Suppr超能文献

Mass Spectrometry of Bis-Quinolizidine Alkaloids: FAB-MS of Oxo-Substituted Sparteines.

作者信息

Jasiewicz Beata, Wyrzykiewicz Elżbieta

机构信息

Faculty of Chemistry, Adam Mickiewicz University, Grunwaldzka 6, 60-780 Poznań, Poland.

出版信息

Int J Anal Chem. 2011;2011:652589. doi: 10.1155/2011/652589. Epub 2011 Jun 5.

Abstract

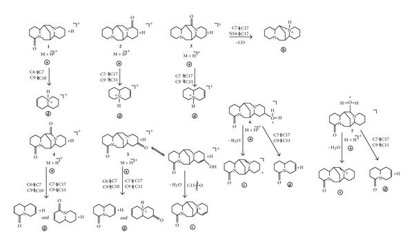
The unpublished in the literature FAB mass spectral fragmentation of seven oxosparteines (i.e., 2-oxosparteine, 15-oxosparteine, 17-oxosparteine, 2,17-dioxosparteine, 2,13-dioxosparteine, 2-oxo-13-hydroxysparteine, and 2-oxo-17-hydroxysparteine) is investigated. Fragmentation pathways, elucidation of which was assisted by FAB/collision-induced dissociation (CID) mass spectra measurements, are discussed. The data obtained create the basis for distinguishing positional isomers.

摘要
https://cdn.ncbi.nlm.nih.gov/pmc/blobs/39a0/3132517/62696c4e354b/IJAC2011-652589.001.jpg

文献AI研究员

20分钟写一篇综述,助力文献阅读效率提升50倍。

立即体验

用中文搜PubMed

大模型驱动的PubMed中文搜索引擎

马上搜索

文档翻译

学术文献翻译模型,支持多种主流文档格式。

立即体验