• 文献检索
  • 文档翻译
  • 深度研究
  • 学术资讯
  • Suppr Zotero 插件Zotero 插件
  • 邀请有礼
  • 套餐&价格
  • 历史记录
应用&插件
Suppr Zotero 插件Zotero 插件浏览器插件Mac 客户端Windows 客户端微信小程序
定价
高级版会员购买积分包购买API积分包
服务
文献检索文档翻译深度研究API 文档MCP 服务
关于我们
关于 Suppr公司介绍联系我们用户协议隐私条款
关注我们

Suppr 超能文献

核心技术专利:CN118964589B侵权必究
粤ICP备2023148730 号-1Suppr @ 2026

文献检索

告别复杂PubMed语法,用中文像聊天一样搜索,搜遍4000万医学文献。AI智能推荐,让科研检索更轻松。

立即免费搜索

文件翻译

保留排版,准确专业,支持PDF/Word/PPT等文件格式,支持 12+语言互译。

免费翻译文档

深度研究

AI帮你快速写综述,25分钟生成高质量综述,智能提取关键信息,辅助科研写作。

立即免费体验

生化标志物可识别骨关节炎中骨和软骨降解的影响因素——性别、Kellgren-Lawrence (KL) 评分、体重指数 (BMI)、口服鲑鱼降钙素 (sCT) 治疗和昼夜变化的影响。

Biochemical markers identify influences on bone and cartilage degradation in osteoarthritis--the effect of sex, Kellgren-Lawrence (KL) score, body mass index (BMI), oral salmon calcitonin (sCT) treatment and diurnal variation.

机构信息

Nordic Bioscience A/S, Herlev, Herlev, Denmark.

出版信息

BMC Musculoskelet Disord. 2010 Jun 17;11:125. doi: 10.1186/1471-2474-11-125.

DOI:10.1186/1471-2474-11-125
PMID:20565725
原文链接:https://pmc.ncbi.nlm.nih.gov/articles/PMC2902412/
Abstract

BACKGROUND

Osteoarthritis (OA) involves changes in both bone and cartilage. These processes might be associated under some circumstances. This study investigated correlations between bone and cartilage degradation in patients with OA as a function of sex, Kellgren-Lawrence (KL) score, Body Mass Index (BMI), oral salmon calcitonin (sCT) treatment and diurnal variation.

METHODS

This study was a 2-week, double-blind, double-dummy, randomized study including 37 postmenopausal women and 36 men, aged 57-75 years, with painful knee OA, and a KL-score of I - III. Subjects were allocated to one of three treatment arms: 0.6 mg or 0.8 mg oral sCT, or placebo given twice-daily for 14 days. Correlations between gender, KL score, or BMI and the bone resorption marker, serum C-terminal telopeptide of collagen type I (CTX-I), or the cartilage degradation marker, urine C-terminal telopeptide of collagen type II (CTX-II) were investigated.

RESULTS

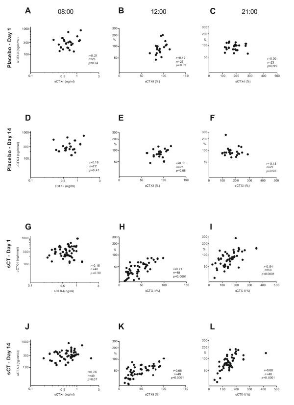
At baseline, biomarkers indicated women with OA experienced higher bone and cartilage degradation than men. CTX-I levels were significantly higher, and CTX-II levels only marginally higher, in women than in men (p = 0.04 and p = 0.06, respectively). Increasing KL score was not correlated with bone resorption, but was significantly associated with the cartilage degradation CTX-II marker in both men and women (p = 0.007). BMI was significantly and negatively correlated to the bone resorption marker CTX-I, r = -0.40 (p = 0.002), but showed only a borderline positive correlation to CTX-II, r = 0.25 (p = 0.12). Before morning treatments on days 1 and 14, no correlation was seen between CTX-I and CTX-II in either the sCT or placebo group. However, oral sCT and food intake induced a clear correlation between these bone and cartilage degradation markers. Four hours after the first sCT dose on treatment days 1 and 14, a significant correlation (r = 0.71, p < 0.001) between changes in both CTX-I and CTX-II was seen. In the placebo group a weakly significant correlation between changes in both markers was found on day 1 (r = 0.49, p = 0.02), but not on day 14.

CONCLUSION

Bone resorption was higher in females than males, while cartilage degradation was correlated with increasing KL-score and only weakly associated with BMI. Bone and cartilage degradation were not correlated in untreated individuals, but dosing with oral sCT with or without food, and a mid-day meal, decreased bone and cartilage degradation and induced a correlation between both markers. Changes in bone and cartilage markers may aid in the identification of potential new treatment opportunities for OA.

TRIAL REGISTRATION

Clinical trial registration number (EUDRACT2006-005532-24 & NCT00486369).

摘要

背景

骨关节炎(OA)涉及骨和软骨的变化。在某些情况下,这些过程可能会相关联。本研究旨在调查 OA 患者的骨和软骨降解之间的相关性,具体表现为性别、Kellgren-Lawrence(KL)评分、体重指数(BMI)、口服降钙素(sCT)治疗和昼夜变化。

方法

这是一项为期 2 周、双盲、双模拟、随机研究,纳入了 37 名绝经后女性和 36 名男性,年龄 57-75 岁,患有膝关节 OA,KL 评分 I - III。将受试者分为三组:0.6 毫克或 0.8 毫克口服 sCT 或安慰剂,每日两次,共 14 天。研究人员调查了性别、KL 评分或 BMI 与骨吸收标志物血清 I 型胶原 C 端肽(CTX-I)或软骨降解标志物尿 I 型胶原 C 端肽(CTX-II)之间的相关性。

结果

基线时,生物标志物表明,OA 女性的骨和软骨降解水平高于男性。CTX-I 水平明显更高,CTX-II 水平仅略有升高,女性高于男性(p = 0.04 和 p = 0.06)。KL 评分升高与骨吸收无关,但与男女的软骨降解 CTX-II 标志物显著相关(p = 0.007)。BMI 与骨吸收标志物 CTX-I 显著负相关,r = -0.40(p = 0.002),但与 CTX-II 仅呈边缘正相关,r = 0.25(p = 0.12)。在第 1 天和第 14 天治疗的早晨治疗前,sCT 或安慰剂组中均未观察到 CTX-I 和 CTX-II 之间的相关性。然而,口服 sCT 和食物摄入诱导了这些骨和软骨降解标志物之间的明确相关性。在第 1 天和第 14 天的 sCT 剂量治疗的第 4 小时,CTX-I 和 CTX-II 之间的变化显著相关(r = 0.71,p < 0.001)。在安慰剂组中,在第 1 天(r = 0.49,p = 0.02)和第 14 天(r = 0.34,p = 0.06)发现了这两种标志物变化之间的弱显著相关性。

结论

女性的骨吸收水平高于男性,而软骨降解与 KL 评分升高相关,与 BMI 仅呈弱相关。未治疗个体中骨和软骨降解之间无相关性,但口服 sCT 联合或不联合食物治疗以及中午餐可降低骨和软骨降解,并诱导两种标志物之间的相关性。骨和软骨标志物的变化可能有助于确定 OA 的潜在新治疗机会。

试验注册

临床试验注册号(EUDRACT2006-005532-24 和 NCT00486369)。

https://cdn.ncbi.nlm.nih.gov/pmc/blobs/3065/2902412/cd5207cc0b22/1471-2474-11-125-5.jpg
https://cdn.ncbi.nlm.nih.gov/pmc/blobs/3065/2902412/5b18ed0041e2/1471-2474-11-125-1.jpg
https://cdn.ncbi.nlm.nih.gov/pmc/blobs/3065/2902412/b2fb53441e60/1471-2474-11-125-2.jpg
https://cdn.ncbi.nlm.nih.gov/pmc/blobs/3065/2902412/11a24235164d/1471-2474-11-125-3.jpg
https://cdn.ncbi.nlm.nih.gov/pmc/blobs/3065/2902412/f5ba3e155733/1471-2474-11-125-4.jpg
https://cdn.ncbi.nlm.nih.gov/pmc/blobs/3065/2902412/cd5207cc0b22/1471-2474-11-125-5.jpg
https://cdn.ncbi.nlm.nih.gov/pmc/blobs/3065/2902412/5b18ed0041e2/1471-2474-11-125-1.jpg
https://cdn.ncbi.nlm.nih.gov/pmc/blobs/3065/2902412/b2fb53441e60/1471-2474-11-125-2.jpg
https://cdn.ncbi.nlm.nih.gov/pmc/blobs/3065/2902412/11a24235164d/1471-2474-11-125-3.jpg
https://cdn.ncbi.nlm.nih.gov/pmc/blobs/3065/2902412/f5ba3e155733/1471-2474-11-125-4.jpg
https://cdn.ncbi.nlm.nih.gov/pmc/blobs/3065/2902412/cd5207cc0b22/1471-2474-11-125-5.jpg

相似文献

1
Biochemical markers identify influences on bone and cartilage degradation in osteoarthritis--the effect of sex, Kellgren-Lawrence (KL) score, body mass index (BMI), oral salmon calcitonin (sCT) treatment and diurnal variation.生化标志物可识别骨关节炎中骨和软骨降解的影响因素——性别、Kellgren-Lawrence (KL) 评分、体重指数 (BMI)、口服鲑鱼降钙素 (sCT) 治疗和昼夜变化的影响。
BMC Musculoskelet Disord. 2010 Jun 17;11:125. doi: 10.1186/1471-2474-11-125.
2
The effect of oral salmon calcitonin delivered with 5-CNAC on bone and cartilage degradation in osteoarthritic patients: a 14-day randomized study.鲑鱼降钙素口腔崩解片对骨关节炎患者骨与软骨降解的影响:一项为期 14 天的随机研究。
Osteoarthritis Cartilage. 2010 Feb;18(2):150-9. doi: 10.1016/j.joca.2009.08.004. Epub 2009 Sep 1.
3
Treatment of symptomatic knee osteoarthritis with oral salmon calcitonin: results from two phase 3 trials.口服鲑鱼降钙素治疗有症状的膝骨关节炎:两项3期试验的结果
Osteoarthritis Cartilage. 2015 Apr;23(4):532-43. doi: 10.1016/j.joca.2014.12.019. Epub 2015 Jan 9.
4
Associations between biomarkers of bone and cartilage turnover, gender, pain categories and radiographic severity in knee osteoarthritis.骨和软骨转换生物标志物与性别、疼痛类别和膝关节骨关节炎放射学严重程度的相关性。
Arthritis Res Ther. 2019 Sep 3;21(1):203. doi: 10.1186/s13075-019-1987-7.
5
Cross sectional evaluation of biochemical markers of bone, cartilage, and synovial tissue metabolism in patients with knee osteoarthritis: relations with disease activity and joint damage.膝关节骨关节炎患者骨、软骨和滑膜组织代谢生化标志物的横断面评估:与疾病活动度和关节损伤的关系
Ann Rheum Dis. 2001 Jun;60(6):619-26. doi: 10.1136/ard.60.6.619.
6
Oral salmon calcitonin reduces Lequesne's algofunctional index scores and decreases urinary and serum levels of biomarkers of joint metabolism in knee osteoarthritis.口服鲑鱼降钙素可降低膝骨关节炎患者的勒凯斯内(Lequesne)疼痛功能指数评分,并降低尿液和血清中关节代谢生物标志物的水平。
Arthritis Rheum. 2006 Oct;54(10):3205-11. doi: 10.1002/art.22075.
7
Oral salmon calcitonin induced suppression of urinary collagen type II degradation in postmenopausal women: a new potential treatment of osteoarthritis.口服鲑鱼降钙素可抑制绝经后女性尿液中II型胶原蛋白的降解:一种骨关节炎的新潜在治疗方法。
Bone. 2005 Sep;37(3):425-30. doi: 10.1016/j.bone.2005.04.032.
8
Investigations of inter- and intraindividual relationships between exposure to oral salmon calcitonin and a surrogate marker of pharmacodynamic efficacy.研究口服鲑鱼降钙素暴露与药效学替代标志物之间的个体内和个体间关系。
Eur J Clin Pharmacol. 2010 Jan;66(1):29-37. doi: 10.1007/s00228-009-0735-3. Epub 2009 Oct 8.
9
Safety and efficacy of a novel salmon calcitonin (sCT) technology-based oral formulation in healthy postmenopausal women: acute and 3-month effects on biomarkers of bone turnover.一种基于新型鲑鱼降钙素(sCT)技术的口服制剂在健康绝经后女性中的安全性和有效性:对骨转换生物标志物的急性和3个月影响
J Bone Miner Res. 2004 Sep;19(9):1531-8. doi: 10.1359/JBMR.040715. Epub 2004 Jul 26.
10
Cartilage turnover and intra-articular corticosteroid injections in knee osteoarthritis.膝关节骨关节炎的软骨转换和关节内皮质类固醇注射。
Rheumatol Int. 2018 Mar;38(3):455-459. doi: 10.1007/s00296-018-3988-2. Epub 2018 Feb 2.

引用本文的文献

1
Calcitonin treatment for osteoarthritis and rheumatoid arthritis - a systematic review and meta-analysis of preclinical data.降钙素治疗骨关节炎和类风湿关节炎——临床前数据的系统评价和荟萃分析
EFORT Open Rev. 2024 Jul 1;9(7):600-614. doi: 10.1530/EOR-23-0133.
2
Intra-articular steroids for the treatment of coxarthrosis; a retrospective cohort study comparing three contrast techniques.关节内类固醇治疗髋关节骨关节炎; 三种对比技术的回顾性队列研究。
Arch Orthop Trauma Surg. 2024 Jul;144(7):2935-2943. doi: 10.1007/s00402-024-05371-w. Epub 2024 May 29.
3
Association of biochemical markers with bone marrow lesion changes on imaging-data from the Foundation for the National Institutes of Health Osteoarthritis Biomarkers Consortium.

本文引用的文献

1
Which elements are involved in reversible and irreversible cartilage degradation in osteoarthritis?骨关节炎中哪些因素涉及到可逆和不可逆的软骨降解?
Rheumatol Int. 2010 Feb;30(4):435-42. doi: 10.1007/s00296-009-1183-1. Epub 2009 Oct 9.
2
Investigations of inter- and intraindividual relationships between exposure to oral salmon calcitonin and a surrogate marker of pharmacodynamic efficacy.研究口服鲑鱼降钙素暴露与药效学替代标志物之间的个体内和个体间关系。
Eur J Clin Pharmacol. 2010 Jan;66(1):29-37. doi: 10.1007/s00228-009-0735-3. Epub 2009 Oct 8.
3
The effect of oral salmon calcitonin delivered with 5-CNAC on bone and cartilage degradation in osteoarthritic patients: a 14-day randomized study.
生化标志物与美国国立卫生研究院骨关节炎生物标志物联盟影像学数据骨髓病变变化的关联。
Arthritis Res Ther. 2024 Jan 18;26(1):30. doi: 10.1186/s13075-023-03253-x.
4
Sex-dependent variation in cartilage adaptation: from degeneration to regeneration.性别相关的软骨适应性变化:从退变到再生。
Biol Sex Differ. 2023 Apr 5;14(1):17. doi: 10.1186/s13293-023-00500-3.
5
Pathological Characteristics of Monosodium Iodoacetate-Induced Osteoarthritis in Rats.碘乙酸钠诱导大鼠骨关节炎的病理特征。
Tissue Eng Regen Med. 2023 Jun;20(3):435-446. doi: 10.1007/s13770-023-00520-5. Epub 2023 Feb 21.
6
Associations between serum biomarkers of cartilage metabolism and serum hyaluronic acid, with risk factors, pain categories, and disease severity in knee osteoarthritis: a pilot study.关节软骨代谢的血清生物标志物与血清透明质酸、膝关节骨关节炎的危险因素、疼痛类别和疾病严重程度的相关性:一项初步研究。
BMC Musculoskelet Disord. 2022 Mar 2;23(1):195. doi: 10.1186/s12891-022-05133-y.
7
An insight into osteoarthritis susceptibility: Integration of immunological and genetic background.骨关节炎易感性的研究进展:免疫与遗传背景的整合。
Bosn J Basic Med Sci. 2021 Apr 1;21(2):155-162. doi: 10.17305/bjbms.2020.4735.
8
The relationship between urinary C-Telopeptide fragments of type II collagen, knee joint load, pain, and physical function in individuals with medial knee osteoarthritis.膝关节内侧骨关节炎患者中II型胶原的尿C-端肽片段、膝关节负荷、疼痛与身体功能之间的关系。
Braz J Phys Ther. 2021 Jan-Feb;25(1):62-69. doi: 10.1016/j.bjpt.2020.02.002. Epub 2020 Feb 26.
9
Difference in Articular Degeneration Depending on the Type of Sport.根据运动类型的关节退变差异。
Rev Bras Ortop (Sao Paulo). 2019 Sep;54(5):509-515. doi: 10.1016/j.rboe.2018.02.012. Epub 2019 Oct 29.
10
Association of chemokine expression in anterior cruciate ligament deficient knee with patient characteristics: Implications for post-traumatic osteoarthritis.前交叉韧带损伤膝关节中趋化因子表达与患者特征的关联:对创伤后骨关节炎的影响
Knee. 2020 Jan;27(1):36-44. doi: 10.1016/j.knee.2019.10.014. Epub 2019 Nov 11.
鲑鱼降钙素口腔崩解片对骨关节炎患者骨与软骨降解的影响:一项为期 14 天的随机研究。
Osteoarthritis Cartilage. 2010 Feb;18(2):150-9. doi: 10.1016/j.joca.2009.08.004. Epub 2009 Sep 1.
4
Biochemical markers and the FDA Critical Path: how biomarkers may contribute to the understanding of pathophysiology and provide unique and necessary tools for drug development.生化标志物与美国食品药品监督管理局关键路径:生物标志物如何有助于理解病理生理学并为药物研发提供独特且必要的工具。
Biomarkers. 2009 May;14(3):181-202. doi: 10.1080/13547500902777608.
5
Influence of food intake on the bioavailability and efficacy of oral calcitonin.食物摄入对口服降钙素生物利用度和疗效的影响。
Br J Clin Pharmacol. 2009 Apr;67(4):413-20. doi: 10.1111/j.1365-2125.2009.03371.x.
6
A pharmacokinetic and pharmacodynamic comparison of synthetic and recombinant oral salmon calcitonin.合成型与重组型口服鲑鱼降钙素的药代动力学和药效学比较。
J Clin Pharmacol. 2009 Feb;49(2):229-34. doi: 10.1177/0091270008329552.
7
Investigation of the diurnal variation in bone resorption for optimal drug delivery and efficacy in osteoporosis with oral calcitonin.口服降钙素对骨质疏松症最佳药物递送和疗效的骨吸收昼夜变化研究。
BMC Clin Pharmacol. 2008 Dec 4;8:12. doi: 10.1186/1472-6904-8-12.
8
Tibolone inhibits bone resorption without secondary positive effects on cartilage degradation.替勃龙抑制骨吸收,且对软骨降解无继发性积极影响。
BMC Musculoskelet Disord. 2008 Nov 18;9:153. doi: 10.1186/1471-2474-9-153.
9
Osteoarthritis.骨关节炎
Best Pract Res Clin Rheumatol. 2008 Aug;22(4):657-75. doi: 10.1016/j.berh.2008.07.002.
10
Optimizing bioavailability of oral administration of small peptides through pharmacokinetic and pharmacodynamic parameters: the effect of water and timing of meal intake on oral delivery of Salmon Calcitonin.通过药代动力学和药效学参数优化口服小肽的生物利用度:水和进餐时间对鲑鱼降钙素口服给药的影响
BMC Clin Pharmacol. 2008 Sep 9;8:5. doi: 10.1186/1472-6904-8-5.