New York City Department of Health and Mental Hygiene, New York, NY, USA.
Diabetes Care. 2011 Aug;34(8):1791-3. doi: 10.2337/dc11-0088. Epub 2011 Jun 29.
To describe diabetes prevalence in New York City by race/ethnicity and nativity.
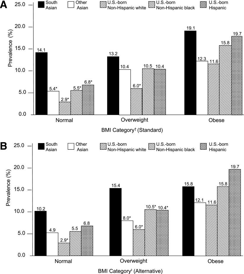
Data were from the New York City 2002-2008 Community Health Surveys. Respondents were categorized on the basis of self-reported race/ethnicity and birth country: foreign-born South Asian (Indian subcontinent), foreign-born other Asian, U.S.-born non-Hispanic black, U.S.-born non-Hispanic white, and U.S.-born Hispanic. Diabetes status was defined by self-reported provider diagnosis. Multivariable models examined diabetes prevalence by race/ethnicity and birth country.
Prevalence among foreign-born South Asians was nearly twice that of foreign-born other Asians (13.6 vs. 7.4%, P = 0.001). In multivariable analyses, normal-BMI foreign-born South Asians had nearly five times the diabetes prevalence of comparable U.S.-born non-Hispanic whites (14.1 vs. 2.9%, P < 0.001) and 2.5 times higher prevalence than foreign-born other Asians (P < 0.001).
Evaluating Asians as one group masks the higher diabetes burden among South Asians. Researchers and clinicians should be aware of differences in this population.
按种族/民族和出生地描述纽约市的糖尿病患病率。
数据来自纽约市 2002-2008 年社区健康调查。根据自我报告的种族/民族和出生国,受访者被分为以下几类:外国出生的南亚人(印度次大陆)、外国出生的其他亚洲人、美国出生的非西班牙裔黑人、美国出生的非西班牙裔白人以及美国出生的西班牙裔。糖尿病的状况通过自我报告的医疗诊断来定义。多变量模型分析了种族/民族和出生地的糖尿病患病率。
南亚裔外国出生者的患病率几乎是其他亚洲裔外国出生者的两倍(13.6%比 7.4%,P = 0.001)。在多变量分析中,正常体重指数的南亚裔外国出生者的糖尿病患病率几乎是非西班牙裔美国白人的五倍(14.1%比 2.9%,P < 0.001),比其他亚洲裔外国出生者高 2.5 倍(P < 0.001)。
将亚洲人作为一个群体进行评估掩盖了南亚人更高的糖尿病负担。研究人员和临床医生应该意识到这一人群的差异。