Suppr超能文献

Raf 激酶抑制蛋白(RKIP)结合口袋的特性:基于 NMR 的筛选鉴定小分子配体。

Characterization of the Raf kinase inhibitory protein (RKIP) binding pocket: NMR-based screening identifies small-molecule ligands.

机构信息

Ben May Department for Cancer Research, University of Chicago, Chicago, Illinois, United States of America.

出版信息

PLoS One. 2010 May 5;5(5):e10479. doi: 10.1371/journal.pone.0010479.

Abstract

BACKGROUND

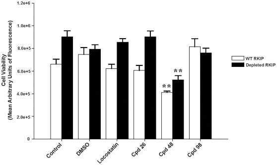
Raf kinase inhibitory protein (RKIP), also known as phoshaptidylethanolamine binding protein (PEBP), has been shown to inhibit Raf and thereby negatively regulate growth factor signaling by the Raf/MAP kinase pathway. RKIP has also been shown to suppress metastasis. We have previously demonstrated that RKIP/Raf interaction is regulated by two mechanisms: phosphorylation of RKIP at Ser-153, and occupation of RKIP's conserved ligand binding domain with a phospholipid (2-dihexanoyl-sn-glycero-3-phosphoethanolamine; DHPE). In addition to phospholipids, other ligands have been reported to bind this domain; however their binding properties remain uncharacterized.

METHODS/FINDINGS: In this study, we used high-resolution heteronuclear NMR spectroscopy to screen a chemical library and assay a number of potential RKIP ligands for binding to the protein. Surprisingly, many compounds previously postulated as RKIP ligands showed no detectable binding in near-physiological solution conditions even at millimolar concentrations. In contrast, we found three novel ligands for RKIP that specifically bind to the RKIP pocket. Interestingly, unlike the phospholipid, DHPE, these newly identified ligands did not affect RKIP binding to Raf-1 or RKIP phosphorylation. One out of the three ligands displayed off target biological effects, impairing EGF-induced MAPK and metabolic activity.

CONCLUSIONS/SIGNIFICANCE: This work defines the binding properties of RKIP ligands under near physiological conditions, establishing RKIP's affinity for hydrophobic ligands and the importance of bulky aliphatic chains for inhibiting its function. The common structural elements of these compounds defines a minimal requirement for RKIP binding and thus they can be used as lead compounds for future design of RKIP ligands with therapeutic potential.

摘要

背景

Raf 激酶抑制蛋白(RKIP),也称为磷酸乙醇胺结合蛋白(PEBP),已被证明可以抑制 Raf,从而负调控 Raf/MAP 激酶通路的生长因子信号。RKIP 还被证明可以抑制转移。我们之前已经证明,RKIP/Raf 相互作用受两种机制调节:RKIP 在 Ser-153 上的磷酸化,以及 RKIP 保守配体结合域与磷脂(2-二己酰基-sn-甘油-3-磷酸乙醇胺;DHPE)的占据。除了磷脂,其他配体也被报道与该结构域结合;然而,它们的结合特性仍未被描述。

方法/发现:在这项研究中,我们使用高分辨率异核 NMR 光谱筛选化学文库,并对许多潜在的 RKIP 配体进行了与蛋白质结合的测定。令人惊讶的是,许多以前被认为是 RKIP 配体的化合物在接近生理的溶液条件下,即使在毫摩尔浓度下,也没有检测到可检测的结合。相比之下,我们发现了三种新的 RKIP 配体,它们特异性地结合到 RKIP 口袋。有趣的是,与磷脂 DHPE 不同,这些新鉴定的配体并不影响 RKIP 与 Raf-1 或 RKIP 磷酸化的结合。其中一种配体表现出脱靶生物效应,损害了 EGF 诱导的 MAPK 和代谢活性。

结论/意义:这项工作定义了 RKIP 配体在接近生理条件下的结合特性,确立了 RKIP 对疏水性配体的亲和力,以及大脂肪链对于抑制其功能的重要性。这些化合物的共同结构元素定义了 RKIP 结合的最小要求,因此它们可以作为未来具有治疗潜力的 RKIP 配体的设计的先导化合物。

https://cdn.ncbi.nlm.nih.gov/pmc/blobs/60bd/2864760/ce64b4e4a1b5/pone.0010479.g001.jpg

文献AI研究员

20分钟写一篇综述,助力文献阅读效率提升50倍。

立即体验

用中文搜PubMed

大模型驱动的PubMed中文搜索引擎

马上搜索

文档翻译

学术文献翻译模型,支持多种主流文档格式。

立即体验