Suppr超能文献

用于口腔给药的卡波姆934-海藻酸钠-明胶黏附性昂丹司琼片:pH调节剂的作用

Carbopol 934-Sodium Alginate-Gelatin Mucoadhesive Ondansetron Tablets for Buccal Delivery: Effect of pH Modifiers.

作者信息

Kotagale N R, Patel C J, Parkhe A P, Khandelwal H M, Taksande J B, Umekar M J

机构信息

Smt. Kishoritai Bhoyar College of Pharmacy, Behind Railway Station, New Kamptee, Dist. Nagpur, Maharashtra - 441 002, India.

出版信息

Indian J Pharm Sci. 2010 Jul;72(4):471-9. doi: 10.4103/0250-474X.73912.

Abstract

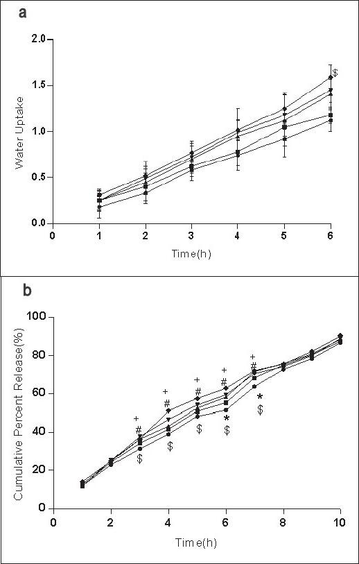
The present work aims at developing mucoahesive tablets of ondansetron hydrochloride using bioadhesive polymers like carbopol-934, sodium alginate and gelatin. Tablets prepared by direct compression using different polymer with varying ratio were evaluated for hardness, friability, uniformity of weight, disintegration time, microenvironmental pH, bioadhesion and in vitro release. Hardness, friability disintegration time and drug release were found within pharmacopoeial limit. Microenvironmental pH decreased whereas bioadhesive strength, water uptake, and in vitro release increased with increase in carbopol-934. Increasing sodium alginate and gelatin increased the microenviromental pH and decreased bioadhesive strength, water uptake and in vitro release. With a view to investigate the modulation of drug release from formulation by addition of pH modifiers viz. citric acid and sodium bicarbonate, the tablets with carbopol-934 (2.0), sodium alginate (0.5) and gelatin (6.5) were used and the effect of pH modifiers on microenvironmental pH, bioadhesion, water uptake, in vitro permeation and in vitro release was studied. Microenvironmental pH, bioadhesive strength, water uptake, in vitro release and permeation decreased with increasing concentration of citric acid whereas microenvironmental pH, water uptake and release were enhanced and bioadhesive strength was lowered with increase in sodium bicarbonate. Present study demonstrates carbopol-934, sodium alginate, gelatin polymer system with added pH modifier can be successfully formulated for buccal delivery of ondansetron with desired release profile.

摘要

本研究旨在使用卡波姆-934、海藻酸钠和明胶等生物粘附性聚合物开发盐酸昂丹司琼粘膜粘附片。使用不同比例的不同聚合物通过直接压片制备的片剂,对其硬度、脆碎度、重量均匀度、崩解时间、微环境pH值、生物粘附性和体外释放进行了评估。发现硬度、脆碎度、崩解时间和药物释放均在药典规定的范围内。随着卡波姆-934用量的增加,微环境pH值降低,而生物粘附强度、吸水量和体外释放增加。海藻酸钠和明胶用量的增加会使微环境pH值升高,并降低生物粘附强度、吸水量和体外释放。为了研究通过添加pH调节剂(即柠檬酸和碳酸氢钠)对制剂药物释放的调节作用,使用了含有卡波姆-934(2.0)、海藻酸钠(0.5)和明胶(6.5)的片剂,并研究了pH调节剂对微环境pH值、生物粘附性、吸水量、体外渗透和体外释放的影响。随着柠檬酸浓度的增加,微环境pH值、生物粘附强度、吸水量、体外释放和渗透均降低,而随着碳酸氢钠用量的增加,微环境pH值、吸水量和释放增加,生物粘附强度降低。本研究表明,添加pH调节剂的卡波姆-934、海藻酸钠、明胶聚合物体系可成功用于制备具有所需释放曲线的盐酸昂丹司琼口腔给药制剂。

https://cdn.ncbi.nlm.nih.gov/pmc/blobs/9411/3013565/a78c9dfb3230/IJPhS-72-471-g001.jpg

文献AI研究员

20分钟写一篇综述,助力文献阅读效率提升50倍。

立即体验

用中文搜PubMed

大模型驱动的PubMed中文搜索引擎

马上搜索

文档翻译

学术文献翻译模型,支持多种主流文档格式。

立即体验