Department of Pharmacology, Physiology & Therapeutics, University of North Dakota School of Medicine and Health Sciences, Grand Forks, ND 58203, USA.
J Neuroinflammation. 2010 Mar 19;7:22. doi: 10.1186/1742-2094-7-22.
Amyloid precursor protein (APP) is a ubiquitously expressed cell surface protein reported to be involved in mediating cell-cell or cell-matrix interactions. Prior work has demonstrated that APP co-localizes with beta1 integrin in different cell types.
In an effort to determine the function of APP on monocytic lineage cells, in particular, the human monocyte cell line, THP-1, was used to assess the role of APP during adhesion to the extracelluar matrix component type I collagen.
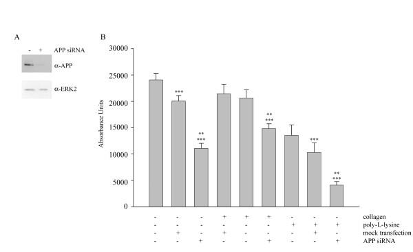
Pull-down assays demonstrated that THP-1 adhesion to collagen stimulated a tyrosine kinase-associated signaling response which included subsequent phosphorylation of p38 MAP kinase and increased association of APP with alpha2beta1 integrin, specifically. In addition, cell adhesion was dependent upon APP expression since APP siRNA knockdown attenuated THP-1 adhesion to collagen compared to mock transfected controls. One consequence of the tyrosine kinase-dependent signaling response was increased secretion of interleukin-1beta (IL-1beta) and Abeta1-40 but not the Abeta1-42 fragment of APP. Increased secretion of IL-1beta was dependent upon p38 MAP kinase activity while Abeta1-40 secretion required Src family kinase activity since the specific p38 inhibitor, SB202190, and the Src family kinase inhibitor, PP2, attenuated IL-1beta and Abeta1-40 secretion, respectively.
These data demonstrate that APP is involved in classic integrin-dependent tyrosine kinase-associated adhesion and activation of peripheral monocytic cells. Moreover, divergent APP-dependent signaling is required for increased secretion of both IL-1beta and Abeta1-40 as a component of the adhesion-dependent change in phenotype. This suggests that APP may have a broad role in not only mediating cell-matrix adhesion but also in the function of peripheral immune cells.
淀粉样前体蛋白(APP)是一种广泛表达的细胞表面蛋白,据报道其参与了细胞-细胞或细胞-基质相互作用的介导。先前的工作已经表明,APP 与β1 整合素在不同的细胞类型中共同定位。
为了确定 APP 在单核细胞谱系细胞中的功能,特别是人单核细胞系 THP-1,用于评估 APP 在与细胞外基质成分 I 型胶原黏附过程中的作用。
下拉实验表明,THP-1 黏附到胶原上会刺激一个与酪氨酸激酶相关的信号反应,包括随后的 p38 MAP 激酶磷酸化和 APP 与α2β1 整合素的特异性增加结合。此外,细胞黏附依赖于 APP 的表达,因为 APP siRNA 敲低会减弱 THP-1 与胶原的黏附,与 mock 转染对照相比。酪氨酸激酶依赖性信号反应的一个后果是白细胞介素-1β(IL-1β)和 APP 的 Abeta1-40 片段的分泌增加,但不是 Abeta1-42 片段。IL-1β 的分泌增加依赖于 p38 MAP 激酶的活性,而 Abeta1-40 的分泌需要 Src 家族激酶的活性,因为特异性的 p38 抑制剂 SB202190 和 Src 家族激酶抑制剂 PP2 分别减弱了 IL-1β 和 Abeta1-40 的分泌。
这些数据表明,APP 参与了经典的整合素依赖性酪氨酸激酶相关黏附和外周单核细胞的激活。此外,APP 依赖性信号的发散对于 IL-1β 和 Abeta1-40 的分泌增加是必需的,这是表型改变的黏附依赖性变化的一部分。这表明 APP 不仅可能在介导细胞-基质黏附方面具有广泛的作用,而且在周围免疫细胞的功能方面也具有广泛的作用。