Suppr超能文献

2-Oxo-4-trifluoro-meth-yl-2H-chromen-7-yl 2-bromo-2-methyl-propano-ate.

作者信息

Haridharan N, Ramkumar V, Dhamodharan R

机构信息

Department of Chemistry, IIT Madras, Chennai, TamilNadu, India.

出版信息

Acta Crystallogr Sect E Struct Rep Online. 2010 Jun 9;66(Pt 7):o1606. doi: 10.1107/S1600536810020234.

Abstract

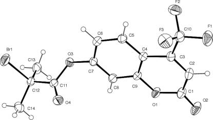
In the title compound, C(14)H(10)BrF(3)O(4), the coumarin ring system is almost plannar (r.m.s. deviation = 0.025 Å) and a short C-H⋯F contact occurs. The propano-ate fragment is orientated almost perpendicular to the ring [dihedral angle = 71.80 (12)°]. In the crystal, mol-ecules are linked by C-H⋯O hydrogen bonds, generating [100] chains.

摘要
https://cdn.ncbi.nlm.nih.gov/pmc/blobs/8f8e/3006816/21aa11f4bac3/e-66-o1606-fig1.jpg

文献AI研究员

20分钟写一篇综述,助力文献阅读效率提升50倍。

立即体验

用中文搜PubMed

大模型驱动的PubMed中文搜索引擎

马上搜索

文档翻译

学术文献翻译模型,支持多种主流文档格式。

立即体验