FOM Institute for Plasma Physics Rijnhuizen, Edisonbaan 14, 3439MN Nieuwegein, The Netherlands.
J Am Soc Mass Spectrom. 2012 Feb;23(2):290-300. doi: 10.1007/s13361-011-0297-3. Epub 2011 Dec 15.
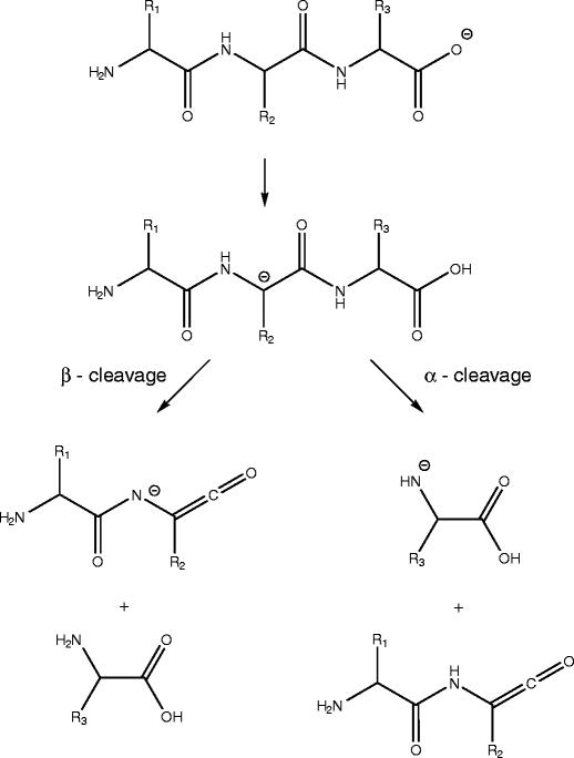
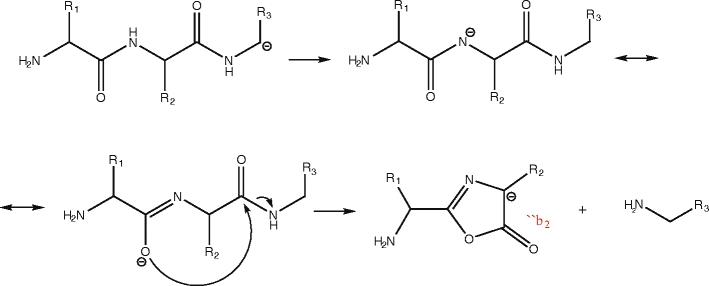
Infrared spectra of anionic b-type fragments generated by collision induced dissociation (CID) from deprotonated peptides are reported. Spectra of the b(2) fragments of deprotonated AlaAlaAla and AlaTyrAla have been recorded over the 800-1800 cm(-1) spectral range by multiple-photon dissociation (MPD) spectroscopy using an FTICR mass spectrometer in combination with the free electron laser FELIX. Structural characterization of the b-type fragments is accomplished by comparison with density functional theory calculated spectra at the B3LYP/6-31++G(d,p) level for different isomeric structures. Although diketopiperazine structures represent the energetically lowest isomers, the IR spectra suggest an oxazolone structure for the b(2) fragments of both peptides. Deprotonation is shown to occur on the oxazolone α-carbon, which leads to a conjugated structure in which the negative charge is practically delocalized over the entire oxazolone ring, providing enhanced gas-phase stability.
报道了由去质子肽的碰撞诱导解离(CID)产生的阴离子 b 型片段的红外光谱。通过使用 FTICR 质谱仪与自由电子激光 FELIX 结合的多光子解离(MPD)光谱法,在 800-1800 cm(-1) 光谱范围内记录了去质子化 AlaAlaAla 和 AlaTyrAla 的 b(2)片段的光谱。通过与不同异构体结构的 B3LYP/6-31++G(d,p) 水平的密度泛函理论计算光谱进行比较,完成了 b 型片段的结构特征描述。尽管二酮哌嗪结构代表能量最低的异构体,但红外光谱表明这两种肽的 b(2)片段具有噁唑酮结构。去质子化发生在噁唑酮的α-碳上,导致共轭结构,其中负电荷实际上分布在整个噁唑酮环上,提供了增强的气相稳定性。