• 文献检索
  • 文档翻译
  • 深度研究
  • 学术资讯
  • Suppr Zotero 插件Zotero 插件
  • 邀请有礼
  • 套餐&价格
  • 历史记录
应用&插件
Suppr Zotero 插件Zotero 插件浏览器插件Mac 客户端Windows 客户端微信小程序
定价
高级版会员购买积分包购买API积分包
服务
文献检索文档翻译深度研究API 文档MCP 服务
关于我们
关于 Suppr公司介绍联系我们用户协议隐私条款
关注我们

Suppr 超能文献

核心技术专利:CN118964589B侵权必究
粤ICP备2023148730 号-1Suppr @ 2026

文献检索

告别复杂PubMed语法,用中文像聊天一样搜索,搜遍4000万医学文献。AI智能推荐,让科研检索更轻松。

立即免费搜索

文件翻译

保留排版,准确专业,支持PDF/Word/PPT等文件格式,支持 12+语言互译。

免费翻译文档

深度研究

AI帮你快速写综述,25分钟生成高质量综述,智能提取关键信息,辅助科研写作。

立即免费体验

注意力需求会影响视觉工作记忆中的编码策略。

Attentional demand influences strategies for encoding into visual working memory.

作者信息

Mayer Jutta S, Bittner Robert A, Linden David E J, Nikolić Danko

机构信息

Laboratory for Neurophysiology and Neuroimaging, Department of Psychiatry, Johann Wolfgang Goethe-University, Frankfurt, Germany.

出版信息

Adv Cogn Psychol. 2008 Jul 15;3(4):429-48. doi: 10.2478/v10053-008-0007-2.

DOI:10.2478/v10053-008-0007-2
PMID:20517526
原文链接:https://pmc.ncbi.nlm.nih.gov/articles/PMC2864995/
Abstract

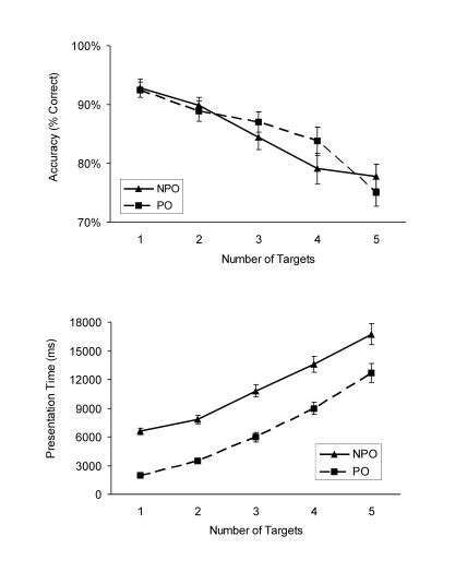
Visual selective attention and visual working memory (WM) share the same capacity-limited resources. We investigated whether and how participants can cope with a task in which these 2 mechanisms interfere. The task required participants to scan an array of 9 objects in order to select the target locations and to encode the items presented at these locations into WM (1 to 5 shapes). Determination of the target locations required either few attentional resources ("popout condition") or an attention-demanding serial search ("non pop-out condition"). Participants were able to achieve high memory performance in all stimulation conditions but, in the non popout conditions, this came at the cost of additional processing time. Both empirical evidence and subjective reports suggest that participants invested the additional time in memorizing the locations of all target objects prior to the encoding of their shapes into WM. Thus, they seemed to be unable to interleave the steps of search with those of encoding. We propose that the memory for target locations substitutes for perceptual pop-out and thus may be the key component that allows for flexible coping with the common processing limitations of visual WM and attention. The findings have implications for understanding how we cope with real-life situations in which the demands on visual attention and WM occur simultaneously.

摘要

视觉选择性注意和视觉工作记忆(WM)共享相同的容量有限的资源。我们研究了参与者是否以及如何应对这两种机制相互干扰的任务。该任务要求参与者扫描一组9个物体,以选择目标位置并将这些位置呈现的项目编码到工作记忆中(1到5个形状)。确定目标位置要么需要很少的注意力资源(“弹出条件”),要么需要大量注意力的串行搜索(“非弹出条件”)。参与者在所有刺激条件下都能实现高记忆表现,但在非弹出条件下,这是以额外的处理时间为代价的。实证证据和主观报告均表明,参与者在将目标物体的形状编码到工作记忆之前,投入了额外的时间来记忆所有目标物体的位置。因此,他们似乎无法将搜索步骤与编码步骤交错进行。我们提出,对目标位置的记忆替代了感知弹出,因此可能是允许灵活应对视觉工作记忆和注意力共同处理限制的关键组成部分。这些发现对于理解我们如何应对视觉注意力和工作记忆需求同时出现的现实生活情况具有启示意义。

https://cdn.ncbi.nlm.nih.gov/pmc/blobs/4b09/2864995/9e025b67f1d4/acp-03-429-g007.jpg
https://cdn.ncbi.nlm.nih.gov/pmc/blobs/4b09/2864995/cb4ba86aaca8/acp-03-429-g001.jpg
https://cdn.ncbi.nlm.nih.gov/pmc/blobs/4b09/2864995/34f89405405a/acp-03-429-g002.jpg
https://cdn.ncbi.nlm.nih.gov/pmc/blobs/4b09/2864995/9f6fa288ba1a/acp-03-429-g003.jpg
https://cdn.ncbi.nlm.nih.gov/pmc/blobs/4b09/2864995/1857c86bb3bc/acp-03-429-g004.jpg
https://cdn.ncbi.nlm.nih.gov/pmc/blobs/4b09/2864995/43039787db9b/acp-03-429-g005.jpg
https://cdn.ncbi.nlm.nih.gov/pmc/blobs/4b09/2864995/f0319c4f7099/acp-03-429-g006.jpg
https://cdn.ncbi.nlm.nih.gov/pmc/blobs/4b09/2864995/9e025b67f1d4/acp-03-429-g007.jpg
https://cdn.ncbi.nlm.nih.gov/pmc/blobs/4b09/2864995/cb4ba86aaca8/acp-03-429-g001.jpg
https://cdn.ncbi.nlm.nih.gov/pmc/blobs/4b09/2864995/34f89405405a/acp-03-429-g002.jpg
https://cdn.ncbi.nlm.nih.gov/pmc/blobs/4b09/2864995/9f6fa288ba1a/acp-03-429-g003.jpg
https://cdn.ncbi.nlm.nih.gov/pmc/blobs/4b09/2864995/1857c86bb3bc/acp-03-429-g004.jpg
https://cdn.ncbi.nlm.nih.gov/pmc/blobs/4b09/2864995/43039787db9b/acp-03-429-g005.jpg
https://cdn.ncbi.nlm.nih.gov/pmc/blobs/4b09/2864995/f0319c4f7099/acp-03-429-g006.jpg
https://cdn.ncbi.nlm.nih.gov/pmc/blobs/4b09/2864995/9e025b67f1d4/acp-03-429-g007.jpg

相似文献

1
Attentional demand influences strategies for encoding into visual working memory.注意力需求会影响视觉工作记忆中的编码策略。
Adv Cogn Psychol. 2008 Jul 15;3(4):429-48. doi: 10.2478/v10053-008-0007-2.
2
Common capacity-limited neural mechanisms of selective attention and spatial working memory encoding.选择性注意和空间工作记忆编码的常见容量限制神经机制。
Eur J Neurosci. 2011 Sep;34(5):827-38. doi: 10.1111/j.1460-9568.2011.07794.x. Epub 2011 Jul 22.
3
Common neural substrates for visual working memory and attention.视觉工作记忆和注意力的共同神经基质。
Neuroimage. 2007 Jun;36(2):441-53. doi: 10.1016/j.neuroimage.2007.03.007. Epub 2007 Mar 20.
4
Visual working memory load disrupts the space-based attentional guidance of target selection.视觉工作记忆负荷会干扰基于空间的目标选择的注意力引导。
Br J Psychol. 2019 May;110(2):357-371. doi: 10.1111/bjop.12323. Epub 2018 Jun 26.
5
Working memory-driven attention towards a distractor does not interfere with target feature perception.工作记忆驱动的对干扰项的注意力不会干扰目标特征感知。
Vis cogn. 2019;27(9-10):714-731. doi: 10.1080/13506285.2019.1659895. Epub 2019 Sep 5.
6
The Competitive Influences of Perceptual Load and Working Memory Guidance on Selective Attention.知觉负载和工作记忆引导对选择性注意的竞争性影响。
PLoS One. 2015 Jun 22;10(6):e0129533. doi: 10.1371/journal.pone.0129533. eCollection 2015.
7
The contribution of working memory to divided attention.工作记忆对分散注意力的贡献。
Hum Brain Mapp. 2013 Jan;34(1):158-75. doi: 10.1002/hbm.21430. Epub 2011 Oct 22.
8
Role of aging and working memory in performance on a naturalistic visual search task.年龄和工作记忆在自然视觉搜索任务表现中的作用。
Cortex. 2021 Mar;136:28-40. doi: 10.1016/j.cortex.2020.12.003. Epub 2020 Dec 23.
9
Enhancing visual working memory encoding: The role of target novelty.增强视觉工作记忆编码:目标新颖性的作用。
Vis cogn. 2011;19(7):863-885. doi: 10.1080/13506285.2011.594459.
10
The role of depth of encoding in attentional capture.编码深度在注意捕获中的作用。
Psychon Bull Rev. 2015 Oct;22(5):1424-9. doi: 10.3758/s13423-015-0807-6.

引用本文的文献

1
Common capacity-limited neural mechanisms of selective attention and spatial working memory encoding.选择性注意和空间工作记忆编码的常见容量限制神经机制。
Eur J Neurosci. 2011 Sep;34(5):827-38. doi: 10.1111/j.1460-9568.2011.07794.x. Epub 2011 Jul 22.
2
Functional imaging reveals working memory and attention interact to produce the attentional blink.功能成像揭示了工作记忆和注意力的相互作用如何产生注意瞬脱。
J Cogn Neurosci. 2012 Jan;24(1):28-38. doi: 10.1162/jocn_a_00054. Epub 2011 May 13.
3
Dissociated mechanisms of extracting perceptual information into visual working memory.

本文引用的文献

1
Creation of visual long-term memory.
Percept Psychophys. 2007 Aug;69(6):904-12. doi: 10.3758/bf03193927.
2
Time and cognitive load in working memory.工作记忆中的时间与认知负荷
J Exp Psychol Learn Mem Cogn. 2007 May;33(3):570-85. doi: 10.1037/0278-7393.33.3.570.
3
Common neural substrates for visual working memory and attention.视觉工作记忆和注意力的共同神经基质。
Neuroimage. 2007 Jun;36(2):441-53. doi: 10.1016/j.neuroimage.2007.03.007. Epub 2007 Mar 20.
将知觉信息提取到视觉工作记忆中的分离机制。
PLoS One. 2010 Dec 10;5(12):e14273. doi: 10.1371/journal.pone.0014273.
4
Specialization in the default mode: Task-induced brain deactivations dissociate between visual working memory and attention.默认模式专业化:任务诱导的大脑去激活区分视觉工作记忆和注意力。
Hum Brain Mapp. 2010 Jan;31(1):126-39. doi: 10.1002/hbm.20850.
4
Tracking multiple targets with multifocal attention.通过多焦点注意力追踪多个目标。
Trends Cogn Sci. 2005 Jul;9(7):349-54. doi: 10.1016/j.tics.2005.05.009.
5
Visual memory needs categories.视觉记忆需要分类。
Proc Natl Acad Sci U S A. 2005 Jun 14;102(24):8776-80. doi: 10.1073/pnas.0500810102. Epub 2005 Jun 3.
6
The influence of intentional and incidental learning on acquiring spatial knowledge during navigation.有意学习和附带学习对导航过程中获取空间知识的影响。
Psychol Res. 2006 Mar;70(2):151-6. doi: 10.1007/s00426-004-0199-0. Epub 2005 Apr 21.
7
Do humans integrate routes into a cognitive map? Map- versus landmark-based navigation of novel shortcuts.人类会将路线整合到认知地图中吗?基于地图与基于地标的新捷径导航。
J Exp Psychol Learn Mem Cogn. 2005 Mar;31(2):195-215. doi: 10.1037/0278-7393.31.2.195.
8
Load theory of selective attention and cognitive control.选择性注意与认知控制的负载理论。
J Exp Psychol Gen. 2004 Sep;133(3):339-54. doi: 10.1037/0096-3445.133.3.339.
9
The role of spatial working memory in visual search efficiency.空间工作记忆在视觉搜索效率中的作用。
Psychon Bull Rev. 2004 Apr;11(2):275-81. doi: 10.3758/bf03196570.
10
Visual search is slowed when visuospatial working memory is occupied.当视觉空间工作记忆被占用时,视觉搜索会变慢。
Psychon Bull Rev. 2004 Apr;11(2):269-74. doi: 10.3758/bf03196569.