• 文献检索
  • 文档翻译
  • 深度研究
  • 学术资讯
  • Suppr Zotero 插件Zotero 插件
  • 邀请有礼
  • 套餐&价格
  • 历史记录
应用&插件
Suppr Zotero 插件Zotero 插件浏览器插件Mac 客户端Windows 客户端微信小程序
定价
高级版会员购买积分包购买API积分包
服务
文献检索文档翻译深度研究API 文档MCP 服务
关于我们
关于 Suppr公司介绍联系我们用户协议隐私条款
关注我们

Suppr 超能文献

核心技术专利:CN118964589B侵权必究
粤ICP备2023148730 号-1Suppr @ 2026

文献检索

告别复杂PubMed语法,用中文像聊天一样搜索,搜遍4000万医学文献。AI智能推荐,让科研检索更轻松。

立即免费搜索

文件翻译

保留排版,准确专业,支持PDF/Word/PPT等文件格式,支持 12+语言互译。

免费翻译文档

深度研究

AI帮你快速写综述,25分钟生成高质量综述,智能提取关键信息,辅助科研写作。

立即免费体验

适应丰富的低质量食物提高了在黑腹果蝇中竞争有限的高质量食物的能力。

Adaptation to abundant low quality food improves the ability to compete for limited rich food in Drosophila melanogaster.

机构信息

Department of Ecology and Evolution, University of Lausanne, Switzerland.

出版信息

PLoS One. 2012;7(1):e30650. doi: 10.1371/journal.pone.0030650. Epub 2012 Jan 24.

DOI:10.1371/journal.pone.0030650
PMID:22292007
原文链接:https://pmc.ncbi.nlm.nih.gov/articles/PMC3265517/
Abstract

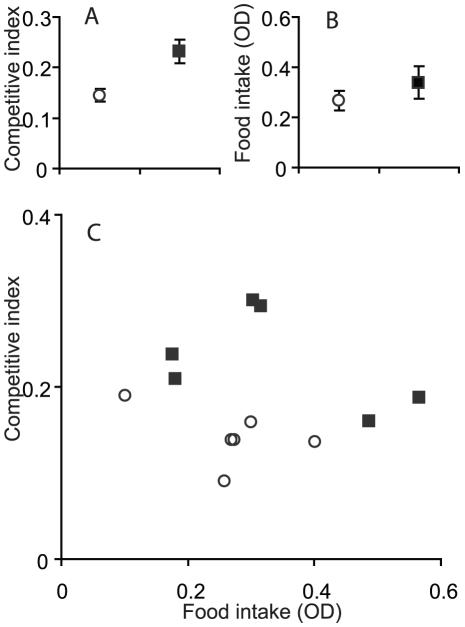
The rate of food consumption is a major factor affecting success in scramble competition for a limited amount of easy-to-find food. Accordingly, several studies report positive genetic correlations between larval competitive ability and feeding rate in Drosophila; both become enhanced in populations evolving under larval crowding. Here, we report the experimental evolution of enhanced competitive ability in populations of D. melanogaster previously maintained for 84 generations at low density on an extremely poor larval food. In contrast to previous studies, greater competitive ability was not associated with the evolution of higher feeding rate; if anything, the correlation between the two traits across lines tended to be negative. Thus, enhanced competitive ability may be favored by nutritional stress even when competition is not intense, and competitive ability may be decoupled from the rate of food consumption.

摘要

食物消耗率是影响在有限的易寻食物上进行竞争的关键因素。因此,一些研究报告指出,在果蝇中,幼虫的竞争能力和摄食率之间存在正的遗传相关性;在幼虫拥挤环境下进化的种群中,两者都会增强。在这里,我们报告了在极度贫瘠的幼虫食物上以低密度连续维持 84 代的黑腹果蝇种群的实验进化情况。与以前的研究不同,更强的竞争能力与更高的摄食率的进化无关;如果有的话,这两个特征在不同的进化线之间的相关性往往是负的。因此,即使竞争不激烈,营养压力也可能有利于增强竞争能力,而且竞争能力可能与食物消耗率脱钩。

https://cdn.ncbi.nlm.nih.gov/pmc/blobs/3599/3265517/95edc4bf1735/pone.0030650.g001.jpg
https://cdn.ncbi.nlm.nih.gov/pmc/blobs/3599/3265517/95edc4bf1735/pone.0030650.g001.jpg
https://cdn.ncbi.nlm.nih.gov/pmc/blobs/3599/3265517/95edc4bf1735/pone.0030650.g001.jpg

相似文献

1
Adaptation to abundant low quality food improves the ability to compete for limited rich food in Drosophila melanogaster.适应丰富的低质量食物提高了在黑腹果蝇中竞争有限的高质量食物的能力。
PLoS One. 2012;7(1):e30650. doi: 10.1371/journal.pone.0030650. Epub 2012 Jan 24.
2
Evolution of increased larval competitive ability in Drosophila melanogaster without increased larval feeding rate.黑腹果蝇幼虫竞争能力增强的进化,而幼虫摄食率并未提高。
J Genet. 2016 Sep;95(3):491-503. doi: 10.1007/s12041-016-0656-8.
3
Adaptation to larval crowding in Drosophila ananassae and Drosophila nasuta nasuta: increased larval competitive ability without increased larval feeding rate.拟果蝇和纳苏果蝇对幼虫拥挤的适应性:幼虫竞争能力增强但取食速率未提高。
J Genet. 2016 Jun;95(2):411-25. doi: 10.1007/s12041-016-0655-9.
4
Faster development does not lead to correlated evolution of greater pre-adult competitive ability in Drosophila melanogaster.在黑腹果蝇中,更快的发育并不会导致成虫前竞争能力更强的相关进化。
Biol Lett. 2005 Mar 22;1(1):91-4. doi: 10.1098/rsbl.2004.0261.
5
Evolution of pathogen-specific improved survivorship post-infection in populations of Drosophila melanogaster adapted to larval crowding.在适应幼虫拥挤的黑腹果蝇种群中,病原体特异性感染后存活能力的进化。
PLoS One. 2021 Apr 14;16(4):e0250055. doi: 10.1371/journal.pone.0250055. eCollection 2021.
6
Evolutionary change in parasitoid resistance under crowded conditions in Drosophila melanogaster.黑腹果蝇在拥挤条件下寄生抗性的进化变化。
Evolution. 2005 Jun;59(6):1292-9.
7
Density-dependent selection in : evolution of egg size and hatching time.密度依赖选择:卵大小和孵化时间的进化
J Genet. 2022;101.
8
Life-history consequences of adaptation to larval nutritional stress in Drosophila.果蝇对幼虫营养胁迫适应的生活史后果
Evolution. 2009 Sep;63(9):2389-401. doi: 10.1111/j.1558-5646.2009.00718.x. Epub 2009 May 16.
9
A fitness cost of learning ability in Drosophila melanogaster.黑腹果蝇学习能力的适应性代价。
Proc Biol Sci. 2003 Dec 7;270(1532):2465-9. doi: 10.1098/rspb.2003.2548.
10
Altered regulation of sleep and feeding contributes to starvation resistance in Drosophila melanogaster.睡眠和进食调节的改变有助于黑腹果蝇的抗饥饿能力。
J Exp Biol. 2014 Sep 1;217(Pt 17):3122-32. doi: 10.1242/jeb.103309. Epub 2014 Jun 19.

引用本文的文献

1
Genome-wide selection signatures reveal widespread synergistic effects of two different stressors in .全基因组选择信号揭示了两种不同胁迫因素在. 中广泛存在的协同效应。
Proc Biol Sci. 2022 Oct 26;289(1985):20221857. doi: 10.1098/rspb.2022.1857. Epub 2022 Oct 19.
2
DIlp7-Producing Neurons Regulate Insulin-Producing Cells in .产生DIlp7的神经元在……中调节胰岛素产生细胞。 (你提供的原文似乎不完整,最后的“in.”后面应该还有具体内容)
Front Physiol. 2021 Jul 27;12:630390. doi: 10.3389/fphys.2021.630390. eCollection 2021.
3
Life-History Evolution and the Genetics of Fitness Components in .

本文引用的文献

1
EVOLUTION OF HIGHER FEEDING RATE IN DROSOPHILA DUE TO DENSITY-DEPENDENT NATURAL SELECTION.果蝇中由于密度依赖型自然选择导致的更高摄食率的进化
Evolution. 1988 Sep;42(5):1090-1093. doi: 10.1111/j.1558-5646.1988.tb02527.x.
2
ASSOCIATION BETWEEN FEEDING RATE AND PARASITOID RESISTANCE IN DROSOPHILA MELANOGASTER.黑腹果蝇的摄食率与寄生抗性之间的关联
Evolution. 1999 Aug;53(4):1302-1305. doi: 10.1111/j.1558-5646.1999.tb04544.x.
3
DENSITY-DEPENDENT NATURAL SELECTION IN DROSOPHILA: EVOLUTION OF GROWTH RATE AND BODY SIZE.果蝇中密度依赖型自然选择:生长速率与体型的进化
生活史进化与. 适应度成分的遗传学
Genetics. 2020 Jan;214(1):3-48. doi: 10.1534/genetics.119.300160.
4
Starvation-Induced Dietary Behaviour in Drosophila melanogaster Larvae and Adults.黑腹果蝇幼虫和成虫中饥饿诱导的饮食行为
Sci Rep. 2015 Sep 24;5:14285. doi: 10.1038/srep14285.
5
Prepupal building behavior in Drosophila melanogaster and its evolution under resource and time constraints.黑腹果蝇蛹前期筑巢行为及其在资源和时间限制下的进化
PLoS One. 2015 Feb 11;10(2):e0117280. doi: 10.1371/journal.pone.0117280. eCollection 2015.
6
A model of the evolution of larval feeding rate in Drosophila driven by conflicting energy demands.由相互冲突的能量需求驱动的果蝇幼虫摄食率进化模型。
Genetica. 2015 Feb;143(1):93-100. doi: 10.1007/s10709-015-9818-5. Epub 2015 Jan 29.
7
Life-history consequences of chronic nutritional stress in an outbreaking insect defoliator.一种爆发性食叶昆虫慢性营养胁迫的生活史后果
PLoS One. 2014 Feb 5;9(2):e88039. doi: 10.1371/journal.pone.0088039. eCollection 2014.
8
Predatory cannibalism in Drosophila melanogaster larvae.黑腹果蝇幼虫中的掠夺性同类相食。
Nat Commun. 2013;4:1789. doi: 10.1038/ncomms2744.
9
Dietary composition regulates Drosophila mobility and cardiac physiology.饮食构成调节果蝇的活动能力和心脏生理机能。
J Exp Biol. 2013 Mar 1;216(Pt 5):859-68. doi: 10.1242/jeb.078758. Epub 2012 Nov 15.
10
Evolution of foraging behaviour in response to chronic malnutrition in Drosophila melanogaster.慢性营养不良条件下果蝇觅食行为的进化。
Proc Biol Sci. 2012 Sep 7;279(1742):3540-6. doi: 10.1098/rspb.2012.0966. Epub 2012 Jun 13.
Evolution. 1997 Apr;51(2):420-432. doi: 10.1111/j.1558-5646.1997.tb02429.x.
4
Chronic malnutrition favours smaller critical size for metamorphosis initiation in Drosophila melanogaster.慢性营养不良有利于黑腹果蝇变态起始的临界体型更小。
J Evol Biol. 2012 Feb;25(2):288-92. doi: 10.1111/j.1420-9101.2011.02419.x. Epub 2011 Nov 28.
5
Plastic and evolutionary responses of cell size and number to larval malnutrition in Drosophila melanogaster.果蝇幼虫营养不良时细胞大小和数量的可塑性和进化响应。
J Evol Biol. 2011 Apr;24(4):897-903. doi: 10.1111/j.1420-9101.2010.02225.x. Epub 2011 Jan 31.
6
Life-history consequences of adaptation to larval nutritional stress in Drosophila.果蝇对幼虫营养胁迫适应的生活史后果
Evolution. 2009 Sep;63(9):2389-401. doi: 10.1111/j.1558-5646.2009.00718.x. Epub 2009 May 16.
7
Experimental evolution shows Drosophila melanogaster resistance to a microsporidian pathogen has fitness costs.实验进化表明,黑腹果蝇对一种微孢子虫病原体的抗性具有适应性代价。
Evolution. 2009 Jan;63(1):104-14. doi: 10.1111/j.1558-5646.2008.00516.x. Epub 2008 Sep 11.
8
Natural variation in food acquisition mediated via a Drosophila cGMP-dependent protein kinase.通过果蝇环鸟苷酸依赖性蛋白激酶介导的食物获取中的自然变异。
J Exp Biol. 2007 Oct;210(Pt 20):3547-58. doi: 10.1242/jeb.006924.
9
Reduced larval feeding rate is a strong evolutionary correlate of rapid development in Drosophila melanogaster.幼虫摄食率降低是黑腹果蝇快速发育的一个重要进化关联因素。
J Genet. 2006 Dec;85(3):209-12. doi: 10.1007/BF02935333.
10
Faster development does not lead to correlated evolution of greater pre-adult competitive ability in Drosophila melanogaster.在黑腹果蝇中,更快的发育并不会导致成虫前竞争能力更强的相关进化。
Biol Lett. 2005 Mar 22;1(1):91-4. doi: 10.1098/rsbl.2004.0261.