Suppr超能文献

在从胎儿期到新生儿期过渡过程中,牵张对膈肌肌纤维激活特性变化的作用。

Contribution of stretch to the change of activation properties of muscle fibers in the diaphragm at the transition from fetal to neonatal life.

作者信息

Cannata David J, Crossley Kelly J, Barclay Chris J, Walker David W, West Jan M

机构信息

School of Life and Environmental Sciences, Deakin University Melbourne, VIC, Australia.

出版信息

Front Physiol. 2011 Dec 30;2:109. doi: 10.3389/fphys.2011.00109. eCollection 2011.

Abstract

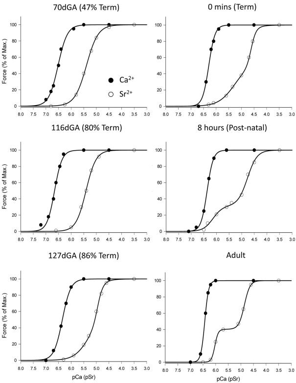
The transition from fetal to postnatal life involves clearance of liquid from the lung and airways, and rapid formation of a functional residual capacity. Despite the importance of the diaphragm in this process, the impact of birth on the mechanical and functional activity of its muscle fibers is not known. This study determined the contractile characteristics of individual "skinned" diaphragm fibers from 70 days (0.47) gestation to after birth in sheep. Based on differential sensitivity to the divalent ions calcium (Ca(2+)) and strontium (Sr(2+)), all fibers in the fetal diaphragm were classified as "fast," whereas fibers from the adult sheep diaphragm exhibited a "hybrid" phenotype where both "fast" and "slow" characteristics were present within each single fiber. Transition to the hybrid phenotype occurred at birth, was evident after only 40 min of spontaneous breathing, and could be induced by simple mechanical stretch of diaphragm fibers from near-term fetuses (∼147 days gestation). Both physical stretch of isolated fibers, and mechanical ventilation of the fetal diaphragm in situ, significantly increased sensitivity to Ca(2+) and Sr(2+), maximum force generating capacity, and decreased passive tension in near-term and preterm fetuses; however, only fibers from near-term fetuses showed a complete transition to a "hybrid" activation profile. These findings suggest that stretch associated with the transition from a liquid to air-filled lung at birth induces physical changes of proteins determining the activation and elastic properties of the diaphragm. These changes may allow the diaphragm to meet the increased mechanical demands of breathing immediately after birth.

摘要

从胎儿期到出生后生活的转变涉及肺和气道中液体的清除,以及功能性残气量的快速形成。尽管膈肌在这一过程中很重要,但出生对其肌纤维机械和功能活动的影响尚不清楚。本研究确定了从妊娠70天(0.47)到出生后绵羊个体“去皮”膈肌纤维的收缩特性。根据对二价离子钙(Ca(2+))和锶(Sr(2+))的不同敏感性,胎儿膈肌中的所有纤维都被归类为“快肌”,而成年绵羊膈肌中的纤维表现出“混合”表型,即每根纤维都同时具有“快肌”和“慢肌”特征。向混合表型的转变发生在出生时,仅在自主呼吸40分钟后就很明显,并且可以通过对近足月胎儿(约妊娠147天)的膈肌纤维进行简单的机械拉伸来诱导。离体纤维的物理拉伸以及胎儿膈肌原位机械通气,均显著增加了近足月和早产胎儿对Ca(2+)和Sr(2+)的敏感性、最大产力能力,并降低了被动张力;然而,只有近足月胎儿的纤维表现出完全转变为“混合”激活模式。这些发现表明,出生时从充满液体的肺到充满空气的肺的转变所伴随的拉伸会引起蛋白质的物理变化,这些蛋白质决定了膈肌的激活和弹性特性。这些变化可能使膈肌能够满足出生后立即增加的呼吸机械需求。

https://cdn.ncbi.nlm.nih.gov/pmc/blobs/0ffb/3248696/4b4b5385c91d/fphys-02-00109-g001.jpg

文献AI研究员

20分钟写一篇综述,助力文献阅读效率提升50倍。

立即体验

用中文搜PubMed

大模型驱动的PubMed中文搜索引擎

马上搜索

文档翻译

学术文献翻译模型,支持多种主流文档格式。

立即体验