Suppr超能文献

干扰素停药后,PR1 特异性 T 细胞与慢性髓系白血病细胞遗传学缓解的维持无关。

PR1-specific T cells are associated with unmaintained cytogenetic remission of chronic myelogenous leukemia after interferon withdrawal.

机构信息

Section of Transplant Immunology, Department of Blood and Marrow Transplantation, University of Texas M. D. Anderson Cancer Center, Houston, Texas, United States of America.

出版信息

PLoS One. 2010 Jul 26;5(7):e11770. doi: 10.1371/journal.pone.0011770.

Abstract

BACKGROUND

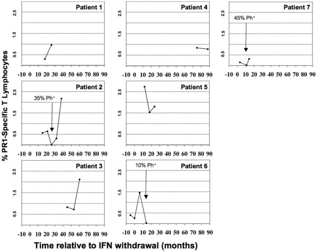
Interferon-alpha (IFN) induces complete cytogenetic remission (CCR) in 20-25% CML patients and in a small minority of patients; CCR persists after IFN is stopped. IFN induces CCR in part by increasing cytotoxic T lymphocytes (CTL) specific for PR1, the HLA-A2-restricted 9-mer peptide from proteinase 3 and neutrophil elastase, but it is unknown how CCR persists after IFN is stopped.

PRINCIPAL FINDINGS

We reasoned that PR1-CTL persist and mediate CML-specific immunity in patients that maintain CCR after IFN withdrawal. We found that PR1-CTL were increased in peripheral blood of 7/7 HLA-A2+ patients during unmaintained CCR from 3 to 88 months after IFN withdrawal, as compared to no detectable PR1-CTL in 2/2 IFN-treated CML patients not in CCR. Unprimed PR1-CTL secreted IFNgamma and were predominantly CD45RA+/-CD28+CCR7+CD57-, consistent with functional naïve and central memory (CM) T cells. Similarly, following stimulation, proliferation occurred predominantly in CM PR1-CTL, consistent with long-term immunity sustained by self-renewing CM T cells. PR1-CTL were functionally anergic in one patient 6 months prior to cytogenetic relapse at 26 months after IFN withdrawal, and in three relapsed patients PR1-CTL were undetectable but re-emerged 3-6 months after starting imatinib.

CONCLUSION

These data support the hypothesis that IFN elicits CML-specific CM CTL that may contribute to continuous CCR after IFN withdrawal and suggest a role for T cell immune therapy with or without tyrosine kinase inhibitors as a strategy to prolong CR in CML.

摘要

背景

干扰素-α(IFN)可诱导 20-25%的 CML 患者和极少数患者达到完全细胞遗传学缓解(CCR);IFN 停药后仍有 CCR 持续存在。IFN 通过增加针对蛋白酶 3 和中性粒细胞弹性蛋白酶的 HLA-A2 限制性 9 肽 PR1 的细胞毒性 T 淋巴细胞(CTL)在部分情况下诱导 CCR,但尚不清楚 IFN 停药后 CCR 如何持续存在。

主要发现

我们推断,在 IFN 停药后维持 CCR 的患者中,PR1-CTL 持续存在并介导 CML 特异性免疫。我们发现,与未接受 IFN 治疗且未达到 CCR 的 2/2 例 CML 患者相比,在 IFN 停药后 3 至 88 个月期间,7/7 HLA-A2+患者中有 7/7 例在未维持 CCR 期间外周血中 PR1-CTL 增加,而未检测到 PR1-CTL。未致敏的 PR1-CTL 分泌 IFNγ,并且主要为 CD45RA+/-CD28+CCR7+CD57-,与功能上的幼稚和中央记忆(CM)T 细胞一致。同样,在刺激后,增殖主要发生在 CM PR1-CTL 中,与由自我更新的 CM T 细胞维持的长期免疫一致。在 IFN 停药后 26 个月发生细胞遗传学复发前 6 个月的 1 例患者中,PR1-CTL 具有功能无反应性,在 3 例复发患者中,PR1-CTL 无法检测到,但在开始使用伊马替尼 3-6 个月后再次出现。

结论

这些数据支持这样的假设,即 IFN 可引发 CML 特异性 CM CTL,这可能有助于 IFN 停药后持续的 CCR,并提示 T 细胞免疫治疗联合或不联合酪氨酸激酶抑制剂作为延长 CML CR 的策略的作用。

https://cdn.ncbi.nlm.nih.gov/pmc/blobs/a9cd/2909896/be585d0579dd/pone.0011770.g001.jpg

文献AI研究员

20分钟写一篇综述,助力文献阅读效率提升50倍。

立即体验

用中文搜PubMed

大模型驱动的PubMed中文搜索引擎

马上搜索

文档翻译

学术文献翻译模型,支持多种主流文档格式。

立即体验