Suppr超能文献

糖原合酶激酶3抑制剂:阿尔茨海默病治疗的新希望

Glycogen synthase kinase 3 inhibitors in the next horizon for Alzheimer's disease treatment.

作者信息

Martinez Ana, Gil Carmen, Perez Daniel I

机构信息

Instituto de Química Médica, CSIC, Juan de la Cierva 3, 28006 Madrid, Spain.

出版信息

Int J Alzheimers Dis. 2011;2011:280502. doi: 10.4061/2011/280502. Epub 2011 Jun 30.

Abstract

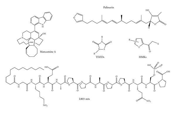
Glycogen synthase kinase 3 (GSK-3), a proline/serine protein kinase ubiquitously expressed and involved in many cellular signaling pathways, plays a key role in the pathogenesis of Alzheimer's disease (AD) being probably the link between β-amyloid and tau pathology. A great effort has recently been done in the discovery and development of different new molecules, of synthetic and natural origin, able to inhibit this enzyme, and several kinetics mechanisms of binding have been described. The small molecule called tideglusib belonging to the thiadiazolidindione family is currently on phase IIb clinical trials for AD. The potential risks and benefits of this new kind of disease modifying drugs for the future therapy of AD are discussed in this paper.

摘要

糖原合酶激酶3(GSK-3)是一种脯氨酸/丝氨酸蛋白激酶,在许多细胞信号通路中广泛表达并参与其中,在阿尔茨海默病(AD)的发病机制中起关键作用,可能是β-淀粉样蛋白和tau病理之间的联系。最近,人们在发现和开发不同的新型分子方面付出了巨大努力,这些分子有合成的和天然的,能够抑制这种酶,并且已经描述了几种结合的动力学机制。属于噻二唑并二酮家族的小分子替格列汀目前正在进行AD的IIb期临床试验。本文讨论了这种新型疾病修饰药物在AD未来治疗中的潜在风险和益处。

https://cdn.ncbi.nlm.nih.gov/pmc/blobs/63d7/3132520/f2fda65bc0d4/IJAD2011-280502.001.jpg

文献AI研究员

20分钟写一篇综述,助力文献阅读效率提升50倍。

立即体验

用中文搜PubMed

大模型驱动的PubMed中文搜索引擎

马上搜索

文档翻译

学术文献翻译模型,支持多种主流文档格式。

立即体验