• 文献检索
  • 文档翻译
  • 深度研究
  • 学术资讯
  • Suppr Zotero 插件Zotero 插件
  • 邀请有礼
  • 套餐&价格
  • 历史记录
应用&插件
Suppr Zotero 插件Zotero 插件浏览器插件Mac 客户端Windows 客户端微信小程序
定价
高级版会员购买积分包购买API积分包
服务
文献检索文档翻译深度研究API 文档MCP 服务
关于我们
关于 Suppr公司介绍联系我们用户协议隐私条款
关注我们

Suppr 超能文献

核心技术专利:CN118964589B侵权必究
粤ICP备2023148730 号-1Suppr @ 2026

文献检索

告别复杂PubMed语法,用中文像聊天一样搜索,搜遍4000万医学文献。AI智能推荐,让科研检索更轻松。

立即免费搜索

文件翻译

保留排版,准确专业,支持PDF/Word/PPT等文件格式,支持 12+语言互译。

免费翻译文档

深度研究

AI帮你快速写综述,25分钟生成高质量综述,智能提取关键信息,辅助科研写作。

立即免费体验

HIV 阳性个体的红细胞肌苷三磷酸酶活性降低。

Erythrocyte inosine triphosphatase activity is decreased in HIV-seropositive individuals.

机构信息

Department of Clinical Genetics, Maastricht University Medical Centre, Maastricht, The Netherlands.

出版信息

PLoS One. 2012;7(1):e30175. doi: 10.1371/journal.pone.0030175. Epub 2012 Jan 17.

DOI:10.1371/journal.pone.0030175
PMID:22272297
原文链接:https://pmc.ncbi.nlm.nih.gov/articles/PMC3260219/
Abstract

BACKGROUND

Inosine triphosphatase (ITPase) is encoded by the polymorphic gene ITPA and maintains low intracellular levels of the inosine nucleotides ITP and dITP. The most frequently reported polymorphisms are ITPA c.94C>A (rs 1127354) and ITPA c. 124+21 A>C (rs7270101). Some nucleoside-analogues used in the treatment of HIV-seropositive (HIV+) patients are potential substrates for ITPase. Therefore, the frequency of ITPA SNPs and ITPase activity were studied in a population of HIV+-patients.

METHODS

The study population consisted of 222 patients, predominantly Caucasian males, >95% using HAART. Erythrocyte ITPase activity was determined by measuring the formation of IMP from ITP. ITPA genotype was determined by sequencing genomic DNA. Distribution of ITPase activity, genotype-phenotype correlation and allele frequencies were compared to 198 control subjects. The effect of nucleoside analogues on ITPase activity was studied using lymphoblastic T-cell cultures and human recombinant ITPase. Enzyme kinetic experiments were performed on erythrocyte ITPase from HIV+ patients and controls.

RESULTS

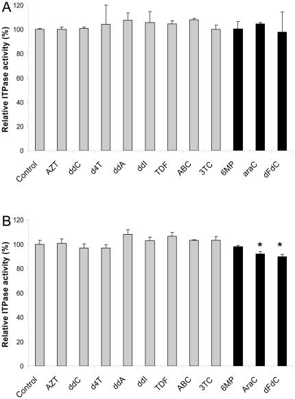
No difference was observed in the allele frequencies between the HIV+-cohort (± HAART) and the control population. HIV+ carriers of the wild type and ITPA c.94C>A had significantly lower ITPase activities than control subjects with the same genotype (p<0.005). This was not observed in ITPA c. 124+21 A>C carriers. Nucleoside analogues did not affect ITPase activity in cell culture and human recombinant ITPase.

CONCLUSION

ITPA population genetics were identical in HIV+ and control populations. However, the majority of HIV+-patients had decreased erythrocyte ITPase activity compared to controls, probably due to decreased amounts of ITPase protein. It seems unlikely that ITPase activity is decreased due to nucleoside analogues (HAART). Long-term effects of HIV-infection altering ITPase protein expression or stability may explain the phenomenon observed.

摘要

背景

肌苷三磷酸酶(ITPase)由多态基因 ITPA 编码,可维持肌苷核苷酸 ITP 和 dITP 的细胞内低水平。最常报道的多态性是 ITPA c.94C>A(rs1127354)和 ITPA c.124+21 A>C(rs7270101)。一些用于治疗 HIV 阳性(HIV+)患者的核苷类似物是 ITPase 的潜在底物。因此,研究了 HIV+患者人群中 ITPA SNP 和 ITPase 活性的频率。

方法

研究人群由 222 名患者组成,主要为高加索裔男性,95%以上使用 HAART。通过测量 ITP 形成 IMP 来测定红细胞 ITPase 活性。通过测序基因组 DNA 确定 ITPA 基因型。将 ITPase 活性、基因型-表型相关性和等位基因频率的分布与 198 名对照进行比较。使用淋巴母细胞 T 细胞培养和人重组 ITPase 研究核苷类似物对 ITPase 活性的影响。在 HIV+患者和对照的红细胞 ITPase 上进行酶动力学实验。

结果

HIV+ 队列(±HAART)和对照组之间的等位基因频率没有差异。与具有相同基因型的对照相比,野生型和 ITPA c.94C>A 的 HIV+携带者的 ITPase 活性显着降低(p<0.005)。在 ITPA c.124+21 A>C 携带者中没有观察到这种情况。核苷类似物在细胞培养和人重组 ITPase 中均不影响 ITPase 活性。

结论

HIV+ 和对照组的 ITPA 群体遗传学相同。然而,与对照组相比,大多数 HIV+患者的红细胞 ITPase 活性降低,可能是由于 ITPase 蛋白量减少所致。由于核苷类似物(HAART)导致 ITPase 活性降低的可能性似乎不大。HIV 感染对 ITPase 蛋白表达或稳定性的长期影响可能解释了观察到的现象。

https://cdn.ncbi.nlm.nih.gov/pmc/blobs/daac/3260219/3292de398ed5/pone.0030175.g001.jpg
https://cdn.ncbi.nlm.nih.gov/pmc/blobs/daac/3260219/3292de398ed5/pone.0030175.g001.jpg
https://cdn.ncbi.nlm.nih.gov/pmc/blobs/daac/3260219/3292de398ed5/pone.0030175.g001.jpg

相似文献

1
Erythrocyte inosine triphosphatase activity is decreased in HIV-seropositive individuals.HIV 阳性个体的红细胞肌苷三磷酸酶活性降低。
PLoS One. 2012;7(1):e30175. doi: 10.1371/journal.pone.0030175. Epub 2012 Jan 17.
2
The effect of ITPA polymorphisms on the enzyme kinetic properties of human erythrocyte inosine triphosphatase toward its substrates ITP and 6-Thio-ITP.ITPA基因多态性对人红细胞肌苷三磷酸酶针对其底物ITP和6-硫代-ITP的酶动力学特性的影响。
Nucleosides Nucleotides Nucleic Acids. 2011 Nov;30(11):839-49. doi: 10.1080/15257770.2011.606789.
3
Erythrocyte Inosine triphosphatase activity: A potential biomarker for adverse events during combination antiretroviral therapy for HIV.红细胞肌苷三磷酸酶活性:HIV联合抗逆转录病毒治疗期间不良事件的潜在生物标志物。
PLoS One. 2018 Jan 12;13(1):e0191069. doi: 10.1371/journal.pone.0191069. eCollection 2018.
4
Inosine Triphosphate Pyrophosphohydrolase Expression: Decreased in Leukocytes of HIV-Infected Patients Using Combination Antiretroviral Therapy.三磷酸肌苷焦磷酸水解酶表达:接受联合抗逆转录病毒治疗的HIV感染患者白细胞中表达降低。
J Acquir Immune Defic Syndr. 2016 Dec 1;73(4):390-395. doi: 10.1097/QAI.0000000000001130.
5
Measurement of erythrocyte inosine triphosphate pyrophosphohydrolase (ITPA) activity by HPLC and correlation of ITPA genotype-phenotype in a Caucasian population.采用高效液相色谱法测定高加索人群中红细胞肌苷三磷酸焦磷酸水解酶(ITPA)活性及ITPA基因-表型的相关性
Clin Chem. 2006 Feb;52(2):240-7. doi: 10.1373/clinchem.2005.059501. Epub 2005 Dec 29.
6
Metabolic events in HIV-infected patients using abacavir are associated with erythrocyte inosine triphosphatase activity.使用阿巴卡韦的 HIV 感染患者的代谢事件与红细胞肌苷三磷酸酶活性有关。
J Antimicrob Chemother. 2019 Jan 1;74(1):157-164. doi: 10.1093/jac/dky383.
7
Quantitative in vitro and in vivo characterization of the human P32T mutant ITPase.人P32T突变型ITP酶的体外和体内定量表征
Biochim Biophys Acta. 2010 Feb;1802(2):269-74. doi: 10.1016/j.bbadis.2009.11.002. Epub 2009 Nov 13.
8
Inosine triphosphate pyrophosphohydrolase activity: more accurate predictor for ribavirin-induced anemia in hepatitis C infected patients than ITPA genotype.三磷酸肌苷焦磷酸水解酶活性:相比于肌苷三磷酸焦磷酸水解酶(ITPA)基因型,它是丙型肝炎感染患者中利巴韦林诱导贫血的更准确预测指标。
Clin Chem Lab Med. 2015 Nov;53(12):2021-9. doi: 10.1515/cclm-2015-0057.
9
Inosine Triphosphate Pyrophosphatase Dephosphorylates Ribavirin Triphosphate and Reduced Enzymatic Activity Potentiates Mutagenesis in Hepatitis C Virus.肌苷三磷酸焦磷酸酶使利巴韦林三磷酸去磷酸化,降低酶活性增强丙型肝炎病毒的突变。
J Virol. 2018 Sep 12;92(19). doi: 10.1128/JVI.01087-18. Print 2018 Oct 1.
10
Analysis of ITPA phenotype-genotype correlation in the Bulgarian population revealed a novel gene variant in exon 6.对保加利亚人群中ITPA表型-基因型相关性的分析揭示了外显子6中的一种新基因变异。
Ther Drug Monit. 2007 Feb;29(1):6-10. doi: 10.1097/FTD.0b013e3180308554.

引用本文的文献

1
Erythrocyte Inosine triphosphatase activity: A potential biomarker for adverse events during combination antiretroviral therapy for HIV.红细胞肌苷三磷酸酶活性:HIV联合抗逆转录病毒治疗期间不良事件的潜在生物标志物。
PLoS One. 2018 Jan 12;13(1):e0191069. doi: 10.1371/journal.pone.0191069. eCollection 2018.

本文引用的文献

1
A role for ITPA variants in the clinical course of pulmonary Langerhans' cell histiocytosis?
Eur Respir J. 2010 Sep;36(3):684-6. doi: 10.1183/09031936.00026610.
2
ITPA gene variants protect against anaemia in patients treated for chronic hepatitis C.ITPA 基因突变可预防慢性丙型肝炎患者的贫血。
Nature. 2010 Mar 18;464(7287):405-8. doi: 10.1038/nature08825. Epub 2010 Feb 21.
3
Quantitative in vitro and in vivo characterization of the human P32T mutant ITPase.人P32T突变型ITP酶的体外和体内定量表征
Biochim Biophys Acta. 2010 Feb;1802(2):269-74. doi: 10.1016/j.bbadis.2009.11.002. Epub 2009 Nov 13.
4
Functional study of the P32T ITPA variant associated with drug sensitivity in humans.与人类药物敏感性相关的P32T ITPA变体的功能研究。
J Mol Biol. 2009 Sep 25;392(3):602-13. doi: 10.1016/j.jmb.2009.07.051. Epub 2009 Jul 23.
5
A comparative study of inosine triphosphatase activity in fresh erythrocytes and dried blood spots.新鲜红细胞与干血斑中肌苷三磷酸酶活性的比较研究。
Clin Chim Acta. 2009 Jul;405(1-2):155. doi: 10.1016/j.cca.2009.04.023. Epub 2009 May 3.
6
Relevance of pharmacogenetic aspects of mercaptopurine metabolism in the treatment of interstitial lung disease.
Curr Opin Pulm Med. 2007 Sep;13(5):458-63. doi: 10.1097/MCP.0b013e328273bc18.
7
Pharmacogenetic significance of inosine triphosphatase.肌苷三磷酸酶的药物遗传学意义。
Pharmacogenomics. 2007 Sep;8(9):1221-8. doi: 10.2217/14622416.8.9.1221.
8
Analysis of ITPA phenotype-genotype correlation in the Bulgarian population revealed a novel gene variant in exon 6.对保加利亚人群中ITPA表型-基因型相关性的分析揭示了外显子6中的一种新基因变异。
Ther Drug Monit. 2007 Feb;29(1):6-10. doi: 10.1097/FTD.0b013e3180308554.
9
The ITPA c.94C>A and g.IVS2+21A>C sequence variants contribute to missplicing of the ITPA gene.ITPA基因的c.94C>A和g.IVS2+21A>C序列变异导致ITPA基因的剪接异常。
Biochim Biophys Acta. 2007 Jan;1772(1):96-102. doi: 10.1016/j.bbadis.2006.10.006. Epub 2006 Oct 18.
10
Determination of ITPase activity in erythrocyte lysates obtained for determination of TPMT activity.为测定硫嘌呤甲基转移酶(TPMT)活性而获取的红细胞裂解物中次黄嘌呤-鸟嘌呤磷酸核糖转移酶(ITPase)活性的测定。
Nucleosides Nucleotides Nucleic Acids. 2006;25(9-11):1129-32. doi: 10.1080/15257770600894253.