• 文献检索
  • 文档翻译
  • 深度研究
  • 学术资讯
  • Suppr Zotero 插件Zotero 插件
  • 邀请有礼
  • 套餐&价格
  • 历史记录
应用&插件
Suppr Zotero 插件Zotero 插件浏览器插件Mac 客户端Windows 客户端微信小程序
定价
高级版会员购买积分包购买API积分包
服务
文献检索文档翻译深度研究API 文档MCP 服务
关于我们
关于 Suppr公司介绍联系我们用户协议隐私条款
关注我们

Suppr 超能文献

核心技术专利:CN118964589B侵权必究
粤ICP备2023148730 号-1Suppr @ 2026

文献检索

告别复杂PubMed语法,用中文像聊天一样搜索,搜遍4000万医学文献。AI智能推荐,让科研检索更轻松。

立即免费搜索

文件翻译

保留排版,准确专业,支持PDF/Word/PPT等文件格式,支持 12+语言互译。

免费翻译文档

深度研究

AI帮你快速写综述,25分钟生成高质量综述,智能提取关键信息,辅助科研写作。

立即免费体验

2%中性氟化钠泡沫专业局部应用后的氟保留情况

Fluoride Retention following the Professional Topical Application of 2% Neutral Sodium Fluoride Foam.

作者信息

Song Wenqun, Toda Shinji, Komiyama Eri, Komiyama Karin, Arakawa Yuki, He Dawei, Arakawa Hirohisa

机构信息

Division of Oral Health, Department of Health Science, Kanagawa Dental College, Inaokacho 82, Yokosuka 238-8580, Japan.

出版信息

Int J Dent. 2011;2011:209349. doi: 10.1155/2011/209349. Epub 2011 Jul 7.

DOI:10.1155/2011/209349
PMID:21754931
原文链接:https://pmc.ncbi.nlm.nih.gov/articles/PMC3132599/
Abstract

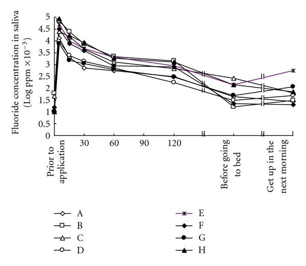
The objective of the present research was to determine the appropriate amount of fluoride to use professional topical application and the residual amounts of fluoride in the oral cavity using a 2% neutral sodium fluoride (NaF) foam with a dedicated tray. Using dentition study models, a method for determining the appropriate amount of NaF foam was investigated. In eight adult subjects, the appropriate amount of NaF foam, the concentration of fluoride in the saliva following professional topical application, and the amount of residual fluoride in the oral cavity following professional topical application was examined. The results indicated that the appropriate amount of NaF foam was approximately 0.8 g, the amount of residual fluoride in the oral cavity was approximately 25% of the amount of foam used.

摘要

本研究的目的是使用含2%中性氟化钠(NaF)的泡沫及专用托盘,确定专业局部应用时合适的氟化物用量以及口腔中氟化物的残留量。利用牙列研究模型,研究了一种确定NaF泡沫合适用量的方法。在8名成年受试者中,检测了NaF泡沫的合适用量、专业局部应用后唾液中的氟化物浓度以及专业局部应用后口腔中的氟化物残留量。结果表明,NaF泡沫的合适用量约为0.8克,口腔中的氟化物残留量约为所用泡沫量的25%。

https://cdn.ncbi.nlm.nih.gov/pmc/blobs/f3ef/3132599/39ef519b277e/IJD2011-209349.001.jpg
https://cdn.ncbi.nlm.nih.gov/pmc/blobs/f3ef/3132599/39ef519b277e/IJD2011-209349.001.jpg
https://cdn.ncbi.nlm.nih.gov/pmc/blobs/f3ef/3132599/39ef519b277e/IJD2011-209349.001.jpg

相似文献

1
Fluoride Retention following the Professional Topical Application of 2% Neutral Sodium Fluoride Foam.2%中性氟化钠泡沫专业局部应用后的氟保留情况
Int J Dent. 2011;2011:209349. doi: 10.1155/2011/209349. Epub 2011 Jul 7.
2
Topical fluorides in caries prevention and management: a North American perspective.局部用氟化物在龋齿预防与管理中的应用:北美视角
J Dent Educ. 2001 Oct;65(10):1078-83.
3
Fluoride retention following topical application of a new APF foam.
Pediatr Dent. 1989 Jun;11(2):121-4.
4
Effect of mouthwashes of variable NaF concentration but constant NaF content on oral fluoride retention.不同氟化钠浓度但氟化钠含量恒定的漱口水对口腔氟保留量的影响。
Caries Res. 1994;28(1):43-7. doi: 10.1159/000261619.
5
Effect of topical application of fluoride gel NaF 2% on enzymatic and non-enzymatic antioxidant parameters of saliva.氟凝胶 NaF 2% 局部应用对唾液酶和非酶抗氧化参数的影响。
Arch Oral Biol. 2012 Jun;57(6):630-5. doi: 10.1016/j.archoralbio.2011.10.022. Epub 2011 Dec 22.
6
Salivary fluoride concentrations and fluoride ingestion following application of preparations containing high concentration of fluoride.使用高浓度氟化物制剂后唾液中的氟浓度和氟化物摄取量。
Biol Trace Elem Res. 2010 Nov;137(2):159-67. doi: 10.1007/s12011-009-8575-7. Epub 2009 Dec 10.
7
Fluoride retention following topical fluoride foam and gel application.
Pediatr Dent. 1990 Nov-Dec;12(6):368-74.
8
Fluoride Levels in Unstimulated Whole Saliva following Clinical Application of Different 5% NaF Varnishes.不同 5%NaF 涂料临床应用后未刺激全唾液中的氟水平。
Caries Res. 2018;52(6):431-438. doi: 10.1159/000485981. Epub 2018 Apr 3.
9
Fluoride in plaque fluid and saliva after NaF or MFP rinses.使用氟化钠(NaF)或单氟磷酸钠(MFP)漱口后菌斑液和唾液中的氟化物。
Eur J Oral Sci. 1997 Oct;105(5 Pt 2):478-84. doi: 10.1111/j.1600-0722.1997.tb00234.x.
10
Oral fluoride retention with thixotropic and APF gels and foam-lined and unlined trays.
J Dent Res. 1984 Jan;63(1):69-70. doi: 10.1177/00220345840630011701.

本文引用的文献

1
Effects of professionally applied topical fluorides on surface hardness of composite-based restoratives.
Oper Dent. 2002 Nov-Dec;27(6):576-81.
2
Topical fluoride for office use.
J Am Dent Assoc. 2002 Apr;133(4):502-3. doi: 10.14219/jada.archive.2002.0211.
3
Topical fluorides in caries prevention and management: a North American perspective.局部用氟化物在龋齿预防与管理中的应用:北美视角
J Dent Educ. 2001 Oct;65(10):1078-83.
4
Barcoll hardness of dental materials treated with an APF foam.
J Clin Pediatr Dent. 2001 Winter;25(2):143-6. doi: 10.17796/jcpd.25.2.rw03351p32336r25.
5
Effect of 1.23 percent APF gel on fluoride-releasing restorative materials.1.23%酸性磷酸氟凝胶对释氟修复材料的影响。
ASDC J Dent Child. 2000 Sep-Oct;67(5):330-7, 302.
6
Effects of daily topical fluoride gels on resin composite degradation and wear.
Dent Mater. 1997 Sep;13(5):305-11. doi: 10.1016/s0109-5641(97)80100-5.
7
Effect of home-use fluoride gels on resin-modified glass-ionomer cements.家用氟凝胶对树脂改性玻璃离子水门汀的影响。
Oper Dent. 1998 Jan-Feb;23(1):2-9.
8
Evaluation of the use of topical fluoride gel.
Caries Res. 1993;27 Suppl 1:29-34. doi: 10.1159/000261599.
9
Effect of home-use fluoride gels on glass ionomer and composite restorations.家用氟凝胶对玻璃离子和复合树脂修复体的影响。
Dent Mater. 1993 Jan;9(1):63-7. doi: 10.1016/0109-5641(93)90108-3.
10
Fluorides and oral health. Report of a WHO Expert Committee on Oral Health Status and Fluoride Use.氟化物与口腔健康。世界卫生组织口腔健康状况与氟化物使用专家委员会报告。
World Health Organ Tech Rep Ser. 1994;846:1-37.