
Kinetics of osmotic stress regulate a cell fate switch of cell survival.渗透胁迫动力学调节细胞存活的细胞命运转换。
Sci Adv. 2021 Feb 19;7(8). doi: 10.1126/sciadv.abe1122. Print 2021 Feb.
8
Single-particle imaging of stress-promoters induction reveals the interplay between MAPK signaling, chromatin and transcription factors.应激促进因子诱导的单颗粒成像揭示了 MAPK 信号转导、染色质和转录因子之间的相互作用。
Nat Commun. 2020 Jun 23;11(1):3171. doi: 10.1038/s41467-020-16943-w.
9
The p38 Pathway: From Biology to Cancer Therapy.p38 通路:从生物学到癌症治疗。
Int J Mol Sci. 2020 Mar 11;21(6):1913. doi: 10.3390/ijms21061913.
10
Functional Network Analysis Reveals the Relevance of SKIIP in the Regulation of Alternative Splicing by p38 SAPK.功能网络分析揭示了 SKIIP 在 p38 SAPK 调控可变剪接中的作用。
Cell Rep. 2019 Apr 16;27(3):847-859.e6. doi: 10.1016/j.celrep.2019.03.060.
JNK和p38丝裂原活化蛋白激酶(MAPK)信号通路在癌症发展中的信号整合
Nat Rev Cancer. 2009 Aug;9(8):537-49. doi: 10.1038/nrc2694.
4
arrayQualityMetrics--a bioconductor package for quality assessment of microarray data.arrayQualityMetrics - 一个用于微阵列数据质量评估的生物导体软件包。
Bioinformatics. 2009 Feb 1;25(3):415-6. doi: 10.1093/bioinformatics/btn647. Epub 2008 Dec 23.
5
Stress-activated genomic expression changes serve a preparative role for impending stress in yeast.应激激活的基因组表达变化对酵母即将面临的应激起到准备作用。
Mol Biol Cell. 2008 Nov;19(11):4580-7. doi: 10.1091/mbc.e07-07-0680. Epub 2008 Aug 27.
6
Control of mRNA decay by phosphorylation of tristetraprolin.通过锌指蛋白Tristetraprolin磷酸化调控mRNA降解
Biochem Soc Trans. 2008 Jun;36(Pt 3):491-6. doi: 10.1042/BST0360491.
7
Transcriptional profiling defines the roles of ERK and p38 kinases in epidermal keratinocytes.转录谱分析确定了ERK和p38激酶在表皮角质形成细胞中的作用。
J Cell Physiol. 2008 May;215(2):292-308. doi: 10.1002/jcp.21394.
8
Identification of genomic targets downstream of p38 mitogen-activated protein kinase pathway mediating tumor necrosis factor-alpha signaling.鉴定介导肿瘤坏死因子-α信号传导的p38丝裂原活化蛋白激酶途径下游的基因组靶点。
Physiol Genomics. 2007 Oct 22;31(2):343-51. doi: 10.1152/physiolgenomics.00080.2007. Epub 2007 Jul 24.
9
Comparative genomics of the environmental stress response in ascomycete fungi.子囊菌环境应激反应的比较基因组学
Yeast. 2007 Nov;24(11):961-76. doi: 10.1002/yea.1512.
10
Differential regulation of MAP kinase signalling by dual-specificity protein phosphatases.双特异性蛋白磷酸酶对丝裂原活化蛋白激酶信号传导的差异调节。
Oncogene. 2007 May 14;26(22):3203-13. doi: 10.1038/sj.onc.1210412.