Suppr超能文献

在印度南部开展一项随机试验的设计,以评估手机提醒对一线抗逆转录病毒治疗依从性的影响——HIVIND 研究方案。

Design of a randomized trial to evaluate the influence of mobile phone reminders on adherence to first line antiretroviral treatment in South India--the HIVIND study protocol.

机构信息

Division of Global Health, Nobels Väg 9, Karolinska Institutet, 171 77 Stockholm, Sweden.

出版信息

BMC Med Res Methodol. 2010 Mar 26;10:25. doi: 10.1186/1471-2288-10-25.

Abstract

BACKGROUND

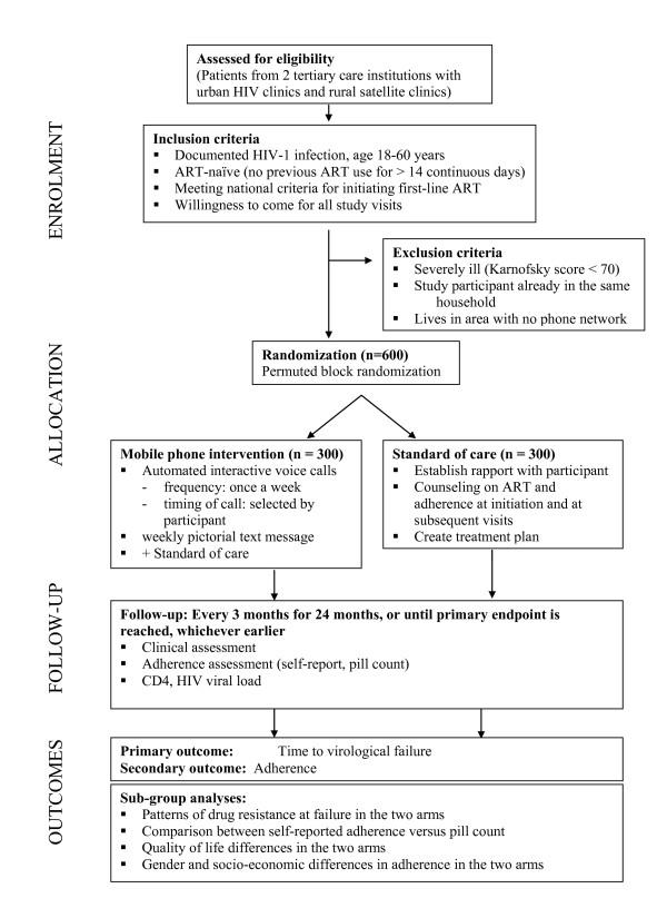
Poor adherence to antiretroviral treatment has been a public health challenge associated with the treatment of HIV. Although different adherence-supporting interventions have been reported, their long term feasibility in low income settings remains uncertain. Thus, there is a need to explore sustainable contextual adherence aids in such settings, and to test these using rigorous scientific designs. The current ubiquity of mobile phones in many resource-constrained settings, make it a contextually appropriate and relatively low cost means of supporting adherence. In India, mobile phones have wide usage and acceptability and are potentially feasible tools for enhancing adherence to medications. This paper presents the study protocol for a trial, to evaluate the influence of mobile phone reminders on adherence to first-line antiretroviral treatment in South India.

METHODS/DESIGN: 600 treatment naïve patients eligible for first-line treatment as per the national antiretroviral treatment guidelines will be recruited into the trial at two clinics in South India. Patients will be randomized into control and intervention arms. The control arm will receive the standard of care; the intervention arm will receive the standard of care plus mobile phone reminders. Each reminder will take the form of an automated call and a picture message. Reminders will be delivered once a week, at a time chosen by the patient. Patients will be followed up for 24 months or till the primary outcome i.e. virological failure, is reached, whichever is earlier. Self-reported adherence is a secondary outcome. Analysis is by intention-to-treat. A cost-effectiveness study of the intervention will also be carried out.

DISCUSSION

Stepping up telecommunications technology in resource-limited healthcare settings is a priority of the World Health Organization. The trial will evaluate if the use of mobile phone reminders can influence adherence to first-line antiretrovirals in an Indian context.

摘要

背景

抗逆转录病毒治疗的依从性差一直是与 HIV 治疗相关的公共卫生挑战。尽管已经报道了不同的依从性支持干预措施,但它们在低收入环境中的长期可行性仍不确定。因此,有必要在这些环境中探索可持续的情境性依从性辅助手段,并使用严格的科学设计来测试这些手段。在许多资源有限的环境中,手机的普及程度很高,这使得它成为一种支持依从性的情境适宜且相对低成本的手段。在印度,手机的使用广泛且可接受,是增强对药物依从性的潜在可行工具。本文介绍了一项试验的研究方案,以评估手机提醒对印度南部一线抗逆转录病毒治疗依从性的影响。

方法/设计:将从印度南部的两个诊所招募 600 名符合国家抗逆转录病毒治疗指南一线治疗条件的初治患者参加这项试验。患者将被随机分配到对照组和干预组。对照组将接受标准护理;干预组将接受标准护理加手机提醒。每个提醒将采用自动电话和图片信息的形式。提醒将每周一次,在患者选择的时间发送。患者将接受 24 个月的随访,或直至达到主要结局(即病毒学失败),以先达到者为准。自我报告的依从性是次要结局。分析采用意向治疗。还将对干预措施进行成本效益研究。

讨论

加强资源有限的医疗保健环境中的电信技术是世界卫生组织的优先事项。该试验将评估在印度环境中,使用手机提醒是否可以影响一线抗逆转录病毒药物的依从性。

https://cdn.ncbi.nlm.nih.gov/pmc/blobs/1e4c/2858730/22400eead917/1471-2288-10-25-1.jpg

文献检索

告别复杂PubMed语法,用中文像聊天一样搜索,搜遍4000万医学文献。AI智能推荐,让科研检索更轻松。

立即免费搜索

文件翻译

保留排版,准确专业,支持PDF/Word/PPT等文件格式,支持 12+语言互译。

免费翻译文档

深度研究

AI帮你快速写综述,25分钟生成高质量综述,智能提取关键信息,辅助科研写作。

立即免费体验