Suppr超能文献

基于甲氨蝶呤和核苷协同作用的抗癌缀合物与组合疗法。

Anticancer conjugates and cocktails based on methotrexate and nucleoside synergism.

作者信息

Vortherms Anthony R, Dang Hester N, Doyle Robert P

机构信息

Department of Chemistry, Syracuse University, Syracuse, NY 13244-4100, U.S.A.

出版信息

Clin Med Oncol. 2009 Mar 20;3:19-26. doi: 10.4137/cmo.s2113.

Abstract

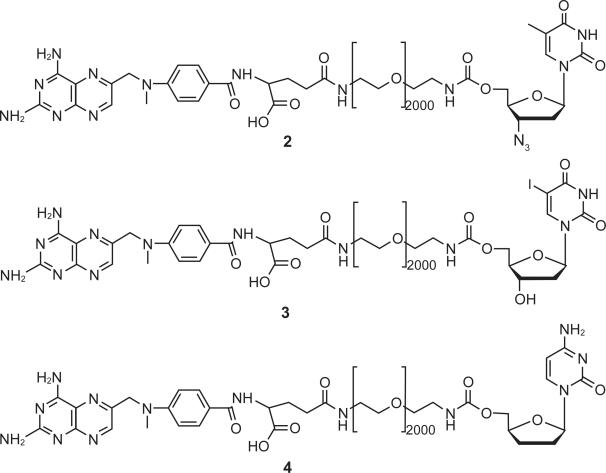
Conjugates of methotrexate (MTX) and the nucleoside analogs 3-azidodeoxythymidine (AZT), iododeoxyuridine (IUdR) and dideoxycytidine (ddC) linked using poly(ethyleneglycol) are presented. In vitro cytotoxicity assays of the conjugates against drug resistant ovarian cell line A2780/AD are preformed and comparisons made to such assays performed for unconjugated (cocktail) systems. All systems tested were inactive, or had low activity, at 24 h. After 72 hr incubation however, the cocktails of MTX and AZT, IUdR or ddC showed high cytotoxicity in the low nanomolar range. The conjugates were only very moderately active with IC(50) values in the [0.1 to 1.0 mM] range. Conjugation of the antifolate to the nucleoside analogs has it seems reduced the activity significantly when compared to a cocktail of the components, indicating a conjugate approach is unlikely to translate into success in vivo. The positive note comes from the observation that by combining two of the new conjugates, namely those based on MTX with IUdR or AZT, an IC50 at 24 hours of ~ [180 muM] was produced.

摘要

本文介绍了甲氨蝶呤(MTX)与核苷类似物3-叠氮脱氧胸苷(AZT)、碘脱氧尿苷(IUdR)和双脱氧胞苷(ddC)通过聚乙二醇连接而成的缀合物。对这些缀合物针对耐药卵巢癌细胞系A2780/AD进行了体外细胞毒性试验,并与未缀合(混合)系统的此类试验进行了比较。所有测试系统在24小时时均无活性或活性较低。然而,在孵育72小时后,MTX与AZT、IUdR或ddC的混合物在低纳摩尔范围内显示出高细胞毒性。缀合物的活性仅为中等程度,IC(50)值在[0.1至1.0 mM]范围内。与各组分的混合物相比,抗叶酸剂与核苷类似物的缀合似乎显著降低了活性,这表明缀合方法在体内不太可能取得成功。令人欣慰的是,通过将两种新的缀合物(即基于MTX与IUdR或AZT的缀合物)组合,在24小时时产生了约[180 μM]的IC50。

https://cdn.ncbi.nlm.nih.gov/pmc/blobs/5d29/2872594/54d4b3d8ea60/cmo-2009-019f1.jpg

文献AI研究员

20分钟写一篇综述,助力文献阅读效率提升50倍。

立即体验

用中文搜PubMed

大模型驱动的PubMed中文搜索引擎

马上搜索

文档翻译

学术文献翻译模型,支持多种主流文档格式。

立即体验