Suppr超能文献

研究哮喘和非哮喘女性月经周期各阶段的1秒用力呼气量:评估方案可行性。

Studying forced expiratory volume at 1 second over menstrual segments in asthmatic and non-asthmatic women: assessing protocol feasibility.

作者信息

Wegienka Ganesa, Hasiec Ewa, Boushey Homer, Johnson Christine Cole, Strickler Ronald, Zoratti Edward, Havstad Suzanne

机构信息

Department of Public Health Sciences, Henry Ford Hospital, Detroit, MI, USA.

出版信息

BMC Res Notes. 2012 Jul 6;5:261. doi: 10.1186/1756-0500-5-261.

Abstract

BACKGROUND

Sex hormones may play an important role in observed gender differences in asthma incidence and severity, as well as in the observed changes in asthma symptoms during times of hormonal fluctuation (i.e.; premenstrual, pregnancy, etc.). This pilot study sought to demonstrate the feasibility of data collection methods to investigate the effects of sex hormones on lung function in women.

FINDINGS

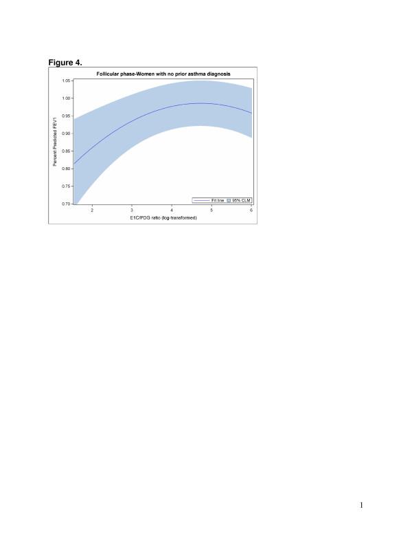
A cohort of 13 women (6 with and 7 without prior asthma diagnoses) who were having menstrual periods and were not taking hormones collected urine samples daily for measurement of estrogen (estrone E1C) and progesterone (Pregnanediol-glucuronide PDG) metabolites over the course of a menstrual segment (bleeding episode plus the following bleeding-free interval). Hormones were used to estimate menstrual segment phase (follicular versus luteal) based on a published algorithm. Daily bleeding and FEV1 measurements were recorded and percent predicted FEV1 was calculated. Percent predicted FEV1 decreased over the course of the follicular but not the luteal phase. More specifically, among women without a prior asthma diagnosis, the E1C/PDG ratio and E1C and PDG were individually associated with FEV1 in the follicular phase. No associations were found between hormones and percent predicted FEV1 in the luteal phase or among asthmatic women. E1C was associated with FEV1 in the five days before bleeding onset only among non-asthmatic women.

DISCUSSION

A study of contiguous daily hormones and symptoms over menstrual segments from a large group of women with and without asthma is needed to better determine within-woman cyclicity of the observed patterns.

摘要

背景

性激素可能在哮喘发病率和严重程度的性别差异中发挥重要作用,也可能在激素波动时期(即月经前、孕期等)哮喘症状的变化中起作用。这项初步研究旨在证明数据收集方法对于调查性激素对女性肺功能影响的可行性。

研究结果

13名处于月经期且未服用激素的女性(6名曾被诊断为哮喘,7名未被诊断为哮喘)组成的队列,在一个月经周期段(出血期加上随后的无出血间隔期)内每天收集尿液样本,用于测量雌激素(雌酮E1C)和孕激素(孕二醇葡萄糖醛酸苷PDG)代谢物。根据已发表的算法,使用激素来估计月经周期段的阶段(卵泡期与黄体期)。记录每日出血量和第一秒用力呼气容积(FEV1)测量值,并计算预测FEV1百分比。预测FEV1百分比在卵泡期下降,但在黄体期没有下降。更具体地说,在没有哮喘既往诊断的女性中,E1C/PDG比值以及E1C和PDG分别与卵泡期的FEV1相关。在黄体期或哮喘女性中未发现激素与预测FEV1百分比之间存在关联。仅在非哮喘女性中,E1C与出血开始前五天的FEV1相关。

讨论

需要对一大群有哮喘和无哮喘女性在月经周期段内连续每日的激素和症状进行研究,以更好地确定观察到的模式在女性体内的周期性。

https://cdn.ncbi.nlm.nih.gov/pmc/blobs/c75b/3392749/3151710c0e70/1756-0500-5-261-1.jpg

文献AI研究员

20分钟写一篇综述,助力文献阅读效率提升50倍。

立即体验

用中文搜PubMed

大模型驱动的PubMed中文搜索引擎

马上搜索

文档翻译

学术文献翻译模型,支持多种主流文档格式。

立即体验