Suppr超能文献

嗜酸性粒细胞中细胞因子信号传导抑制因子3的表达:受前列腺素E₂和Th2细胞因子的调控

Suppressors of cytokine signaling 3 expression in eosinophils: regulation by PGE₂ and Th2 cytokines.

作者信息

López Esther, Zafra María Paz, Sastre Beatriz, Gámez Cristina, Fernández-Nieto Mar, Sastre Joaquín, Lahoz Carlos, Quirce Santiago, Del Pozo Victoria

机构信息

Immunology Department, IIS-Fundación Jiménez Díaz (IIS-FJD), Avenida Reyes Católicos 2, 28040 Madrid, Spain.

出版信息

Clin Dev Immunol. 2011;2011:917015. doi: 10.1155/2011/917015. Epub 2011 Apr 27.

Abstract

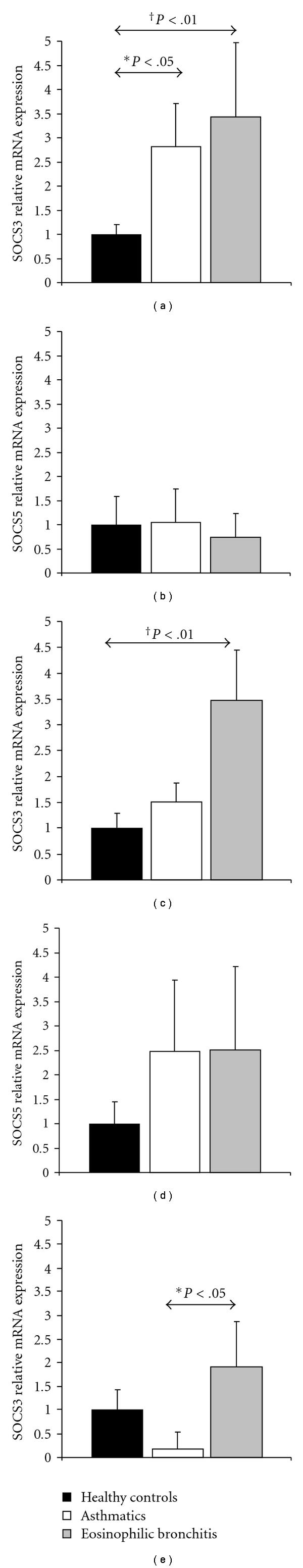
Asthma and nonasthmatic eosinophilic bronchitis (NAEB) are respiratory disorders characterized by a predominance of Th2 cells and eosinophilic inflammation. Suppressors of cytokine signaling (SOCS) proteins play an important role in Th2-mediated allergic responses through control of the balance between Th1 and Th2 cells, particularly, SOCS3 and SOCS5. The aim of this study was to analyze SOCS expression in human peripheral blood eosinophils from patients with asthma, NAEB and healthy controls. SOCS expression in eosinophils from subjects was demonstrated by different techniques. Results showed that expression of SOCS3 in eosinophils and CD4 T cells from patients was higher than in healthy subjects. In addition, we demonstrated that prostaglandin E₂ (PGE₂) and Th2 cytokines are able to upregulate SOCS3 production in eosinophils and attenuate its degranulation. In conclusion, eosinophils are able to transcribe and translate SOCS3 protein and can contribute to the regulation of the Th1/Th2 balance through SOCS3 production.

摘要

哮喘和非哮喘性嗜酸性粒细胞性支气管炎(NAEB)是由Th2细胞和嗜酸性粒细胞炎症占主导的呼吸系统疾病。细胞因子信号转导抑制因子(SOCS)蛋白通过控制Th1和Th2细胞之间的平衡,在Th2介导的过敏反应中发挥重要作用,特别是SOCS3和SOCS5。本研究的目的是分析哮喘患者、NAEB患者和健康对照者外周血嗜酸性粒细胞中SOCS的表达情况。通过不同技术证实了受试者嗜酸性粒细胞中SOCS的表达。结果显示,患者嗜酸性粒细胞和CD4 T细胞中SOCS3的表达高于健康受试者。此外,我们还证明前列腺素E₂(PGE₂)和Th2细胞因子能够上调嗜酸性粒细胞中SOCS3的产生,并减弱其脱颗粒作用。总之,嗜酸性粒细胞能够转录和翻译SOCS3蛋白,并可通过产生SOCS3参与Th1/Th2平衡的调节。

https://cdn.ncbi.nlm.nih.gov/pmc/blobs/1dc2/3135166/cbb19556b3a8/CDI2011-917015.001.jpg

文献AI研究员

20分钟写一篇综述,助力文献阅读效率提升50倍。

立即体验

用中文搜PubMed

大模型驱动的PubMed中文搜索引擎

马上搜索

文档翻译

学术文献翻译模型,支持多种主流文档格式。

立即体验