Suppr超能文献

青少年特发性脊柱侧凸与神经肌肉型脊柱侧凸经椎弓根螺钉内固定后顶椎轴向去旋转的比较

Comparison of Apical Axial Derotation between Adolescent Idiopathic and Neuromuscular Scoliosis with Pedicle Screw Instrumentation.

作者信息

Modi Hitesh N, Suh Seung-Woo, Srinivasalu S, Mehta Satyen, Yang Jae-Hyuk

机构信息

Scoliosis Research Institute, Department of Orthopedics, Korea University Guro Hospital, Seoul, Korea.

出版信息

Asian Spine J. 2008 Dec;2(2):74-80. doi: 10.4184/asj.2008.2.2.74. Epub 2008 Dec 31.

Abstract

STUDY DESIGN

A retrospective study.

PURPOSE

To compare outcomes of apical derotation with pedicle screws in idiopathic and neuromuscular scoliosis (NMS).

OVERVIEW OF LITERATURE

No information about apical derotation in NMS with pedicle screws is available.

METHODS

We performed deformity correcting surgery using pedicle screw constructs on 12 adolescent idiopathic scoliosis (AIS) patients (mean age 14.1 years) and 16 NMS patients (mean age 16.5 years). Preoperative, postoperative, and final follow-up radiographs were analyzed for Cobb's angle and pelvic obliquity, while apical rotation was measured on CT scans using the Aaro-Dahlborn method.

RESULTS

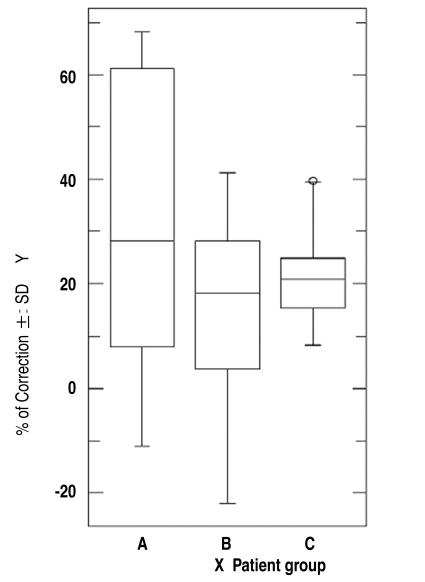
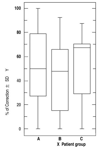
For AIS, the mean preoperative Cobb's angle, pelvic obliquity, and apical rotation values were 57.3 degrees , 2.8 degrees , and 20.4 degrees , respectively, and postoperatively they were 16.8 degrees , 1.1 degrees and 14.7 degrees , respectively, showing significant correction. For NMS, the mean preoperative Cobb's angle, pelvic obliquity, and apical rotation values were 75.6 degrees , 13.7 degrees , and 42.9 degrees , respectively, and postoperatively they were 27.1 degrees , 5.8 degrees , and 34.1 degrees , respectively, also showing significant correction. There were no significant differences between AIS and NMS patients Cobb's angle p=0.306, pelvic obliquity p=0.887 and apical derotation p=0.113 degrees . There were no differences in curve severity in the three groups (AIS, NMS >80 degrees and NMS <80 degrees ); or the correction of apical rotation (p=0.25), although less correction was achieved in the Cobb's angle in the >80 NMS group (p=0.04).

CONCLUSIONS

Apical axial derotation can be achieved with posterior only pedicle screw fixation in NMS without anterior release, with comparable results in idiopathic scoliosis.

摘要

研究设计

一项回顾性研究。

目的

比较特发性和神经肌肉型脊柱侧凸(NMS)患者使用椎弓根螺钉进行顶椎去旋转的效果。

文献综述

尚无关于NMS患者使用椎弓根螺钉进行顶椎去旋转的相关信息。

方法

我们对12例青少年特发性脊柱侧凸(AIS)患者(平均年龄14.1岁)和16例NMS患者(平均年龄16.5岁)采用椎弓根螺钉结构进行畸形矫正手术。分析术前、术后及最终随访的X线片的Cobb角和骨盆倾斜度,同时使用Aaro-Dahlborn方法在CT扫描上测量顶椎旋转度。

结果

对于AIS患者,术前平均Cobb角、骨盆倾斜度和顶椎旋转度分别为57.3度、2.8度和20.4度,术后分别为16.8度、1.1度和14.7度,显示出显著矫正。对于NMS患者,术前平均Cobb角、骨盆倾斜度和顶椎旋转度分别为75.6度、13.7度和42.9度,术后分别为27.1度、5.8度和34.1度,也显示出显著矫正。AIS和NMS患者在Cobb角(p = 0.306)、骨盆倾斜度(p = 0.887)和顶椎去旋转(p = 0.113度)方面无显著差异。三组(AIS、NMS>80度和NMS<80度)的曲线严重程度或顶椎旋转的矫正情况无差异(p = 0.25),尽管>80度的NMS组在Cobb角的矫正方面效果较差(p = 0.04)。

结论

在NMS患者中,仅通过后路椎弓根螺钉固定即可实现顶椎轴向去旋转,无需前路松解,其结果与特发性脊柱侧凸相当。

https://cdn.ncbi.nlm.nih.gov/pmc/blobs/6860/2852093/867343289bac/asj-2-74-g001.jpg

文献AI研究员

20分钟写一篇综述,助力文献阅读效率提升50倍。

立即体验

用中文搜PubMed

大模型驱动的PubMed中文搜索引擎

马上搜索

文档翻译

学术文献翻译模型,支持多种主流文档格式。

立即体验