Suppr超能文献

改良非穿透性深层巩膜切除术治疗开角型青光眼合并或不合并白内障的效果

Results of a modified non-penetrating deep sclerectomy in the treatment of open angle glaucoma with or without cataract.

作者信息

Kitsos George, Aspiotis Miltiades, Alamanos Yannis, Psilas Konstantinos

机构信息

Department of Ophthalmology, Medical School, University of Ioannina, Ioannina, Greece.

出版信息

Clin Ophthalmol. 2010 Jul 30;4:695-701. doi: 10.2147/opth.s11903.

Abstract

PURPOSE

To present the technique of a modified deep sclerectomy, which we will call "reversed" deep sclerectomy (RDS) and the results and our observations of its use in patients with open angle glaucoma (OAG) and with or without cataract extraction (phacoemulsification).

MATERIALS AND METHODS

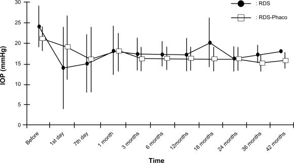
This prospective study included 132 eyes which underwent RDS: 37 eyes (group A) with uncontrolled OAG and 95 eyes (group B) with OAG and visually significant cataract. Mean pressure preoperatively for group A was 24.48 +/- 4.92 mmHg and for group B was 22.99 +/- 3.00. The mean number of antiglaucoma drugs received was 2.97 +/- 0.69 and 2.56 +/- 0.73 for groups A and B respectively. The RDS was performed where the deep scleral stroma is prepared in 2 parts, folded and inserted under the lateral sides of the sclerectomy, and the Schlemm's canal is opened prior to deep scleral stroma preparation. Cataract was extracted by phacoemulsification through the same scleral opening. The follow-up for group A was 22.23 +/- 10.18 months and for group B, 25.36 +/- 10.12 months.

RESULTS

Postoperative intraocular pressure (IOP) </= 21 mmHg was achieved for group A in 40.5% without antiglaucoma drugs and 94.6% with antiglaucoma drugs, and for group B in 66.3% and in 94.7% respectively. Mean IOP reduction was 7.02 +/- 6.35 mmHg (28.67%, P < 0.05) for group A and 5.26 +/- 3.72 mmHg (25.06%, P </= 0.05) for group B, while mean drug reduction was 1.97 +/- 1.09 (P < 0.01) and 2.14 +/- 0.95 (P </= 0.01) respectively. 5-Fluorouracil was used in 8 eyes of group A and in 5 eyes of group B.

CONCLUSION

In the follow-up time during which the two groups were under study, the RDS was effective with a few complications, similar to the classic deep sclerectomy using implants or not, with the advantage, in our opinion, of a short learning curve.

摘要

目的

介绍一种改良的深层巩膜切除术技术,我们将其称为“反向”深层巩膜切除术(RDS),并报告其在开角型青光眼(OAG)患者中应用(无论是否联合白内障摘除术(超声乳化术))的结果及观察情况。

材料与方法

这项前瞻性研究纳入了132只接受RDS手术的眼睛:37只眼睛(A组)为眼压控制不佳的开角型青光眼患者,95只眼睛(B组)为开角型青光眼合并有明显视力损害的白内障患者。A组术前平均眼压为24.48±4.92 mmHg,B组为22.99±3.00 mmHg。A组和B组接受抗青光眼药物治疗的平均数量分别为2.97±0.69种和2.56±·0.73种。RDS手术是将深层巩膜基质分成两部分进行制备,折叠后插入巩膜切除术两侧下方,在制备深层巩膜基质之前先打开施莱姆管。通过同一个巩膜切口进行超声乳化白内障摘除术。A组的随访时间为22.23±10.18个月,B组为25.36±10.12个月。

结果

A组在不使用抗青光眼药物的情况下,40.5%的患者术后眼压≤21 mmHg,使用抗青光眼药物时这一比例为94.6%;B组相应比例分别为66.3%和94.7%。A组平均眼压降低7.02±6.35 mmHg(28.67%,P<0.05),B组平均眼压降低5.26±3.72 mmHg(25.06%,P≤0.05),而平均药物减少量分别为1.97±1.09(P<0.01)和2.14±0.95(P≤0.01)。A组8只眼睛和B组5只眼睛使用了氟尿嘧啶。

结论

在对两组进行研究的随访期间,RDS手术效果良好,并发症较少,与使用或不使用植入物的经典深层巩膜切除术相似,我们认为其优点是学习曲线短。

https://cdn.ncbi.nlm.nih.gov/pmc/blobs/b31d/2915854/5b40dbb017b0/opth-4-695f1.jpg

文献AI研究员

20分钟写一篇综述,助力文献阅读效率提升50倍。

立即体验

用中文搜PubMed

大模型驱动的PubMed中文搜索引擎

马上搜索

文档翻译

学术文献翻译模型,支持多种主流文档格式。

立即体验