Suppr超能文献

餐后不同大小的葡萄糖和脂肪餐引起的氧化应激。

Postprandial oxidative stress in response to dextrose and lipid meals of differing size.

机构信息

Cardiorespiratory/Metabolic Laboratory, Department of Health and Sport Sciences, University of Memphis, Memphis, TN, USA.

出版信息

Lipids Health Dis. 2010 Jul 27;9:79. doi: 10.1186/1476-511X-9-79.

Abstract

UNLABELLED

We have recently noted that ingestion of dietary lipid (in the form of heavy whipping cream) leads to greater oxidative stress than dietary carbohydrate (in the form of dextrose), when consumed in isocaloric amounts.

OBJECTIVE

In the present investigation we attempted to replicate our work and also to determine the oxidative stress response to dextrose and lipid meals of two different kilocalorie (kcal) amounts.

DESIGN

Nine young (22 +/- 2 years), healthy men consumed in a random order, cross-over design one of four meals/drinks: dextrose at 75 g (300 kcals), dextrose at 150 g (600 kcals), lipid at 33 g (300 kcals), lipid at 66 g (600 kcals). Blood samples were collected Pre meal, and at 30 min, 60 min, 120 min, and 180 min post meal. Samples were assayed for glucose, triglycerides (TAG), malondialdehyde (MDA), and hydrogen peroxide (H2O2). Area under the curve (AUC) was calculated for each variable, and a 4 x 5 ANOVA was utilized to further analyze data.

RESULTS

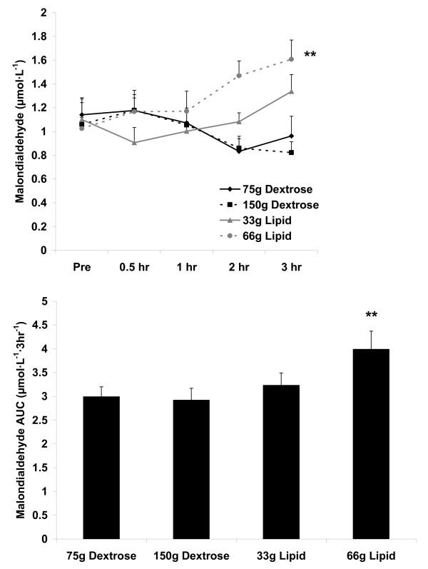
A meal x time effect (p = 0.0002) and a time effect was noted for glucose (p < 0.0001; 30 min > Pre, 1 hr, 2 hr, and 3 hr). The dextrose meals primarily contributed to this time effect. No other effects were noted for glucose (p > 0.05). A meal effect was noted for TAG (p = 0.01; 66 g lipid meal > 75 g and 150 g dextrose meals). No other effects were noted for TAG (p > 0.05). An AUC effect was noted for MDA (p = 0.04; 66 g lipid meal > 75 g and 150 g dextrose meals). A meal x time effect (p = 0.02) and a meal effect was noted for MDA (p = 0.004; 66 g lipid meal > 75 g and 150 g dextrose meals). No time effect was noted for MDA (p = 0.72). An AUC effect was noted for H2O2 (p = 0.0001; 66 g lipid meal > 33 g lipid meal and 75 g and 150 g dextrose meals). A meal x time effect (p = 0.0002), a meal effect (p < 0.0001; 66 g lipid meal > 33 g lipid meal and 75 g and 150 g dextrose meals), and a time effect was noted for H2O2 (p < 0.0001; 2 hr > Pre, 30 min, and 1 hr; 3 hr > Pre). The time effect for H2O2 was primarily influenced by the 66 g lipid meal.

CONCLUSIONS

These data indicate that 1) minimal oxidative stress is observed following ingestion of dextrose loads of either 75 g or 150 g, or a lipid load of 33 g and 2) lipid ingestion at 66 g leads to greater oxidative stress than lipid at 33 g or dextrose at either 75 g or 150 g. Hence, in a sample of young and healthy men, only 66 g of lipid (taken in the form of heavy whipping cream) leads to a significant increase in blood oxidative stress, as measured by MDA and H2O2.

摘要

目的

在本研究中,我们试图复制我们的工作,并确定两种不同热量(千卡)量的葡萄糖和脂质餐对氧化应激的反应。

方法

9 名年轻(22 ± 2 岁)、健康的男性以随机顺序、交叉设计的方式摄入以下四种餐/饮料之一:葡萄糖 75 克(300 千卡)、葡萄糖 150 克(600 千卡)、脂肪 33 克(300 千卡)、脂肪 66 克(600 千卡)。在餐前和餐后 30 分钟、60 分钟、120 分钟和 180 分钟采集血样。样品用于检测葡萄糖、甘油三酯(TAG)、丙二醛(MDA)和过氧化氢(H2O2)。计算每个变量的曲线下面积(AUC),并利用 4×5 ANOVA 进一步分析数据。

结果

葡萄糖出现了餐 x 时间效应(p = 0.0002)和时间效应(p < 0.0001;30 分钟>餐前、1 小时、2 小时和 3 小时)。葡萄糖餐主要导致了这种时间效应。葡萄糖没有其他影响(p > 0.05)。TAG 出现了餐效应(p = 0.01;66 g 脂质餐>75 g 和 150 g 葡萄糖餐)。TAG 没有其他影响(p > 0.05)。MDA 出现了 AUC 效应(p = 0.04;66 g 脂质餐>75 g 和 150 g 葡萄糖餐)。葡萄糖出现了餐 x 时间效应(p = 0.02)和餐效应(p = 0.004;66 g 脂质餐>75 g 和 150 g 葡萄糖餐)。MDA 没有时间效应(p = 0.72)。H2O2 出现了 AUC 效应(p = 0.0001;66 g 脂质餐>33 g 脂质餐和 75 g 和 150 g 葡萄糖餐)。H2O2 出现了餐 x 时间效应(p = 0.0002)、餐效应(p < 0.0001;66 g 脂质餐>33 g 脂质餐和 75 g 和 150 g 葡萄糖餐)和时间效应(p < 0.0001;2 小时>餐前、30 分钟和 1 小时;3 小时>餐前)。H2O2 的时间效应主要受 66 g 脂质餐的影响。

结论

这些数据表明,1)摄入 75 g 或 150 g 葡萄糖负荷或 33 g 脂肪负荷时,观察到最小的氧化应激,2)摄入 66 g 脂肪会导致比 33 g 脂肪或 75 g 或 150 g 葡萄糖更大的氧化应激。因此,在年轻健康男性的样本中,只有 66 g 的脂肪(以高脂奶油的形式摄入)会导致血液氧化应激显著增加,如 MDA 和 H2O2 所测量的。

https://cdn.ncbi.nlm.nih.gov/pmc/blobs/1091/2915990/73ed58b50b23/1476-511X-9-79-1.jpg

文献AI研究员

20分钟写一篇综述,助力文献阅读效率提升50倍。

立即体验

用中文搜PubMed

大模型驱动的PubMed中文搜索引擎

马上搜索

文档翻译

学术文献翻译模型,支持多种主流文档格式。

立即体验