Department of Chemistry, Graduate School of Science, Kobe University, 1-1 Rokkodai-cho, Nada-ku, Kobe, Hyogo 657-8501, Japan.
J Biomed Sci. 2010 Dec 4;17(1):90. doi: 10.1186/1423-0127-17-90.
Cytochrome b5 performs central roles in various biological electron transfer reactions, where difference in the redox potential of two reactant proteins provides the driving force. Redox potentials of cytochromes b5 span a very wide range of ~400 mV, in which surface charge and hydrophobicity around the heme moiety are proposed to have crucial roles based on previous site-directed mutagenesis analyses.
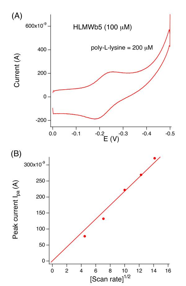
Effects of mutations at conserved hydrophobic amino acid residues consisting of the heme pocket of cytochrome b5 were analyzed by EPR and electrochemical methods. Cyclic voltammetry of the heme-binding domain of human cytochrome b5 (HLMWb5) and its site-directed mutants was conducted using a gold electrode pre-treated with β-mercarptopropionic acid by inclusion of positively-charged poly-L-lysine. On the other hand, static midpoint potentials were measured under a similar condition.
Titration of HLMWb5 with poly-L-lysine indicated that half-wave potential up-shifted to -19.5 mV when the concentration reached to form a complex. On the other hand, midpoint potentials of -3.2 and +16.5 mV were obtained for HLMWb5 in the absence and presence of poly-L-lysine, respectively, by a spectroscopic electrochemical titration, suggesting that positive charges introduced by binding of poly-L-lysine around an exposed heme propionate resulted in a positive shift of the potential. Analyses on the five site-specific mutants showed a good correlation between the half-wave and the midpoint potentials, in which the former were 16~32 mV more negative than the latter, suggesting that both binding of poly-L-lysine and hydrophobicity around the heme moiety regulate the overall redox potentials.
Present study showed that simultaneous measurements of the midpoint and the half-wave potentials could be a good evaluating methodology for the analyses of static and dynamic redox properties of various hemoproteins including cytochrome b5. The potentials might be modulated by a gross conformational change in the tertiary structure, by a slight change in the local structure, or by a change in the hydrophobicity around the heme moiety as found for the interaction with poly-L-lysine. Therefore, the system consisting of cytochrome b5 and its partner proteins or peptides might be a good paradigm for studying the biological electron transfer reactions.
细胞色素 b5 在各种生物电子传递反应中发挥核心作用,其中两个反应蛋白的氧化还原电位差提供驱动力。细胞色素 b5 的氧化还原电位跨度非常大,约为 400 mV,基于先前的定点突变分析,提出了血红素部分周围的表面电荷和疏水性起关键作用。
通过 EPR 和电化学方法分析了由细胞色素 b5 血红素口袋组成的保守疏水性氨基酸残基突变的影响。使用β-巯基丙酸预处理的金电极通过包含正电荷的聚-L-赖氨酸对人细胞色素 b5(HLMWb5)及其定点突变体的血红素结合结构域进行循环伏安法。另一方面,在类似条件下测量静态中点电位。
HLMWb5 与聚-L-赖氨酸的滴定表明,当浓度达到形成复合物时,半波电位向-19.5 mV 偏移。另一方面,通过光谱电化学滴定,在不存在和存在聚-L-赖氨酸的情况下,HLMWb5 的中点电位分别为-3.2 和+16.5 mV,表明结合聚-L-赖氨酸周围暴露的血红素丙酸酯引入的正电荷导致电位正移。对五个定点突变体的分析表明,半波电位和中点电位之间存在良好的相关性,其中前者比后者负 16~32 mV,表明聚-L-赖氨酸的结合和血红素部分周围的疏水性都调节了整体氧化还原电位。
本研究表明,同时测量中点和半波电位可以成为分析各种包括细胞色素 b5 在内的血红素蛋白的静态和动态氧化还原性质的良好评估方法。电位可能会通过三级结构的整体构象变化、局部结构的微小变化或血红素部分周围疏水性的变化而发生变化,如与聚-L-赖氨酸的相互作用所示。因此,细胞色素 b5 与其伴侣蛋白或肽组成的系统可能是研究生物电子传递反应的良好范例。