• 文献检索
  • 文档翻译
  • 深度研究
  • 学术资讯
  • Suppr Zotero 插件Zotero 插件
  • 邀请有礼
  • 套餐&价格
  • 历史记录
应用&插件
Suppr Zotero 插件Zotero 插件浏览器插件Mac 客户端Windows 客户端微信小程序
定价
高级版会员购买积分包购买API积分包
服务
文献检索文档翻译深度研究API 文档MCP 服务
关于我们
关于 Suppr公司介绍联系我们用户协议隐私条款
关注我们

Suppr 超能文献

核心技术专利:CN118964589B侵权必究
粤ICP备2023148730 号-1Suppr @ 2026

文献检索

告别复杂PubMed语法,用中文像聊天一样搜索,搜遍4000万医学文献。AI智能推荐,让科研检索更轻松。

立即免费搜索

文件翻译

保留排版,准确专业,支持PDF/Word/PPT等文件格式,支持 12+语言互译。

免费翻译文档

深度研究

AI帮你快速写综述,25分钟生成高质量综述,智能提取关键信息,辅助科研写作。

立即免费体验

用于实时 PCR 定量检测大鼠肝毒性模型中 microRNAs 和信使 RNAs 的参考基因。

Reference genes for real-time PCR quantification of microRNAs and messenger RNAs in rat models of hepatotoxicity.

机构信息

IFISE, CONICET-UNR, Rosario, Argentina.

出版信息

PLoS One. 2012;7(5):e36323. doi: 10.1371/journal.pone.0036323. Epub 2012 May 1.

DOI:10.1371/journal.pone.0036323
PMID:22563491
原文链接:https://pmc.ncbi.nlm.nih.gov/articles/PMC3341372/
Abstract

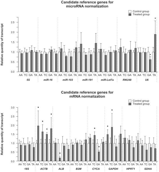
Hepatotoxicity is associated with major changes in liver gene expression induced by xenobiotic exposure. Understanding the underlying mechanisms is critical for its clinical diagnosis and treatment. MicroRNAs are key regulators of gene expression that control mRNA stability and translation, during normal development and pathology. The canonical technique to measure gene transcript levels is Real-Time qPCR, which has been successfully modified to determine the levels of microRNAs as well. However, in order to obtain accurate data in a multi-step method like RT-qPCR, the normalization with endogenous, stably expressed reference genes is mandatory. Since the expression stability of candidate reference genes varies greatly depending on experimental factors, the aim of our study was to identify a combination of genes for optimal normalization of microRNA and mRNA qPCR expression data in experimental models of acute hepatotoxicity. Rats were treated with four traditional hepatotoxins: acetaminophen, carbon tetrachloride, D-galactosamine and thioacetamide, and the liver expression levels of two groups of candidate reference genes, one for microRNA and the other for mRNA normalization, were determined by RT-qPCR in compliance with the MIQE guidelines. In the present study, we report that traditional reference genes such as U6 spliceosomal RNA, Beta Actin and Glyceraldehyde-3P-dehydrogenase altered their expression in response to classic hepatotoxins and therefore cannot be used as reference genes in hepatotoxicity studies. Stability rankings of candidate reference genes, considering only those that did not alter their expression, were determined using geNorm, NormFinder and BestKeeper software packages. The potential candidates whose measurements were stable were further tested in different combinations to find the optimal set of reference genes that accurately determine mRNA and miRNA levels. Finally, the combination of MicroRNA-16/5S Ribosomal RNA and Beta 2 Microglobulin/18S Ribosomal RNA were validated as optimal reference genes for microRNA and mRNA quantification, respectively, in rat models of acute hepatotoxicity.

摘要

肝毒性与外源性物质暴露引起的肝脏基因表达的重大变化有关。了解其潜在机制对于其临床诊断和治疗至关重要。microRNAs 是基因表达的关键调节因子,可控制 mRNA 的稳定性和翻译,在正常发育和病理过程中都是如此。测量基因转录本水平的经典技术是实时 qPCR,该技术已成功修改为确定 microRNAs 的水平。然而,在像 RT-qPCR 这样的多步骤方法中,为了获得准确的数据,必须使用内源性、稳定表达的参照基因进行标准化。由于候选参照基因的表达稳定性因实验因素而异,因此我们研究的目的是确定一组基因,以最佳地对急性肝毒性实验模型中的 microRNA 和 mRNA qPCR 表达数据进行标准化。大鼠用四种传统肝毒素:对乙酰氨基酚、四氯化碳、D-半乳糖胺和硫代乙酰胺处理,然后通过 RT-qPCR 测定两组候选参照基因的肝表达水平,一组用于 microRNA 标准化,另一组用于 mRNA 标准化,符合 MIQE 指南。在本研究中,我们报告称,传统的参照基因,如 U6 剪接体 RNA、β肌动蛋白和甘油醛-3-磷酸脱氢酶,在响应经典肝毒素时改变了它们的表达,因此不能在肝毒性研究中用作参照基因。使用 geNorm、NormFinder 和 BestKeeper 软件包,仅考虑那些未改变表达的候选参照基因,确定候选参照基因的稳定性排名。然后,进一步测试稳定的潜在候选基因,以找到可准确确定 mRNA 和 miRNA 水平的最佳参照基因组合。最后,将 MicroRNA-16/5S 核糖体 RNA 和 Beta 2 微球蛋白/18S 核糖体 RNA 的组合分别验证为急性肝毒性大鼠模型中 microRNA 和 mRNA 定量的最佳参照基因。

https://cdn.ncbi.nlm.nih.gov/pmc/blobs/c93d/3341372/9102321f8ab5/pone.0036323.g005.jpg
https://cdn.ncbi.nlm.nih.gov/pmc/blobs/c93d/3341372/5198daf1d08f/pone.0036323.g001.jpg
https://cdn.ncbi.nlm.nih.gov/pmc/blobs/c93d/3341372/d3d75c313c40/pone.0036323.g002.jpg
https://cdn.ncbi.nlm.nih.gov/pmc/blobs/c93d/3341372/2be8ea873fd8/pone.0036323.g003.jpg
https://cdn.ncbi.nlm.nih.gov/pmc/blobs/c93d/3341372/84137b4f0102/pone.0036323.g004.jpg
https://cdn.ncbi.nlm.nih.gov/pmc/blobs/c93d/3341372/9102321f8ab5/pone.0036323.g005.jpg
https://cdn.ncbi.nlm.nih.gov/pmc/blobs/c93d/3341372/5198daf1d08f/pone.0036323.g001.jpg
https://cdn.ncbi.nlm.nih.gov/pmc/blobs/c93d/3341372/d3d75c313c40/pone.0036323.g002.jpg
https://cdn.ncbi.nlm.nih.gov/pmc/blobs/c93d/3341372/2be8ea873fd8/pone.0036323.g003.jpg
https://cdn.ncbi.nlm.nih.gov/pmc/blobs/c93d/3341372/84137b4f0102/pone.0036323.g004.jpg
https://cdn.ncbi.nlm.nih.gov/pmc/blobs/c93d/3341372/9102321f8ab5/pone.0036323.g005.jpg

相似文献

1
Reference genes for real-time PCR quantification of microRNAs and messenger RNAs in rat models of hepatotoxicity.用于实时 PCR 定量检测大鼠肝毒性模型中 microRNAs 和信使 RNAs 的参考基因。
PLoS One. 2012;7(5):e36323. doi: 10.1371/journal.pone.0036323. Epub 2012 May 1.
2
Identification of endogenous reference genes for RT-qPCR analysis of plasma microRNAs levels in rats with acetaminophen-induced hepatotoxicity.对乙酰氨基酚诱导肝毒性大鼠血浆微小RNA水平进行RT-qPCR分析时内源性参照基因的鉴定
J Appl Toxicol. 2013 Nov;33(11):1330-6. doi: 10.1002/jat.2864. Epub 2013 Apr 4.
3
Reference genes for real-time PCR quantification of messenger RNAs and microRNAs in mouse model of obesity.肥胖小鼠模型中用于信使核糖核酸和微核糖核酸实时定量聚合酶链反应的内参基因。
PLoS One. 2014 Jan 17;9(1):e86033. doi: 10.1371/journal.pone.0086033. eCollection 2014.
4
Identification of suitable reference genes for hepatic microRNA quantitation.用于肝脏微小RNA定量分析的合适内参基因的鉴定。
BMC Res Notes. 2014 Mar 7;7:129. doi: 10.1186/1756-0500-7-129.
5
Identification of suitable plasma-based reference genes for miRNAome analysis of major depressive disorder.用于重度抑郁症微小RNA组分析的合适血浆参考基因的鉴定。
J Affect Disord. 2014 Jul;163:133-9. doi: 10.1016/j.jad.2013.12.035. Epub 2014 Jan 2.
6
Selection of reference genes for quantitative real-time PCR in a rat asphyxial cardiac arrest model.大鼠窒息性心脏骤停模型中用于定量实时PCR的内参基因选择。
BMC Mol Biol. 2008 May 28;9:53. doi: 10.1186/1471-2199-9-53.
7
The dilution effect and the importance of selecting the right internal control genes for RT-qPCR: a paradigmatic approach in fetal sheep.稀释效应以及为逆转录定量聚合酶链反应选择合适内参基因的重要性:绵羊胎儿中的一种典型方法
BMC Res Notes. 2015 Feb 27;8:58. doi: 10.1186/s13104-015-0973-7.
8
Identification of Suitable Candidate Reference Genes for Gene Expression Analysis by RT-qPCR in Peripheral Blood Mononuclear Cells of CHB Patients.慢性乙型肝炎患者外周血单个核细胞中用于RT-qPCR基因表达分析的合适候选参考基因的鉴定
Clin Lab. 2016;62(1-2):227-34. doi: 10.7754/clin.lab.2015.150805.
9
Evaluation of suitable reference genes for normalization of microRNA expression by real-time reverse transcription PCR analysis during longan somatic embryogenesis.实时逆转录聚合酶链反应分析在龙眼体胚发生过程中用于 microRNA 表达归一化的合适参考基因的评估。
Plant Physiol Biochem. 2013 May;66:20-5. doi: 10.1016/j.plaphy.2013.02.002. Epub 2013 Feb 14.
10
Identification of valid reference genes for gene expression studies of human stomach cancer by reverse transcription-qPCR.逆转录-qPCR 研究人胃癌基因表达的有效参考基因鉴定。
BMC Cancer. 2010 May 28;10:240. doi: 10.1186/1471-2407-10-240.

引用本文的文献

1
Identification of stable housekeeping genes in mouse liver for studying carbon tetrachloride-induced injury and cellular senescence.鉴定小鼠肝组织中稳定的管家基因,用于研究四氯化碳诱导损伤和细胞衰老。
Sci Rep. 2024 Nov 3;14(1):26544. doi: 10.1038/s41598-024-78183-y.
2
A systematic review on the selection of reference genes for gene expression studies in rodents: are the classics the best choice?关于啮齿动物基因表达研究中内参基因选择的系统评价:经典内参基因是否是最佳选择?
Mol Biol Rep. 2024 Sep 26;51(1):1017. doi: 10.1007/s11033-024-09950-3.
3
Evaluation of suitable reference genes for qPCR normalisation of gene expression in a Achilles tendon injury model.

本文引用的文献

1
Evaluation of potential reference genes for reverse transcription-qPCR studies of physiological responses in Drosophila melanogaster.评估黑腹果蝇生理反应反转录 qPCR 研究中潜在的参考基因。
J Insect Physiol. 2011 Jun;57(6):840-50. doi: 10.1016/j.jinsphys.2011.03.014. Epub 2011 Mar 22.
2
Selection of reference genes for gene expression studies in rats.用于大鼠基因表达研究的内参基因的选择。
J Biotechnol. 2011 Feb 20;151(4):325-34. doi: 10.1016/j.jbiotec.2010.12.017. Epub 2011 Jan 8.
3
Validation of reference gene stability for APAP hepatotoxicity studies in different in vitro systems and identification of novel potential toxicity biomarkers.
评价在跟腱损伤模型中 qPCR 基因表达正常化的合适参考基因。
PLoS One. 2024 Aug 27;19(8):e0306678. doi: 10.1371/journal.pone.0306678. eCollection 2024.
4
Identification of Potential miRNA Biomarkers to Detect Hydrocortisone Administration in Horses.鉴定潜在的 miRNA 生物标志物以检测马氢化可的松的给药情况。
Int J Mol Sci. 2023 Sep 25;24(19):14515. doi: 10.3390/ijms241914515.
5
MicroRNA qPCR normalization in Nile tilapia (Oreochromis niloticus): Effects of acute cold stress on potential reference targets.尼罗罗非鱼(Oreochromis niloticus)microRNA qPCR 归一化:急性冷应激对潜在参照靶基因的影响。
Fish Physiol Biochem. 2023 Jun;49(3):409-423. doi: 10.1007/s10695-023-01190-9. Epub 2023 Apr 19.
6
Reference gene identification for normalisation of RT-qPCR analysis in plasma samples of the rat middle cerebral artery occlusion model.用于大鼠大脑中动脉闭塞模型血浆样本 RT-qPCR 分析标准化的参考基因鉴定。
Vet Med Sci. 2022 Sep;8(5):2076-2085. doi: 10.1002/vms3.879. Epub 2022 Jul 27.
7
Machine learning and bioinformatics approaches for classification and clinical detection of bevacizumab responsive glioblastoma subtypes based on miRNA expression.基于 miRNA 表达的贝伐珠单抗反应性胶质母细胞瘤亚型的分类和临床检测的机器学习和生物信息学方法。
Sci Rep. 2022 May 23;12(1):8685. doi: 10.1038/s41598-022-12566-x.
8
Selection of References for microRNA Quantification in Japanese Flounder () Normal Tissues and Infected Livers.日本牙鲆正常组织和感染肝脏中 microRNA 定量的参考文献选择。
Genes (Basel). 2022 Jan 19;13(2):175. doi: 10.3390/genes13020175.
9
1,8 Cineole and Ellagic acid inhibit hepatocarcinogenesis via upregulation of MiR-122 and suppression of TGF-β1, FSCN1, Vimentin, VEGF, and MMP-9.1,8-桉叶素和鞣花酸通过上调 miR-122 和抑制 TGF-β1、FSCN1、波形蛋白、VEGF 和 MMP-9 抑制肝癌发生。
PLoS One. 2022 Jan 26;17(1):e0258998. doi: 10.1371/journal.pone.0258998. eCollection 2022.
10
Changes in MicroRNA Expression during Rabbit Hemorrhagic Disease Virus (RHDV) Infection.兔出血症病毒(RHDV)感染过程中 microRNA 表达的变化。
Viruses. 2020 Aug 31;12(9):965. doi: 10.3390/v12090965.
验证不同体外系统中对乙酰氨基酚肝毒性研究的参考基因稳定性,并鉴定新的潜在毒性生物标志物。
Toxicol In Vitro. 2010 Oct;24(7):1962-70. doi: 10.1016/j.tiv.2010.08.007. Epub 2010 Aug 21.
4
Normalization strategies for microRNA profiling experiments: a 'normal' way to a hidden layer of complexity?miRNA 表达谱实验的归一化策略:通向复杂性“暗层”的一种“常规”方法?
Biotechnol Lett. 2010 Dec;32(12):1777-88. doi: 10.1007/s10529-010-0380-z. Epub 2010 Aug 12.
5
In vitro inhibition of CSFV replication by retroviral vector-mediated RNA interference.逆转录病毒载体介导的 RNA 干扰抑制猪瘟病毒复制的体外研究。
J Virol Methods. 2010 Nov;169(2):316-21. doi: 10.1016/j.jviromet.2010.07.036. Epub 2010 Aug 4.
6
MicroRNA expression profiling to identify and validate reference genes for relative quantification in colorectal cancer.利用 microRNA 表达谱鉴定和验证结直肠癌相对定量的参考基因。
BMC Cancer. 2010 Apr 29;10:173. doi: 10.1186/1471-2407-10-173.
7
Reference gene selection for real-time RT-PCR in eight kinds of rat regenerating hepatic cells.八种大鼠再生肝细胞实时 RT-PCR 中参考基因的选择。
Mol Biotechnol. 2010 Sep;46(1):49-57. doi: 10.1007/s12033-010-9274-5.
8
Identification of endogenous control genes for normalisation of real-time quantitative PCR data in colorectal cancer.鉴定结直肠癌实时定量 PCR 数据标准化的内参基因。
BMC Mol Biol. 2010 Feb 1;11:12. doi: 10.1186/1471-2199-11-12.
9
Validation of reference genes for quantitative real-time PCR during leaf and flower development in Petunia hybrida.验证矮牵牛叶片和花发育过程中实时定量 PCR 参考基因的有效性。
BMC Plant Biol. 2010 Jan 7;10:4. doi: 10.1186/1471-2229-10-4.
10
Selection of reference genes for quantitative real-time PCR in equine in vivo and fresh and frozen-thawed in vitro blastocysts.马体内以及新鲜和冻融体外囊胚中用于定量实时PCR的内参基因选择
BMC Res Notes. 2009 Dec 11;2:246. doi: 10.1186/1756-0500-2-246.