Suppr超能文献

同时靶向抗凋亡基因 BCL2、Bcl-xL、XIAP 和 survivin 的 siRNA 对膀胱癌的抑制作用。

Simultaneous siRNA-mediated knockdown of antiapoptotic BCL2, Bcl-xL, XIAP and survivin in bladder cancer cells.

机构信息

Department of Urology, University Hospital Carl Gustav Carus, Technical University of Dresden, D-01307 Dresden, Germany.

出版信息

Int J Oncol. 2012 Oct;41(4):1271-7. doi: 10.3892/ijo.2012.1549. Epub 2012 Jul 6.

Abstract

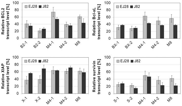
Bladder cancer (BCa) represents the ninth most common malignancy worldwide. Despite intensive treatment with surgery and chemotherapy the prognosis for BCa patients particularly at advanced stages is poor. The ability to evade apoptosis is a hallmark of cancer cells. Since the antiapoptotic genes BCL2, Bcl-xL, XIAP and survivin are frequently upregulated in BCa tissues, their combined siRNA-mediated knockdown might be more potent in decreasing BCa growth than the single inhibition of one target. Against each target two siRNAs were selected that specifically reduced the mRNA and protein levels of their appropriate target in EJ28 and J82 BCa cells. Inhibition of survivin provoked the strongest antiproliferative effect of all single target treatments, for example cell counts decreased by 50%. Simultaneous targeting of all four antiapoptotic genes downregulated expression levels of all targets and mediated significant reductions in cell viability and cell counts as well as induction of apoptosis. In EJ28 cells, combined knockdown of BCL2, Bcl-xL, XIAP and survivin caused a 2.5-fold enhancement in apoptosis rate and reduced cellular viability by 40%. Therefore, simultaneous knockdown of antiapoptotic BCL2, Bcl‑xL, XIAP and survivin may represent a promising treatment option for bladder cancer.

摘要

膀胱癌(BCa)是全球第九大最常见的恶性肿瘤。尽管采用手术和化疗等强化治疗,但BCa 患者,尤其是晚期患者的预后仍然较差。逃避细胞凋亡的能力是癌细胞的一个标志。由于抗凋亡基因 BCL2、Bcl-xL、XIAP 和 survivin 在 BCa 组织中经常上调,因此联合使用 siRNA 介导的敲低可能比单一抑制一个靶标更能有效抑制 BCa 生长。针对每个靶标,选择了两种能够特异性降低 EJ28 和 J82 BCa 细胞中相应靶标 mRNA 和蛋白水平的 siRNA。抑制 survivin 引起了所有单一靶标治疗中最强的抗增殖作用,例如细胞计数减少了 50%。同时靶向四个抗凋亡基因下调了所有靶标的表达水平,并介导了细胞活力和细胞计数的显著降低以及细胞凋亡的诱导。在 EJ28 细胞中,BCL2、Bcl-xL、XIAP 和 survivin 的联合敲低导致细胞凋亡率增加了 2.5 倍,细胞活力降低了 40%。因此,同时敲低抗凋亡 BCL2、Bcl-xL、XIAP 和 survivin 可能成为治疗膀胱癌的一种有前途的选择。

https://cdn.ncbi.nlm.nih.gov/pmc/blobs/f0b9/3583635/5e11f7886c1e/IJO-41-04-1271-g00.jpg

文献检索

告别复杂PubMed语法,用中文像聊天一样搜索,搜遍4000万医学文献。AI智能推荐,让科研检索更轻松。

立即免费搜索

文件翻译

保留排版,准确专业,支持PDF/Word/PPT等文件格式,支持 12+语言互译。

免费翻译文档

深度研究

AI帮你快速写综述,25分钟生成高质量综述,智能提取关键信息,辅助科研写作。

立即免费体验