Suppr超能文献

手性 Pt/ZrO2 催化剂。1-苯基-1,2-丙二酮的对映选择性加氢。

Chiral Pt/ZrO2 catalysts. Enantioselective hydrogenation of 1-phenyl-1,2-propanedione.

机构信息

Facultad de Ciencias Químicas, Universidad de Concepción, Casilla 160-C, Concepción, Chile.

出版信息

Molecules. 2010 May 12;15(5):3428-40. doi: 10.3390/molecules15053428.

Abstract

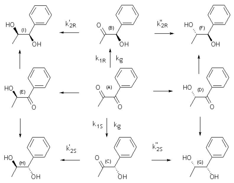
The enantioselective hydrogenation of 1-phenyl-1,2-propanedione over Pt colloids stabilized with (R,S)-4,5-dihydro-4,5-diphenyl-2-(6-cyanopyridinyl)imidazoline (CI) supported on a meso-structured ZrO(2) under a pressure of 40 bar of H(2) at 298 K has been investigated(.) The metal loading in all catalysts was 1 wt%. The effect of the amount of chiral modifier on the metal particle size and on the catalytic behavior was analyzed. It was found that as the CI/Pt molar ratio increases from 2.5 to 3.5 the Pt crystal size decreases from 3.0 to 1.8 nm. All catalysts were very active in the studied reaction, with the most active one being the catalyst with smaller Pt particles, whereas the selectivity is higher in those catalysts with larger chiral modified Pt metal particles.

摘要

在 298 K、40 bar H2 压力下,研究了(R,S)-4,5-二氢-4,5-二苯基-2-(6-氰基吡啶基)咪唑啉(CI)稳定的 Pt 胶体在介孔结构 ZrO2 上对 1-苯基-1,2-丙二酮的对映选择性加氢。(。)所有催化剂中的金属负载量均为 1wt%。分析了手性修饰剂的用量对金属颗粒尺寸和催化行为的影响。结果表明,随着 CI/Pt 摩尔比从 2.5 增加到 3.5,Pt 晶体尺寸从 3.0nm 减小到 1.8nm。所有催化剂在研究的反应中都非常活跃,最活跃的催化剂是 Pt 颗粒较小的催化剂,而选择性更高的是那些具有较大手性修饰 Pt 金属颗粒的催化剂。

https://cdn.ncbi.nlm.nih.gov/pmc/blobs/5d0c/6263364/b35e14ea9dd6/molecules-15-03428-g001.jpg

文献AI研究员

20分钟写一篇综述,助力文献阅读效率提升50倍。

立即体验

用中文搜PubMed

大模型驱动的PubMed中文搜索引擎

马上搜索

文档翻译

学术文献翻译模型,支持多种主流文档格式。

立即体验