• 文献检索
  • 文档翻译
  • 深度研究
  • 学术资讯
  • Suppr Zotero 插件Zotero 插件
  • 邀请有礼
  • 套餐&价格
  • 历史记录
应用&插件
Suppr Zotero 插件Zotero 插件浏览器插件Mac 客户端Windows 客户端微信小程序
定价
高级版会员购买积分包购买API积分包
服务
文献检索文档翻译深度研究API 文档MCP 服务
关于我们
关于 Suppr公司介绍联系我们用户协议隐私条款
关注我们

Suppr 超能文献

核心技术专利:CN118964589B侵权必究
粤ICP备2023148730 号-1Suppr @ 2026

文献检索

告别复杂PubMed语法,用中文像聊天一样搜索,搜遍4000万医学文献。AI智能推荐,让科研检索更轻松。

立即免费搜索

文件翻译

保留排版,准确专业,支持PDF/Word/PPT等文件格式,支持 12+语言互译。

免费翻译文档

深度研究

AI帮你快速写综述,25分钟生成高质量综述,智能提取关键信息,辅助科研写作。

立即免费体验

太平洋沿海地区的绿鳍鱼物理生境利用。

Green sturgeon physical habitat use in the coastal Pacific Ocean.

机构信息

National Marine Fisheries Service, National Oceanic and Atmospheric Administration, Santa Cruz, California, United States of America.

出版信息

PLoS One. 2011;6(9):e25156. doi: 10.1371/journal.pone.0025156. Epub 2011 Sep 22.

DOI:10.1371/journal.pone.0025156
PMID:21966442
原文链接:https://pmc.ncbi.nlm.nih.gov/articles/PMC3178618/
Abstract

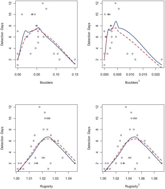
The green sturgeon (Acipenser medirostris) is a highly migratory, oceanic, anadromous species with a complex life history that makes it vulnerable to species-wide threats in both freshwater and at sea. Green sturgeon population declines have preceded legal protection and curtailment of activities in marine environments deemed to increase its extinction risk. Yet, its marine habitat is poorly understood. We built a statistical model to characterize green sturgeon marine habitat using data from a coastal tracking array located along the Siletz Reef near Newport, Oregon, USA that recorded the passage of 37 acoustically tagged green sturgeon. We classified seafloor physical habitat features with high-resolution bathymetric and backscatter data. We then described the distribution of habitat components and their relationship to green sturgeon presence using ordination and subsequently used generalized linear model selection to identify important habitat components. Finally, we summarized depth and temperature recordings from seven green sturgeon present off the Oregon coast that were fitted with pop-off archival geolocation tags. Our analyses indicated that green sturgeon, on average, spent a longer duration in areas with high seafloor complexity, especially where a greater proportion of the substrate consists of boulders. Green sturgeon in marine habitats are primarily found at depths of 20-60 meters and from 9.5-16.0°C. Many sturgeon in this study were likely migrating in a northward direction, moving deeper, and may have been using complex seafloor habitat because it coincides with the distribution of benthic prey taxa or provides refuge from predators. Identifying important green sturgeon marine habitat is an essential step towards accurately defining the conditions that are necessary for its survival and will eventually yield range-wide, spatially explicit predictions of green sturgeon distribution.

摘要

美洲鲟(Acipenser medirostris)是一种高度洄游、海洋性、溯河产卵的物种,其复杂的生活史使其在淡水和海洋环境中都面临着广泛的物种威胁。在对海洋环境中的活动进行法律保护和限制之前,美洲鲟的数量已经减少,这些活动被认为增加了其灭绝风险。然而,其海洋生境却知之甚少。我们利用位于美国俄勒冈州纽波特附近锡勒特礁(Siletz Reef)的沿海跟踪阵列的数据,构建了一个统计模型来描述美洲鲟的海洋生境,该阵列记录了 37 条经声学标记的美洲鲟的通过情况。我们利用高分辨率水深和反向散射数据对海底物理生境特征进行分类。然后,我们使用排序描述了生境成分的分布及其与美洲鲟存在的关系,随后使用广义线性模型选择来确定重要的生境成分。最后,我们总结了在俄勒冈州海岸附近活动的 7 条带有弹出式档案地理定位标签的美洲鲟的水深和温度记录。我们的分析表明,美洲鲟平均在海底复杂性较高的区域停留的时间更长,尤其是在基质中较大比例由巨石组成的区域。海洋生境中的美洲鲟主要分布在水深 20-60 米和温度 9.5-16.0°C 的区域。本研究中的许多鲟鱼可能正在向北洄游,游得更深,并可能正在利用复杂的海底生境,因为这与底栖猎物类群的分布一致,或者为其提供了躲避捕食者的庇护所。确定重要的美洲鲟海洋生境是准确定义其生存所需条件的重要步骤,最终将生成广泛的、空间明确的美洲鲟分布预测。

https://cdn.ncbi.nlm.nih.gov/pmc/blobs/368a/3178618/5ddcddb644db/pone.0025156.g005.jpg
https://cdn.ncbi.nlm.nih.gov/pmc/blobs/368a/3178618/7739721166a7/pone.0025156.g001.jpg
https://cdn.ncbi.nlm.nih.gov/pmc/blobs/368a/3178618/9e102955b154/pone.0025156.g002.jpg
https://cdn.ncbi.nlm.nih.gov/pmc/blobs/368a/3178618/336844635ff7/pone.0025156.g003.jpg
https://cdn.ncbi.nlm.nih.gov/pmc/blobs/368a/3178618/f1cf29233e1e/pone.0025156.g004.jpg
https://cdn.ncbi.nlm.nih.gov/pmc/blobs/368a/3178618/5ddcddb644db/pone.0025156.g005.jpg
https://cdn.ncbi.nlm.nih.gov/pmc/blobs/368a/3178618/7739721166a7/pone.0025156.g001.jpg
https://cdn.ncbi.nlm.nih.gov/pmc/blobs/368a/3178618/9e102955b154/pone.0025156.g002.jpg
https://cdn.ncbi.nlm.nih.gov/pmc/blobs/368a/3178618/336844635ff7/pone.0025156.g003.jpg
https://cdn.ncbi.nlm.nih.gov/pmc/blobs/368a/3178618/f1cf29233e1e/pone.0025156.g004.jpg
https://cdn.ncbi.nlm.nih.gov/pmc/blobs/368a/3178618/5ddcddb644db/pone.0025156.g005.jpg

相似文献

1
Green sturgeon physical habitat use in the coastal Pacific Ocean.太平洋沿海地区的绿鳍鱼物理生境利用。
PLoS One. 2011;6(9):e25156. doi: 10.1371/journal.pone.0025156. Epub 2011 Sep 22.
2
Green sturgeon distribution in the Pacific Ocean estimated from modeled oceanographic features and migration behavior.太平洋绿鳍金枪鱼的分布估计基于模型化的海洋特征和洄游行为。
PLoS One. 2012;7(9):e45852. doi: 10.1371/journal.pone.0045852. Epub 2012 Sep 21.
3
Hydroids (Cnidaria, Hydrozoa) from Mauritanian Coral Mounds.来自毛里塔尼亚珊瑚丘的水螅虫纲动物(刺胞动物门,水螅虫纲)。
Zootaxa. 2020 Nov 16;4878(3):zootaxa.4878.3.2. doi: 10.11646/zootaxa.4878.3.2.
4
Comparative stable isotope analyses of green sturgeon (Acipenser medirostris) and white sturgeon (A. transmontanus) in the San Francisco estuary.旧金山河口绿鲟(Acipenser medirostris)和白鲟(A. transmontanus)的比较稳定同位素分析
J Fish Biol. 2024 Jan;104(1):240-251. doi: 10.1111/jfb.15579. Epub 2023 Oct 30.
5
Marine reserves indirectly affect fine-scale habitat associations, but not overall densities, of small benthic fishes.海洋保护区会间接影响小型底栖鱼类的精细尺度栖息地关联,但不会影响其总体密度。
Ecol Evol. 2016 Aug 29;6(18):6648-6661. doi: 10.1002/ece3.2406. eCollection 2016 Sep.
6
Intrapopulation variability in the timing of ontogenetic habitat shifts in sea turtles revealed using δ N values from bone growth rings.利用骨生长环的δN值揭示海龟个体发育过程中栖息地转移时间的种群内变异性。
J Anim Ecol. 2017 May;86(3):694-704. doi: 10.1111/1365-2656.12618. Epub 2017 Jan 11.
7
The acute temperature tolerance of green sturgeon (Acipenser medirostris) and the effect of environmental salinity.绿鲟(Acipenser medirostris)的急性温度耐受性及环境盐度的影响。
J Exp Zool A Ecol Genet Physiol. 2008 Oct 1;309(8):477-83. doi: 10.1002/jez.477.
8
Atlas of pacific sand lance (Ammodytes personatus) benthic habitat - Application of multibeam acoustics and directed sampling to identify viable subtidal substrates.太平洋玉筋鱼底栖生境图集——多波束声学和定向采样在确定可行的潮下带基质中的应用。
Mar Environ Res. 2024 Nov;202:106778. doi: 10.1016/j.marenvres.2024.106778. Epub 2024 Oct 5.
9
Interaction between coastal and oceanic ecosystems of the Western and Central Pacific Ocean through predator-prey relationship studies.通过捕食者-猎物关系的研究来研究西太平洋和中太平洋沿海和海洋生态系统之间的相互作用。
PLoS One. 2012;7(5):e36701. doi: 10.1371/journal.pone.0036701. Epub 2012 May 15.
10
The Minderoo-Monaco Commission on Plastics and Human Health.美诺集团-摩纳哥基金会塑料与人体健康委员会
Ann Glob Health. 2023 Mar 21;89(1):23. doi: 10.5334/aogh.4056. eCollection 2023.

引用本文的文献

1
Integrating physiological data with the conservation and management of fishes: a meta-analytical review using the threatened green sturgeon ().整合生理数据与鱼类的保护和管理:使用濒危绿鲟的荟萃分析综述()
Conserv Physiol. 2019 Jun 28;7(1):coz035. doi: 10.1093/conphys/coz035. eCollection 2019.
2
Research tools to investigate movements, migrations, and life history of sturgeons (Acipenseridae), with an emphasis on marine-oriented populations.研究工具调查鲟鱼(鲟科)的运动、迁移和生活史,重点关注海洋种群。
PLoS One. 2013 Aug 22;8(8):e71552. doi: 10.1371/journal.pone.0071552. eCollection 2013.
3
Green sturgeon distribution in the Pacific Ocean estimated from modeled oceanographic features and migration behavior.

本文引用的文献

1
The use of movement data as an assay of habitat quality.将运动数据用作栖息地质量的一种测定方法。
Oecologia. 1995 Feb;101(2):211-216. doi: 10.1007/BF00317286.
2
Patterns and ecosystem consequences of shark declines in the ocean.海洋中鲨鱼数量减少的模式和生态系统后果。
Ecol Lett. 2010 Aug 1;13(8):1055-71. doi: 10.1111/j.1461-0248.2010.01489.x. Epub 2010 May 26.
3
Quasi-Poisson vs. negative binomial regression: how should we model overdispersed count data?拟泊松回归与负二项回归:我们应如何对过度离散计数数据进行建模?
太平洋绿鳍金枪鱼的分布估计基于模型化的海洋特征和洄游行为。
PLoS One. 2012;7(9):e45852. doi: 10.1371/journal.pone.0045852. Epub 2012 Sep 21.
Ecology. 2007 Nov;88(11):2766-72. doi: 10.1890/07-0043.1.
4
Revisiting Lévy flight search patterns of wandering albatrosses, bumblebees and deer.重新审视信天翁、大黄蜂和鹿的 Lévy 飞行搜索模式。
Nature. 2007 Oct 25;449(7165):1044-8. doi: 10.1038/nature06199.
5
Model selection in ecology and evolution.生态学和进化中的模型选择。
Trends Ecol Evol. 2004 Feb;19(2):101-8. doi: 10.1016/j.tree.2003.10.013.