Suppr超能文献

(4R)-4-[(1R)-1,2-Dihydroxy-ethyl]-1-[(1R)-1-phenyl-ethyl]pyrrolidin-2-one.

作者信息

Blaser Adrian, Boyd Peter D W

出版信息

Acta Crystallogr Sect E Struct Rep Online. 2008 Aug 30;64(Pt 9):o1851. doi: 10.1107/S1600536808027293.

Abstract

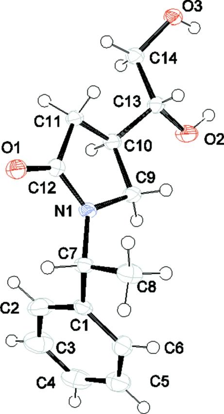
The title compound, C(14)H(19)NO(3), was obtained as one of the two isomers of a Sharpless asymmetric dihydroxy-lation reaction of (1S)-1-[(1R)-1-phenyl-ethyl]-4-vinyl-pyrrolidin-2-one. The absolute stereochemistry of this isomer was determined from the known stereochemistry (R) at the bridge C atom between the phenyl and pyrrolidine rings. The mol-ecules form one-dimensional tapes along the b axis via hydrogen bonding between the carbonyl O atom and the alcohol groups of neighbouring mol-ecules. These assemble into sheets via inter-digitative stacking of the phenyl rings and C-H⋯O inter-actions.

摘要
https://cdn.ncbi.nlm.nih.gov/pmc/blobs/07ef/2960542/971be93f5126/e-64-o1851-fig1.jpg

相似文献

1
(4R)-4-[(1R)-1,2-Dihydroxy-ethyl]-1-[(1R)-1-phenyl-ethyl]pyrrolidin-2-one.
Acta Crystallogr Sect E Struct Rep Online. 2008 Aug 30;64(Pt 9):o1851. doi: 10.1107/S1600536808027293.
2
Crystal structures of three N-(aryl-sulfon-yl)-4-fluoro-benzamides.
Acta Crystallogr E Crystallogr Commun. 2016 Mar 31;72(Pt 4):575-82. doi: 10.1107/S2056989016005089. eCollection 2016 Apr 1.
3
Crystal structure of phenyl -(3,5-di-methyl-phenyl)carbamate.
Acta Crystallogr E Crystallogr Commun. 2017 May 12;73(Pt 6):849-852. doi: 10.1107/S2056989017006922. eCollection 2017 Jun 1.
4
Crystal structure of 2,5-dimethyl-3-(2-methyl-phenyl-sulfon-yl)-1-benzo-furan.
Acta Crystallogr Sect E Struct Rep Online. 2014 Oct 24;70(Pt 11):o1181-2. doi: 10.1107/S1600536814022788. eCollection 2014 Nov 1.
5
{5,5'-Dihydr-oxy-2,2'-[o-phenyl-enebis-(nitrilo-methyl-idyne)]diphenolato}nickel(II) dihydrate.
Acta Crystallogr Sect E Struct Rep Online. 2008 Aug 16;64(Pt 9):m1181-2. doi: 10.1107/S1600536808026093.
7
N'-[(E)-1-Phenyl-ethyl-idene]benzo-hydrazide.
Acta Crystallogr Sect E Struct Rep Online. 2008 Sep 20;64(Pt 10):o1961-2. doi: 10.1107/S1600536808029218.
8
(1R,2R)-4-Benzoyl-2-benzo-yloxy-1-phenyl-butyl imidazole-1-carboxyl-ate.
Acta Crystallogr Sect E Struct Rep Online. 2008 Feb 22;64(Pt 3):o619. doi: 10.1107/S1600536808004364.
9
Crystal structure of 1'-ethyl-spiro[chroman-4,4'-imidazolidine]-2',5'-dione: a hydantoine derivative.
Acta Crystallogr E Crystallogr Commun. 2015 Sep 12;71(Pt 10):o705-6. doi: 10.1107/S2056989015016175. eCollection 2015 Oct 1.
10
(3R*,4R*,5S*)-4-(4-Methyl-phen-yl)-2,3-diphenyl-7-[(R*)-1-phenyl-ethyl]-1-oxa-2,7-diaza-spiro-[4.5]decan-10-one oxime.
Acta Crystallogr Sect E Struct Rep Online. 2008 Feb 15;64(Pt 3):o590. doi: 10.1107/S1600536808004121.

本文引用的文献

1
A short history of SHELX.
Acta Crystallogr A. 2008 Jan;64(Pt 1):112-22. doi: 10.1107/S0108767307043930. Epub 2007 Dec 21.

文献AI研究员

20分钟写一篇综述,助力文献阅读效率提升50倍。

立即体验

用中文搜PubMed

大模型驱动的PubMed中文搜索引擎

马上搜索

文档翻译

学术文献翻译模型,支持多种主流文档格式。

立即体验