Suppr超能文献

血管紧张素 II 型 1 型受体诱导组蛋白 H2A 的改变揭示了 G 蛋白偶联受体对染色质重塑调控的新见解。

AT1 receptor induced alterations in histone H2A reveal novel insights into GPCR control of chromatin remodeling.

机构信息

Department of Molecular Cardiology, Cleveland Clinic Foundation, Cleveland, Ohio, United States of America.

出版信息

PLoS One. 2010 Sep 3;5(9):e12552. doi: 10.1371/journal.pone.0012552.

Abstract

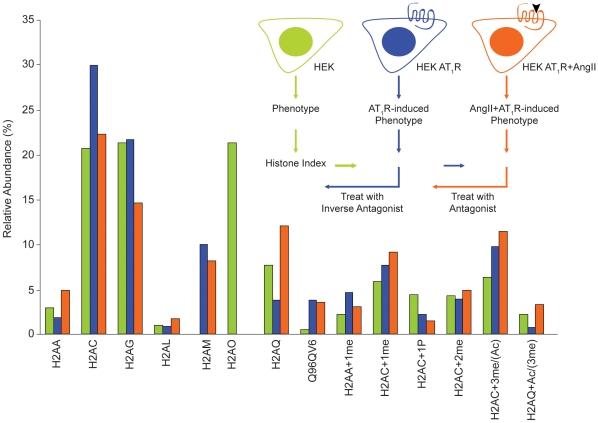
Chronic activation of angiotensin II (AngII) type 1 receptor (AT(1)R), a prototypical G protein-coupled receptor (GPCR) induces gene regulatory stress which is responsible for phenotypic modulation of target cells. The AT(1)R-selective drugs reverse the gene regulatory stress in various cardiovascular diseases. However, the molecular mechanisms are not clear. We speculate that activation states of AT(1)R modify the composition of histone isoforms and post-translational modifications (PTM), thereby alter the structure-function dynamics of chromatin. We combined total histone isolation, FPLC separation, and mass spectrometry techniques to analyze histone H2A in HEK293 cells with and without AT(1)R activation. We have identified eight isoforms: H2AA, H2AG, H2AM, H2AO, H2AQ, Q96QV6, H2AC and H2AL. The isoforms, H2AA, H2AC and H2AQ were methylated and H2AC was phosphorylated. The relative abundance of specific H2A isoforms and PTMs were further analyzed in relationship to the activation states of AT(1)R by immunochemical studies. Within 2 hr, the isoforms, H2AA/O exchanged with H2AM. The monomethylated H2AC increased rapidly and the phosphorylated H2AC decreased, thus suggesting that enhanced H2AC methylation is coupled to Ser1p dephosphorylation. We show that H2A125Kme1 promotes interaction with the heterochromatin associated protein, HP1α. These specific changes in H2A are reversed by treatment with the AT(1)R specific inhibitor losartan. Our analysis provides a first step towards an awareness of histone code regulation by GPCRs.

摘要

血管紧张素 II 型 1 型受体 (AT(1)R) 的慢性激活,一种典型的 G 蛋白偶联受体 (GPCR),会引起基因调控应激,从而导致靶细胞表型的调节。AT(1)R 选择性药物可逆转各种心血管疾病中的基因调控应激。然而,其分子机制尚不清楚。我们推测 AT(1)R 的激活状态会改变组蛋白同工型和翻译后修饰 (PTM) 的组成,从而改变染色质的结构-功能动力学。我们结合总组蛋白分离、FPLC 分离和质谱技术,分析了 AT(1)R 激活前后 HEK293 细胞中的组蛋白 H2A。我们已经鉴定出八种同工型:H2AA、H2AG、H2AM、H2AO、H2AQ、Q96QV6、H2AC 和 H2AL。同工型 H2AA、H2AC 和 H2AQ 被甲基化,H2AC 被磷酸化。通过免疫化学研究,进一步分析了特定 H2A 同工型和 PTM 与 AT(1)R 激活状态的关系。在 2 小时内,H2AA/O 与 H2AM 发生交换。单甲基化的 H2AC 迅速增加,磷酸化的 H2AC 减少,这表明增强的 H2AC 甲基化与 Ser1p 去磷酸化有关。我们表明 H2A125Kme1 促进与异染色质相关蛋白 HP1α 的相互作用。这些 H2A 的特定变化可通过 AT(1)R 特异性抑制剂洛沙坦的治疗得到逆转。我们的分析为了解 GPCR 对组蛋白密码调控提供了第一步认识。

https://cdn.ncbi.nlm.nih.gov/pmc/blobs/d2c9/2933232/677ef8f5c987/pone.0012552.g001.jpg

文献AI研究员

20分钟写一篇综述,助力文献阅读效率提升50倍。

立即体验

用中文搜PubMed

大模型驱动的PubMed中文搜索引擎

马上搜索

文档翻译

学术文献翻译模型,支持多种主流文档格式。

立即体验