Suppr超能文献

成年大鼠体感皮层功能边界水平连接的可塑性。

Plasticity of horizontal connections at a functional border in adult rat somatosensory cortex.

机构信息

Laboratory of Neurobiology, The Rockefeller University, 1230 York Avenue, New York, NY 10065, USA.

出版信息

Neural Plast. 2009;2009:294192. doi: 10.1155/2009/294192. Epub 2010 Mar 3.

Abstract

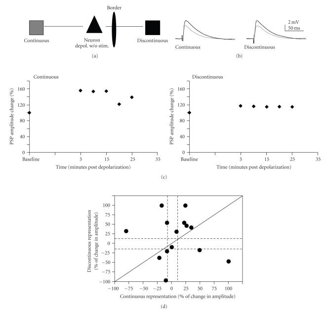
Horizontal connections in superficial cortical layers integrate information across sensory maps by connecting related functional columns. It has been hypothesized that these connections mediate cortical reorganization via synaptic plasticity. However, it is not known if the horizontal connections from discontinuous cortical regions can undergo plasticity in the adult. Here we located the border between two discontinuous cortical representations in vivo and used either pairing or low-frequency stimulation to induce synaptic plasticity in the horizontal connections surrounding this border in vitro. Individual neurons revealed significant and diverse forms of synaptic plasticity for horizontal connections within a continuous representation and discontinuous representations. Interestingly, both enhancement and depression were observed following both plasticity paradigms. Furthermore, plasticity was not restricted by the border's presence. Depolarization in the absence of synaptic stimulation also produced synaptic plasticity, but with different characteristics. These experiments suggest that plasticity of horizontal connections may mediate functional reorganization.

摘要

水平连接在浅层皮层中通过连接相关的功能柱来整合跨感觉图谱的信息。人们假设这些连接通过突触可塑性来介导皮层重组。然而,尚不清楚来自不连续皮层区域的这些水平连接是否可以在成年期发生可塑性。在这里,我们在体内定位了两个不连续皮层表示之间的边界,并使用配对或低频刺激在体外围绕该边界诱导水平连接的突触可塑性。单个神经元显示出在连续和不连续表示中,水平连接的显著且多样化的突触可塑性形式。有趣的是,两种可塑性范式后都观察到了增强和抑制。此外,可塑性不受边界存在的限制。在没有突触刺激的去极化也会产生突触可塑性,但具有不同的特征。这些实验表明,水平连接的可塑性可能介导功能重组。

https://cdn.ncbi.nlm.nih.gov/pmc/blobs/26eb/2832108/84a29fc2bf79/NP2009-294192.001.jpg

文献检索

告别复杂PubMed语法,用中文像聊天一样搜索,搜遍4000万医学文献。AI智能推荐,让科研检索更轻松。

立即免费搜索

文件翻译

保留排版,准确专业,支持PDF/Word/PPT等文件格式,支持 12+语言互译。

免费翻译文档

深度研究

AI帮你快速写综述,25分钟生成高质量综述,智能提取关键信息,辅助科研写作。

立即免费体验