Suppr超能文献

3-乙酰氧基-2-氰基-2-(烷基氨甲酰基)丙基作为核苷 5′-单磷酸酯的可生物降解保护基。

3-Acetyloxy-2-cyano-2-(alkylaminocarbamoyl)propyl groups as biodegradable protecting groups of nucleoside 5´-mono-phosphates.

机构信息

Department of Chemistry, University of Turku, FIN-20014 Turku, Finland.

出版信息

Molecules. 2011 Jan 14;16(1):552-66. doi: 10.3390/molecules16010552.

Abstract

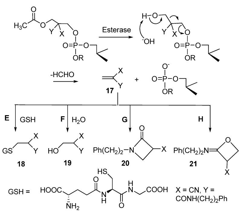
Thymidine 5´-bis[3-acetyloxy-2-cyano-2-(2-phenylethylcarbamoyl)propyl]phosphate (1) has been prepared and the removal of phosphate protecting groups by hog liver carboxyesterase (HLE) at pH 7.5 and 37 °C has been followed by HPLC. The first detectable intermediates are the (R(P))- and (S(P))-diastereomers of the monodeacetylated triester 14, which subsequently undergo concurrent retro-aldol condensation to diester 4 and enzyme-catalyzed hydrolysis to the fully deacetylated triester 15. The former pathway predominates, representing 90% of the overall breakdown of 14. The diester 4 undergoes the enzymatic deacetylation 700 times less readily than the triester, but gives finally thymidine 5´-monophosphate as the desired main product. To elucidate the potential toxicity of the electrophilic 2-cyano-N-(2-phenylethyl)acrylamideby-product 17 released upon the deprotection, the hydrolysis of 1 has also been studied in the presence of glutathione (GSH).

摘要

5'-双[3-乙酰氧基-2-氰基-2-(2-苯乙基氨甲酰基)丙基]胸苷磷酸盐(1)已被制备,通过 Hog 肝羧肽酶(HLE)在 pH 7.5 和 37°C 下去除磷酸酯保护基团已通过 HPLC 进行了跟踪。第一个可检测到的中间体是单去乙酰化三酯 14 的(R(P))-和(S(P))-非对映异构体,随后它们通过同时进行的 retro-aldol 缩合生成二酯 4 和酶催化水解生成完全去乙酰化的三酯 15。前一种途径占主导地位,代表 14 总分解的 90%。二酯 4 经历酶去乙酰化的速度比三酯慢 700 倍,但最终作为所需的主要产物释放胸腺嘧啶 5'-单磷酸。为了阐明在去保护时释放的亲电 2-氰基-N-(2-苯乙基)丙烯酰胺副产物 17 的潜在毒性,也研究了 1 在谷胱甘肽(GSH)存在下的水解情况。

https://cdn.ncbi.nlm.nih.gov/pmc/blobs/066b/6259260/e3358f108492/molecules-16-00552-g001.jpg

文献AI研究员

20分钟写一篇综述,助力文献阅读效率提升50倍。

立即体验

用中文搜PubMed

大模型驱动的PubMed中文搜索引擎

马上搜索

文档翻译

学术文献翻译模型,支持多种主流文档格式。

立即体验