Department of Chemistry, Structural Biology Laboratory, The University of York, YO10 5YW, UK.
Nucleic Acids Res. 2012 Jan;40(2):928-38. doi: 10.1093/nar/gkr789. Epub 2011 Sep 24.
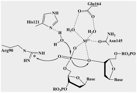
The pathogenic bacterium Group A Streptococcus pyogenes produces several extracellular DNases that have been shown to facilitate invasive infection by evading the human host immune system. DNases degrade the chromatin in neutrophil extracellular traps, enabling the bacterium to evade neutrophil capture. Spd1 is a type I, nonspecific ββα/metal-dependent nuclease from Streptococcus pyogenes, which is encoded by the SF370.1 prophage and is likely to be expressed as a result of prophage induction. We present here the X-ray structure of this DNase in the wild-type and Asn145Ala mutant form. Through structural and sequence alignments as well as mutagenesis studies, we have identified the key residues His121, Asn145 and Glu164, which are crucial for Spd1 nucleolytic activity and shown the active site constellation. Our wild-type structure alludes to the possibility of a catalytically blocked dimeric form of the protein. We have investigated the multimeric nature of Spd1 using size-exclusion chromatography with multi-angle light scattering (SEC-MALLS) in the presence and absence of the divalent metal ion Mg(2+), which suggests that Spd1 exists in a monomeric form in solution.
化脓性链球菌 A 群产生几种细胞外 DNA 酶,这些酶已被证明通过逃避人体免疫系统来促进侵袭性感染。DNases 降解中性粒细胞细胞外陷阱中的染色质,使细菌能够逃避中性粒细胞的捕获。Spd1 是一种来自化脓性链球菌的 I 型非特异性 ββα/金属依赖性核酸内切酶,由 SF370.1 噬菌体编码,很可能由于噬菌体诱导而表达。我们在此介绍该 DNase 在野生型和 Asn145Ala 突变体形式下的 X 射线结构。通过结构和序列比对以及突变研究,我们确定了关键残基 His121、Asn145 和 Glu164,它们对 Spd1 的核酶活性至关重要,并显示了活性位点的特征。我们的野生型结构暗示了该蛋白可能存在催化受阻的二聚体形式。我们使用多角光散射(SEC-MALLS)在存在和不存在二价金属离子 Mg(2+)的情况下,通过分子筛层析研究了 Spd1 的多聚体性质,这表明 Spd1 在溶液中以单体形式存在。