Suppr超能文献

比较分析来自不同沿海海洋、河口和淡水生态系统的黑鲷雌鱼的繁殖特征。

Comparative analysis of reproductive traits in black-chinned tilapia females from various coastal marine, estuarine and freshwater ecosystems.

机构信息

IRD, Route des Hydrocarbures, Dakar, Sénégal.

出版信息

PLoS One. 2012;7(1):e29464. doi: 10.1371/journal.pone.0029464. Epub 2012 Jan 13.

Abstract

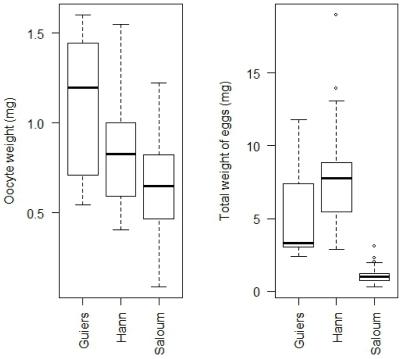
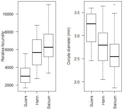
The black-chinned tilapia Sarotherodon melanotheron is a marine teleost characterised by an extreme euryhalinity. However, beyond a certain threshold at very high salinity, the species exhibits impaired growth and precocious reproduction. In this study, the relationships between reproductive parameters, environmental salinity and condition factor were investigated in wild populations of this species that were sampled in two consecutive years (2003 and 2004) from three locations in Senegal with different salinities: Guiers lake (freshwater, 0 psu), Hann bay (seawater, 37 psu) and Saloum estuary (hypersaline water, 66-127 psu). The highest absolute fecundity and spawning weight were recorded in seawater by comparison to either freshwater or hypersaline water whereas the poorest condition factors were observed in the most saline sampling site. These results reflect higher resource allocation to the reproduction due to the lowest costs of adaptation to salinity in seawater (the natural environment of this species) rather than differences in food resources at sites and/or efficiency at foraging and prey availability. Fecundities, oocyte size as well as spawning weight were consistent from year to year. However, the relative fecundity in the Saloum estuary varied significantly between the dry and rainy raisons with higher values in the wet season, which seems to reflect seasonal variations in environmental salinity. Such a reproductive tactic of producing large amounts of eggs in the rainy season when the salinity in the estuary was lower, would give the fry a better chance at survival and therefore assures a high larval recruitment. An inverse correlation was found between relative fecundity and oocyte size at the two extreme salinity locations, indicating that S. melanotheron has different reproductive strategies in these ecosystems. The adaptive significance of these two reproductive modes is discussed in regard to the heavy osmotic constraint imposed by extreme salinities and high inter-specific competition.

摘要

黑唇鲷 Sarotherodon melanotheron 是一种海洋硬骨鱼,具有极强的广盐性。然而,在非常高的盐度下超过一定的阈值时,该物种的生长和早熟繁殖会受到损害。在这项研究中,我们调查了 2003 年和 2004 年连续两年从塞内加尔三个不同盐度的地点(Guiers 湖,淡水,0 psu;Hann 湾,海水,37 psu;Saloum 河口,高盐水,66-127 psu)采集的野生黑唇鲷种群的繁殖参数、环境盐度和条件因素之间的关系。与淡水或高盐水相比,海水具有最高的绝对繁殖力和产卵重量,而最咸的采样点的条件因素最差。这些结果反映了由于在海水中适应盐度的成本最低(该物种的自然环境),因此对繁殖的资源分配更高,而不是由于在不同地点的食物资源差异以及觅食效率和猎物可用性的差异。产卵力、卵母细胞大小以及产卵重量每年都保持一致。然而,Saloum 河口的相对繁殖力在旱季和雨季之间有显著差异,雨季的数值较高,这似乎反映了环境盐度的季节性变化。这种在雨季大量产卵的生殖策略,在河口盐度较低时,会使幼鱼有更好的生存机会,从而确保高的幼鱼补充。在两个极端盐度的地点发现相对繁殖力和卵母细胞大小之间存在负相关,这表明 S. melanotheron 在这些生态系统中具有不同的繁殖策略。考虑到极端盐度和高种间竞争带来的巨大渗透胁迫,讨论了这两种繁殖模式的适应意义。

https://cdn.ncbi.nlm.nih.gov/pmc/blobs/695d/3258234/706ba4d9f23f/pone.0029464.g001.jpg

文献AI研究员

20分钟写一篇综述,助力文献阅读效率提升50倍。

立即体验

用中文搜PubMed

大模型驱动的PubMed中文搜索引擎

马上搜索

文档翻译

学术文献翻译模型,支持多种主流文档格式。

立即体验