Center for Biomedical Engineering, Massachusetts Institute of Technology, Cambridge, Massachusetts, United States of America.
PLoS One. 2011;6(11):e25067. doi: 10.1371/journal.pone.0025067. Epub 2011 Nov 23.
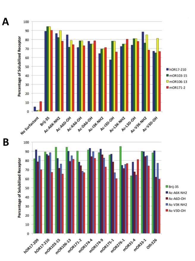
A crucial bottleneck in membrane protein studies, particularly G-protein coupled receptors, is the notorious difficulty of finding an optimal detergent that can solubilize them and maintain their stability and function. Here we report rapid production of 12 unique mammalian olfactory receptors using short designer lipid-like peptides as detergents. The peptides were able to solubilize and stabilize each receptor. Circular dichroism showed that the purified olfactory receptors had alpha-helical secondary structures. Microscale thermophoresis suggested that the receptors were functional and bound their odorants. Blot intensity measurements indicated that milligram quantities of each olfactory receptor could be produced with at least one peptide detergent. The peptide detergents' capability was comparable to that of the detergent Brij-35. The ability of 10 peptide detergents to functionally solubilize 12 olfactory receptors demonstrates their usefulness as a new class of detergents for olfactory receptors, and possibly other G-protein coupled receptors and membrane proteins.
在膜蛋白研究中,特别是 G 蛋白偶联受体的研究中,一个关键的瓶颈是很难找到一种能够使其溶解并保持其稳定性和功能的理想去污剂。在这里,我们报告了使用短的设计脂质样肽作为去污剂快速生产 12 种独特的哺乳动物嗅觉受体。这些肽能够溶解并稳定每个受体。圆二色性表明纯化的嗅觉受体具有α-螺旋二级结构。微量热泳动表明受体具有功能并与其气味结合。印迹强度测量表明,每种嗅觉受体都可以用至少一种肽去污剂产生毫克级的量。肽去污剂的能力与去污剂 Brij-35 相当。10 种肽去污剂能够使 12 种嗅觉受体具有功能性,这表明它们可用作一种新的嗅觉受体去污剂,也可能是其他 G 蛋白偶联受体和膜蛋白的去污剂。