Suppr超能文献

二维斑点追踪技术测量慢性血栓栓塞性肺动脉高压患者肺动脉血栓内膜剥脱术前、后的左心室应变及应变率

Left ventricular strain and strain rate by 2D speckle tracking in chronic thromboembolic pulmonary hypertension before and after pulmonary thromboendarterectomy.

作者信息

Olson Nicholas, Brown Jason P, Kahn Andrew M, Auger William R, Madani Michael M, Waltman Thomas J, Blanchard Daniel G

机构信息

Division of Cardiology, University of California San Diego Medical Center, 200 W. Arbor Drive, San Diego, CA 92103, USA.

出版信息

Cardiovasc Ultrasound. 2010 Sep 27;8:43. doi: 10.1186/1476-7120-8-43.

Abstract

BACKGROUND

Echocardiographic evaluation of left ventricular (LV) strain and strain rate (SR) by 2D speckle tracking may be useful tools to assess chronic thromboembolic pulmonary hypertension (CTEPH) severity as well as response to successful pulmonary thromboendarterectomy (PTE).

METHODS

We evaluated 30 patients with CTEPH before and after PTE using 2D speckle tracking measurements of LV radial and circumferential strain and SR in the short axis, and correlated the data with right heart catheterization (RHC).

RESULTS

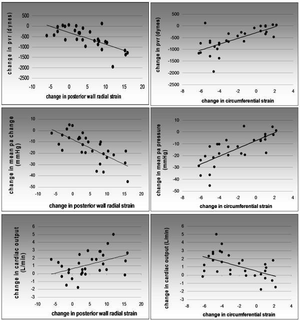
PTE resulted in a decrease in mean PA pressure (44 ± 15 to 29 ± 9 mmHg), decrease in PVR (950 ± 550 to 31 ± 160 [dyne-sec]/cm⁵), and an increase in cardiac output (3.9 ± 1.0 to 5.0 ± 1.0 L/min, p < 0.001 for all). Circumferential and posterior wall radial strain changed by -11% and +15% respectively (p < 0.001 for both). Circumferential SR and posterior wall radial SR changed by -7% and 6% after PTE. While the increase in posterior wall SR with PTE reached statistical significance (p = 0.04) circumferential SR did not (p = 0.07). In addition, septal radial strain and SR did not change significantly after PTE (p = 0.1 and 0.8 respectively). Linear regression analyses of circumferential and posterior wall radial strain and SR revealed little correlation between strain/SR measurements and PVR, mean PA pressure, or cardiac output. However, change in circumferential strain and change in posterior wall radial strain correlated moderately well with changes in PVR, mean PA pressure and cardiac output (r = 0.69, 0.76, and 0.51 for circumferential strain [p < 0.001 for all] and r = 0.7, 0.7, 0.45 for posterior wall radial strain [p = 0.001, 0.001, and 0.02, respectively]).

CONCLUSIONS

LV circumferential and posterior wall radial strain change after relief of pulmonary arterial obstruction in patients with CTEPH, and these improvements occur rapidly. These changes in LV strain may reflect effects from improved LV diastolic filling, and may be useful non-invasive markers of successful PTE.

摘要

背景

二维斑点追踪技术对左心室(LV)应变和应变率(SR)进行超声心动图评估,可能是评估慢性血栓栓塞性肺动脉高压(CTEPH)严重程度以及成功实施肺动脉血栓内膜剥脱术(PTE)后反应的有用工具。

方法

我们使用二维斑点追踪技术对30例CTEPH患者在PTE前后进行左心室短轴径向和圆周应变及SR测量,并将数据与右心导管检查(RHC)结果相关联。

结果

PTE导致平均肺动脉压降低(从44±15降至29±9 mmHg),肺血管阻力降低(从950±550降至31±160 [达因-秒]/cm⁵),心输出量增加(从3.9±1.0升至5.0±1.0 L/min,所有指标p<0.001)。圆周应变和后壁径向应变分别变化了-11%和+15%(两者p<0.001)。PTE后圆周SR和后壁径向SR分别变化了-7%和6%。虽然PTE后后壁SR的增加达到统计学显著性(p = 0.04),但圆周SR未达到(p = 0.07)。此外,PTE后室间隔径向应变和SR无显著变化(分别为p = 0.1和0.8)。圆周应变和后壁径向应变及SR的线性回归分析显示,应变/SR测量值与肺血管阻力、平均肺动脉压或心输出量之间几乎没有相关性。然而,圆周应变变化和后壁径向应变变化与肺血管阻力、平均肺动脉压和心输出量变化中度相关(圆周应变的r = 0.69、0.76和0.51 [所有p<0.001],后壁径向应变的r = 0.7、0.7和0.45 [分别为p = 0.001、0.001和0.02])。

结论

CTEPH患者肺动脉梗阻解除后,左心室圆周应变和后壁径向应变发生变化,且这些改善迅速出现。左心室应变的这些变化可能反映了左心室舒张期充盈改善的影响,可能是PTE成功的有用非侵入性标志物。

https://cdn.ncbi.nlm.nih.gov/pmc/blobs/6222/2955577/53521aa3df7a/1476-7120-8-43-1.jpg

文献AI研究员

20分钟写一篇综述,助力文献阅读效率提升50倍。

立即体验

用中文搜PubMed

大模型驱动的PubMed中文搜索引擎

马上搜索

文档翻译

学术文献翻译模型,支持多种主流文档格式。

立即体验