• 文献检索
  • 文档翻译
  • 深度研究
  • 学术资讯
  • Suppr Zotero 插件Zotero 插件
  • 邀请有礼
  • 套餐&价格
  • 历史记录
应用&插件
Suppr Zotero 插件Zotero 插件浏览器插件Mac 客户端Windows 客户端微信小程序
定价
高级版会员购买积分包购买API积分包
服务
文献检索文档翻译深度研究API 文档MCP 服务
关于我们
关于 Suppr公司介绍联系我们用户协议隐私条款
关注我们

Suppr 超能文献

核心技术专利:CN118964589B侵权必究
粤ICP备2023148730 号-1Suppr @ 2026

文献检索

告别复杂PubMed语法,用中文像聊天一样搜索,搜遍4000万医学文献。AI智能推荐,让科研检索更轻松。

立即免费搜索

文件翻译

保留排版,准确专业,支持PDF/Word/PPT等文件格式,支持 12+语言互译。

免费翻译文档

深度研究

AI帮你快速写综述,25分钟生成高质量综述,智能提取关键信息,辅助科研写作。

立即免费体验

羟基自由基诱导的犬和兔心房与心室心肌损伤的效应。

Effects of hydroxyl radical induced-injury in atrial versus ventricular myocardium of dog and rabbit.

机构信息

Department of Physiology and Cell Biology, College of Medicine, The Ohio State University Columbus, OH, USA.

出版信息

Front Physiol. 2010 Sep 30;1:25. doi: 10.3389/fphys.2010.00025. eCollection 2010.

DOI:10.3389/fphys.2010.00025
PMID:21423367
原文链接:https://pmc.ncbi.nlm.nih.gov/articles/PMC3059949/
Abstract

UNLABELLED

Despite the widespread use of ventricular tissue in the investigation involving hydroxyl radical Aim: (OH*) injury, one of the most potent mediators in ischemia-reperfusion injury, little is known about the impact on atrial myocardium. In this study we thus compared the OH*-induced injury response between atrial and right ventricular muscles from both rabbits and dogs under identical experimental conditions.

METHODS

Small, contracting ventricular and atrial rabbit and dog trabeculae were directly exposed to OH*, and contractile properties were examined and quantified.

RESULTS

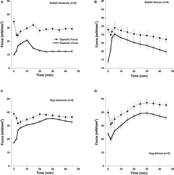
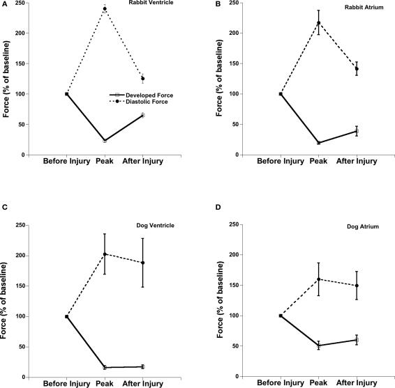
A brief OH* exposure led to transient rigor like contracture with marked elevation of diastolic tension and depression of developed force. Although the injury response showed similarities between atrial and ventricular myocardium, there were significant differences as well. In rabbit atrial muscles, the development of the contracture and its peak was much faster as compared to ventricular muscles. Also, at the peak of contracture, both rabbit and dog atrial muscles show a lesser degree of contractile dysfunction.

CONCLUSION

These results indicate that both atrial and ventricular muscles develop a rigor-like contracture after acute OH*-induced injury, and atrial muscles showed a lesser degree of contractile dysfunction. Comparison of dog versus rabbit tissue shows that the response was similar in magnitude, but slower to develop in dog tissue.

摘要

目的

尽管羟基自由基(OH*)损伤是缺血再灌注损伤中最有效的介质之一,但在涉及到 OH损伤的研究中,人们对心房心肌的影响知之甚少。因此,在相同的实验条件下,本研究比较了兔和犬的心房和右心室肌肉的 OH诱导损伤反应。

方法

直接将收缩的兔和犬心室和心房小梁暴露于 OH*中,并检查和量化收缩性能。

结果

短暂的 OH*暴露导致短暂的僵硬性收缩,伴有明显的舒张张力升高和收缩力下降。尽管心房和心室心肌的损伤反应具有相似性,但也存在显著差异。与心室肌肉相比,兔心房肌肉的收缩和收缩峰值更快。此外,在收缩峰值时,兔和犬的心房肌肉显示出较小程度的收缩功能障碍。

结论

这些结果表明,急性 OH*诱导损伤后,心房和心室肌肉均会发生僵硬性收缩,并且心房肌肉显示出较小程度的收缩功能障碍。犬与兔组织的比较表明,反应的幅度相似,但在犬组织中发展较慢。

https://cdn.ncbi.nlm.nih.gov/pmc/blobs/124b/3059949/e8740718615d/fphys-01-00025-g005.jpg
https://cdn.ncbi.nlm.nih.gov/pmc/blobs/124b/3059949/403d09c15838/fphys-01-00025-g001.jpg
https://cdn.ncbi.nlm.nih.gov/pmc/blobs/124b/3059949/8325b553655d/fphys-01-00025-g002.jpg
https://cdn.ncbi.nlm.nih.gov/pmc/blobs/124b/3059949/4a77451e2a6c/fphys-01-00025-g003.jpg
https://cdn.ncbi.nlm.nih.gov/pmc/blobs/124b/3059949/48dcba7b7729/fphys-01-00025-g004.jpg
https://cdn.ncbi.nlm.nih.gov/pmc/blobs/124b/3059949/e8740718615d/fphys-01-00025-g005.jpg
https://cdn.ncbi.nlm.nih.gov/pmc/blobs/124b/3059949/403d09c15838/fphys-01-00025-g001.jpg
https://cdn.ncbi.nlm.nih.gov/pmc/blobs/124b/3059949/8325b553655d/fphys-01-00025-g002.jpg
https://cdn.ncbi.nlm.nih.gov/pmc/blobs/124b/3059949/4a77451e2a6c/fphys-01-00025-g003.jpg
https://cdn.ncbi.nlm.nih.gov/pmc/blobs/124b/3059949/48dcba7b7729/fphys-01-00025-g004.jpg
https://cdn.ncbi.nlm.nih.gov/pmc/blobs/124b/3059949/e8740718615d/fphys-01-00025-g005.jpg

相似文献

1
Effects of hydroxyl radical induced-injury in atrial versus ventricular myocardium of dog and rabbit.羟基自由基诱导的犬和兔心房与心室心肌损伤的效应。
Front Physiol. 2010 Sep 30;1:25. doi: 10.3389/fphys.2010.00025. eCollection 2010.
2
SERCA overexpression reduces hydroxyl radical injury in murine myocardium.肌浆网Ca2+-ATP酶过表达减轻小鼠心肌的羟自由基损伤。
Am J Physiol Heart Circ Physiol. 2006 Dec;291(6):H3130-5. doi: 10.1152/ajpheart.01315.2005. Epub 2006 Jun 23.
3
Transient and sustained impacts of hydroxyl radicals on sarcoplasmic reticulum function: protective effects of nebivolol.
Eur J Pharmacol. 1999 Feb 5;366(2-3):223-32. doi: 10.1016/s0014-2999(98)00907-8.
4
Endogenous activation of mitochondrial KATP channels protects human failing myocardium from hydroxyl radical-induced stunning.线粒体ATP敏感性钾通道的内源性激活可保护人类衰竭心肌免受羟自由基诱导的顿抑。
Circ Res. 2009 Oct 9;105(8):811-7. doi: 10.1161/CIRCRESAHA.109.206359. Epub 2009 Sep 3.
5
Study of the mechanisms of hydrogen peroxide and hydroxyl free radical-induced cellular injury and calcium overload in cardiac myocytes.过氧化氢和羟自由基诱导心肌细胞损伤及钙超载机制的研究
J Biol Chem. 1991 Feb 5;266(4):2354-61.
6
Hydroxyl radical-induced acute diastolic dysfunction is due to calcium overload via reverse-mode Na(+)-Ca(2+) exchange.羟自由基诱导的急性舒张功能障碍是由于通过反向模式钠钙交换导致钙超载所致。
Circ Res. 2002 May 17;90(9):988-95. doi: 10.1161/01.res.0000018625.25212.1e.
7
Hypothermia exerts negative inotropy in human atrial preparations: in vitro-comparison to rabbit myocardium.低温对人心房组织产生负性肌力作用:与兔心肌的体外比较。
J Cardiovasc Surg (Torino). 2009 Apr;50(2):239-45.
8
Impact of hydroxyl radical-induced injury on calcium handling and myofilament sensitivity in isolated myocardium.羟自由基损伤对心肌钙处理和肌丝敏感性的影响。
J Appl Physiol (1985). 2012 Sep 1;113(5):766-74. doi: 10.1152/japplphysiol.01424.2011. Epub 2012 Jul 5.
9
Effect of beta-blockers on free radical-induced cardiac contractile dysfunction.β受体阻滞剂对自由基诱导的心脏收缩功能障碍的影响。
Circulation. 1999 Jul 27;100(4):346-53. doi: 10.1161/01.cir.100.4.346.
10
Efficacy of a hydroxyl radical scavenger (VF 233) in preventing reperfusion injury in the isolated rabbit heart.
Ann Thorac Surg. 1992 Jun;53(6):1091-5. doi: 10.1016/0003-4975(92)90395-k.

引用本文的文献

1
Contraction-relaxation coupling is unaltered by exercise training and infarction in isolated canine myocardium.收缩-舒张耦联在孤立的犬心肌中不受运动训练和梗塞的影响。
J Gen Physiol. 2021 Jul 5;153(7). doi: 10.1085/jgp.202012829.
2
Effect of exercise training and myocardial infarction on force development and contractile kinetics in isolated canine myocardium.运动训练和心肌梗死对离体犬心肌力量发展和收缩动力学的影响。
J Appl Physiol (1985). 2016 Apr 15;120(8):817-24. doi: 10.1152/japplphysiol.00775.2015. Epub 2016 Jan 28.
3
Impact of hydroxyl radical-induced injury on calcium handling and myofilament sensitivity in isolated myocardium.

本文引用的文献

1
Effects of dietary omega-3 fatty acids on ventricular function in dogs with healed myocardial infarctions: in vivo and in vitro studies.膳食ω-3 脂肪酸对心肌梗死后愈合犬心室功能的影响:体内和体外研究。
Am J Physiol Heart Circ Physiol. 2010 Apr;298(4):H1219-28. doi: 10.1152/ajpheart.01065.2009. Epub 2010 Jan 22.
2
Attenuation of ischemia-reperfusion-induced alterations in intracellular Ca2+ in cardiomyocytes from hearts treated with N-acetylcysteine and N-mercaptopropionylglycine.用 N-乙酰半胱氨酸和 N-巯基丙酰甘氨酸处理后的心脏心肌细胞内钙的再灌注诱导改变的衰减。
Can J Physiol Pharmacol. 2009 Dec;87(12):1110-9. doi: 10.1139/Y09-103.
3
羟自由基损伤对心肌钙处理和肌丝敏感性的影响。
J Appl Physiol (1985). 2012 Sep 1;113(5):766-74. doi: 10.1152/japplphysiol.01424.2011. Epub 2012 Jul 5.
Impairment of diastolic function by lack of frequency-dependent myofilament desensitization rabbit right ventricular hypertrophy.
缺乏频率依赖性肌丝脱敏导致兔右心室肥厚引起舒张功能受损。
Circ Heart Fail. 2009 Sep;2(5):472-81. doi: 10.1161/CIRCHEARTFAILURE.109.853200. Epub 2009 Jul 21.
4
Pulmonary artery banding alters the expression of Ca2+ transport proteins in the right atrium in rabbits.肺动脉环扎术会改变家兔右心房中钙离子转运蛋白的表达。
Am J Physiol Heart Circ Physiol. 2009 Jun;296(6):H1933-9. doi: 10.1152/ajpheart.00026.2009. Epub 2009 Apr 17.
5
The positive force-frequency relationship is maintained in absence of sarcoplasmic reticulum function in rabbit, but not in rat myocardium.在兔中,即使肌浆网功能缺失,正性力-频率关系仍可维持,但在大鼠心肌中则不然。
J Comp Physiol B. 2009 May;179(4):469-79. doi: 10.1007/s00360-008-0331-3. Epub 2009 Jan 4.
6
Determinants of frequency-dependent contraction and relaxation of mammalian myocardium.哺乳动物心肌频率依赖性收缩和舒张的决定因素。
J Mol Cell Cardiol. 2007 Nov;43(5):523-31. doi: 10.1016/j.yjmcc.2007.08.012. Epub 2007 Aug 28.
7
Atrial glutathione content, calcium current, and contractility.心房谷胱甘肽含量、钙电流和收缩性。
J Biol Chem. 2007 Sep 21;282(38):28063-73. doi: 10.1074/jbc.M704893200. Epub 2007 Jul 25.
8
Frequency-dependent acceleration of relaxation involves decreased myofilament calcium sensitivity.频率依赖性舒张加速涉及肌丝钙敏感性降低。
Am J Physiol Heart Circ Physiol. 2007 May;292(5):H2212-9. doi: 10.1152/ajpheart.00778.2006. Epub 2007 Jan 5.
9
SERCA overexpression reduces hydroxyl radical injury in murine myocardium.肌浆网Ca2+-ATP酶过表达减轻小鼠心肌的羟自由基损伤。
Am J Physiol Heart Circ Physiol. 2006 Dec;291(6):H3130-5. doi: 10.1152/ajpheart.01315.2005. Epub 2006 Jun 23.
10
Effect of muscle dimensions on trabecular contractile performance under physiological conditions.生理条件下肌肉尺寸对小梁收缩性能的影响。
Pflugers Arch. 2006 Feb;451(5):625-30. doi: 10.1007/s00424-005-1500-9. Epub 2005 Aug 5.