Suppr超能文献

芳基哌嗪衍生物的设计、合成及治疗神经性疼痛的生物活性评价。

Design, synthesis and biological activity evaluation of arylpiperazine derivatives for the treatment of neuropathic pain.

机构信息

Department of Systems Biology, Huazhong University of Science and Technology, 1037 Luoyu Road, Wuhan 430074, China.

出版信息

Molecules. 2011 Jul 7;16(7):5785-806. doi: 10.3390/molecules16075785.

Abstract

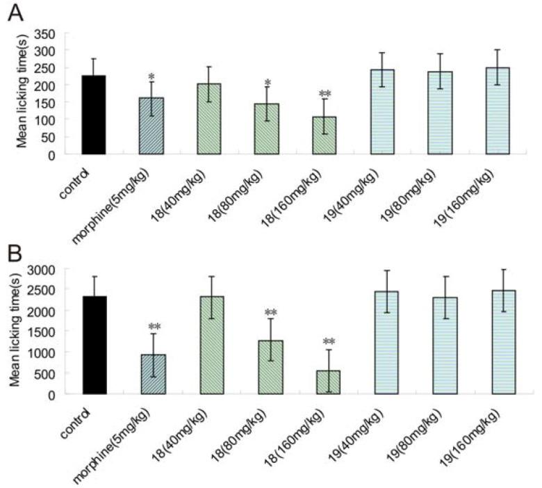
In this work, a series of arylpiperazine derivatives were synthesized and screened by in vivo pharmacological trials. Among the tested compounds, 2-(4-(3-(trifluoromethyl)phenyl)piperazin-1-yl)-1-phenylethanone (18) and 2-(4-(2,3-dimethylphenyl)piperazin-1-yl)-1-phenylethanone (19) exhibited potent analgesic activities in both the mice writhing and mice hot plate tests. They showed more than 70% inhibition relative to controls in the writhing test, and increased latency by 116.0% and 134.4%, respectively, in the hot plate test. Furthermore, compound 18 was also active in the models of formalin pain and neuropathic pain without sedative side effects.

摘要

在这项工作中,通过体内药理试验合成和筛选了一系列芳基哌嗪衍生物。在所测试的化合物中,2-(4-(3-(三氟甲基)苯基)哌嗪-1-基)-1-苯乙酮(18)和 2-(4-(2,3-二甲基苯基)哌嗪-1-基)-1-苯乙酮(19)在小鼠扭体和小鼠热板试验中均表现出很强的镇痛活性。在扭体试验中,它们相对于对照物的抑制率超过 70%,在热板试验中,潜伏期分别增加了 116.0%和 134.4%。此外,化合物 18 在福尔马林疼痛和神经病理性疼痛模型中也具有活性,且没有镇静副作用。

https://cdn.ncbi.nlm.nih.gov/pmc/blobs/f234/6264349/664f120487ab/molecules-16-05785-g001.jpg

文献AI研究员

20分钟写一篇综述,助力文献阅读效率提升50倍。

立即体验

用中文搜PubMed

大模型驱动的PubMed中文搜索引擎

马上搜索

文档翻译

学术文献翻译模型,支持多种主流文档格式。

立即体验