Suppr超能文献

盐酸二甲双胍掩味缓释剂型的处方设计与体外评价

Formulation and In vitro Evaluation of Sustained Release Dosage Form with Taste Masking of Metformin Hydrochloride.

作者信息

Bhoyar P K, Biyani D M

机构信息

S. K. B. College of Pharmacy, New Kamptee, Nagpur-441 002, India.

出版信息

Indian J Pharm Sci. 2010 Mar;72(2):184-90. doi: 10.4103/0250-474X.65031.

Abstract

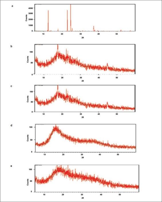
An attempt was made to sustain the release of metformin HCl as well as to mask the bitter taste by complexation technique using strong cation-exchange resins, indion 244 and indion 264. The drug loading onto ion-exchange resin was optimized for mixing time, activation, effect of pH, mode of mixing, ratio of drug:resin and temperature. The resinate was evaluated for micromeritic properties, taste masking and characterized using XRPD and IR. Using resinate sustained release tablets were formulated using hydoxypropylmethylcellulose K100M.The tablets were evaluated for hardness, thickness, friability, drug content, weight variation and in vitro drug release. Tablets thus formulated (Batch B-6) provided sustained release of drug over a period of 10 h with first order kinetics. The release of metformin HCl from resinate controls the diffusion of drug molecules through the polymeric material into aqueous medium. Results showed that metformin HCl was successfully taste masked and formulated into a sustained dosage form as an alternative to the conventional tablet.

摘要

尝试采用强阳离子交换树脂Indion 244和Indion 264,通过络合技术维持盐酸二甲双胍的释放并掩盖其苦味。针对混合时间、活化、pH值的影响、混合方式、药物与树脂的比例以及温度,对离子交换树脂上的药物负载进行了优化。对树脂酸盐的微观性质、掩味效果进行了评估,并使用X射线粉末衍射(XRPD)和红外光谱(IR)进行了表征。使用羟丙基甲基纤维素K100M制备了树脂酸盐缓释片。对片剂的硬度、厚度、脆碎度、药物含量、重量差异和体外药物释放进行了评估。如此制备的片剂(批次B-6)以一级动力学在10小时内实现了药物的缓释。盐酸二甲双胍从树脂酸盐中的释放控制了药物分子通过聚合材料扩散到水性介质中的过程。结果表明,盐酸二甲双胍成功实现了掩味,并被制成缓释剂型,作为传统片剂的替代品。

https://cdn.ncbi.nlm.nih.gov/pmc/blobs/3436/2929776/bf8bdfe97ad9/IJPhS-72-184-g001.jpg

文献AI研究员

20分钟写一篇综述,助力文献阅读效率提升50倍。

立即体验

用中文搜PubMed

大模型驱动的PubMed中文搜索引擎

马上搜索

文档翻译

学术文献翻译模型,支持多种主流文档格式。

立即体验