Laboratory of Vaccinology and Mucosal Immunity, Université Libre de Bruxelles (U,L,B,), Brussels, Belgium.
Respir Res. 2011 Jan 24;12(1):15. doi: 10.1186/1465-9921-12-15.
Type II alveolar epithelial cells (AECII) are well known for their role in the innate immune system. More recently, it was proposed that they could play a role in the antigen presentation to T lymphocytes but contradictory results have been published both concerning their surface expressed molecules and the T lymphocyte responses in mixed lymphocyte cultures. The use of either AECII cell line or fresh cells could explain the observed discrepancies. Thus, this study aimed at defining the most relevant model of accessory antigen presenting cells by carefully comparing the two models for their expression of surface molecules necessary for efficient antigen presentation.
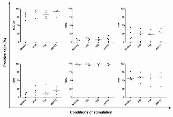
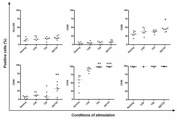
We have compared by flow cytometry the surface expression of the major markers involved in the immunological synapse on the A549 cell line, the most popular model of type II alveolar epithelial cells, and freshly isolated cells. HLA-DR, CD80, CD86, ICOS-L, CD54, CD58 surface expression were studied in resting conditions as well as after IFN-γ/TNF-α treatment, two inflammatory cytokines, known to modulate some of these markers.
The major difference found between the two cells types was the very low surface expression of HLA-DR on the A549 cell line compared to its constitutive expression on freshly isolated AECII. The surface expression of co-stimulatory molecules from the B7 family was very low for the CD86 (B7-2) and ICOS-L (B7-H2) and absent for CD80 (B7-1) on both freshly isolated cells and A549 cell line. Neither IFN-γ nor TNF-α could increase the expression of these classical co-stimulatory molecules. However CD54 (ICAM-1) and CD58 (LFA-3) adhesion molecules, known to be implicated in B7 independent co-stimulatory signals, were well expressed on the two cell types.
Constitutive expression of MHC class I and II molecules as well as alternative co-stimulatory molecules by freshly isolated AECII render these cells a good model to study antigen presentation.
II 型肺泡上皮细胞(AECII)以其在先天免疫系统中的作用而闻名。最近,有人提出它们可能在抗原呈递给 T 淋巴细胞方面发挥作用,但关于它们表面表达的分子以及混合淋巴细胞培养中的 T 淋巴细胞反应,已经发表了相互矛盾的结果。使用 AECII 细胞系或新鲜细胞可以解释观察到的差异。因此,本研究旨在通过仔细比较两种模型来定义最相关的辅助抗原呈递细胞模型,比较这两种模型在有效抗原呈递所需的表面分子表达方面的差异。
我们通过流式细胞术比较了 A549 细胞系(最受欢迎的 II 型肺泡上皮细胞模型)和新鲜分离细胞表面分子的表达,这些分子涉及免疫突触。在静息状态以及 IFN-γ/TNF-α 处理(两种已知调节其中一些标志物的炎症细胞因子)后,研究了 HLA-DR、CD80、CD86、ICOS-L、CD54 和 CD58 的表面表达。
在两种细胞类型之间发现的主要差异是 A549 细胞系上 HLA-DR 的表面表达非常低,而新鲜分离的 AECII 上则存在固有表达。B7 家族的共刺激分子表面表达非常低,对于 CD86(B7-2)和 ICOS-L(B7-H2),而对于 CD80(B7-1),无论是新鲜分离的细胞还是 A549 细胞系均不存在。IFN-γ 和 TNF-α 均不能增加这些经典共刺激分子的表达。然而,已知参与 B7 非依赖性共刺激信号的粘附分子 CD54(ICAM-1)和 CD58(LFA-3)在两种细胞类型上均有良好表达。
新鲜分离的 AECII 组成性表达 MHC Ⅰ类和Ⅱ类分子以及替代共刺激分子,使其成为研究抗原呈递的良好模型。