Suppr超能文献

探索低剂量一氧化碳作为治疗妊娠并发症的潜力。

Exploring the potential of low doses carbon monoxide as therapy in pregnancy complications.

作者信息

El-Mousleh Tarek, Casalis Pablo A, Wollenberg Ivonne, Zenclussen Maria L, Volk Hans D, Langwisch Stefanie, Jensen Federico, Zenclussen Ana C

机构信息

Department of Experimental Obstetrics and Gynecology, Medical Faculty, Otto-von-Guericke University, Magdeburg, Germany.

出版信息

Med Gas Res. 2012 Feb 20;2(1):4. doi: 10.1186/2045-9912-2-4.

Abstract

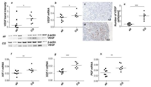
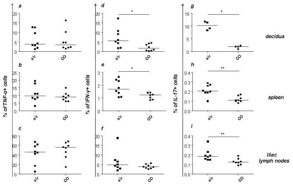
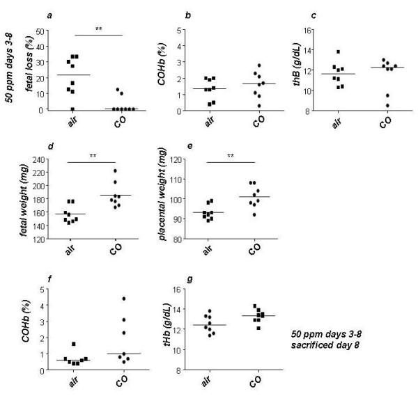
Heme Oxygenase-1 (HO-1) has been shown to play a pivotal role in pregnancy outcome and its ablation leads to abnormal placentation, intrauterine fetal growth restriction (IUGR) and subsequent intrauterine fetal death. Carbon monoxide (CO) has been found to mimic the protective effects of HO-1 activity, rescuing HO-1-deficient fetuses. This gasotransmitter arises in biological systems during the oxidative catabolism of heme by HO. Here, we explored the potential of CO in preventing IUGR and established the optimal doses and therapeutic time window in a clinically relevant mouse model. We additionally investigated the pathways activated upon CO application in vivo. We established 50 ppm as the best lowest dose of CO necessary to prevent growth restriction being the optimal time frame during days 3 to 8 of mouse pregnancy. CO lead to higher fetal and placental weights and avoided fetal death without showing any pathologic effects. CO breathing further suppressed inflammatory responses, diminished placenta apoptosis and complement deposition and regulated placental angiogenesis. Our results confirm the protective role of the HO-1/CO axis and point this gas as an emerging therapeutic possibility which is worth to further explore.

摘要

血红素加氧酶-1(HO-1)已被证明在妊娠结局中起关键作用,其缺失会导致胎盘形成异常、宫内胎儿生长受限(IUGR)以及随后的宫内胎儿死亡。一氧化碳(CO)已被发现可模拟HO-1活性的保护作用,挽救HO-1缺陷型胎儿。这种气体信号分子在生物系统中由HO对血红素进行氧化分解时产生。在此,我们在一个临床相关的小鼠模型中探究了CO预防IUGR的潜力,并确定了最佳剂量和治疗时间窗。我们还研究了体内应用CO后激活的信号通路。我们确定50 ppm为预防生长受限所需的最佳最低CO剂量,小鼠妊娠第3至8天为最佳时间范围。CO可增加胎儿和胎盘重量,避免胎儿死亡,且未显示任何病理效应。吸入CO还可进一步抑制炎症反应,减少胎盘细胞凋亡和补体沉积,并调节胎盘血管生成。我们的结果证实了HO-1/CO轴的保护作用,并指出这种气体是一种值得进一步探索的新兴治疗可能性。

https://cdn.ncbi.nlm.nih.gov/pmc/blobs/5f16/3837472/dfc39376d8c0/2045-9912-2-4-1.jpg

文献检索

告别复杂PubMed语法,用中文像聊天一样搜索,搜遍4000万医学文献。AI智能推荐,让科研检索更轻松。

立即免费搜索

文件翻译

保留排版,准确专业,支持PDF/Word/PPT等文件格式,支持 12+语言互译。

免费翻译文档

深度研究

AI帮你快速写综述,25分钟生成高质量综述,智能提取关键信息,辅助科研写作。

立即免费体验