Suppr超能文献

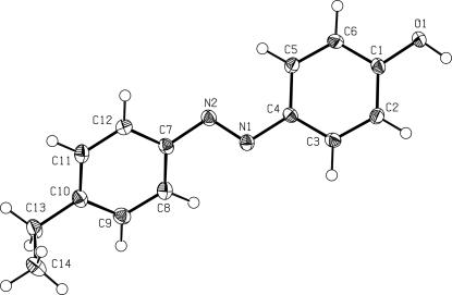
4-(4-Ethyl-phenyl-diazen-yl)phenol.

作者信息

de Wit Joost, Alberda van Ekenstein Gert O R, Brinke Gerrit Ten, Meetsma Auke

出版信息

Acta Crystallogr Sect E Struct Rep Online. 2008 May 10;64(Pt 6):o1048. doi: 10.1107/S160053680801338X.

Abstract

The crystal structure of the title compound, C(14)H(14)N(2)O, determined at 100 K, shows that the mol-ecules are not planar in the solid state, in contrast to other diazene (azobenzene) derivatives. The dihedral angle between the planes of the two aromatic rings is 42.32 (7)°. The mol-ecules are linked by inter-molecular O-H⋯N hydrogen bonds, forming an infinite one-dimensional chain.

摘要
https://cdn.ncbi.nlm.nih.gov/pmc/blobs/5063/2961569/49154b898429/e-64-o1048-fig1.jpg

文献AI研究员

20分钟写一篇综述,助力文献阅读效率提升50倍。

立即体验

用中文搜PubMed

大模型驱动的PubMed中文搜索引擎

马上搜索

文档翻译

学术文献翻译模型,支持多种主流文档格式。

立即体验