Suppr超能文献

高通量测序和小 RNA 转录组特征分析揭示了人参中新的和保守的 microRNAs 的特征。

High-throughput sequencing and characterization of the small RNA transcriptome reveal features of novel and conserved microRNAs in Panax ginseng.

机构信息

Institute of Medicinal Plant Development, Chinese Academy of Medical Sciences & Peking Union Medical College, Beijing, China.

出版信息

PLoS One. 2012;7(9):e44385. doi: 10.1371/journal.pone.0044385. Epub 2012 Sep 4.

Abstract

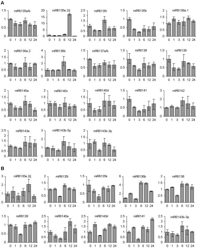
microRNAs (miRNAs) play vital regulatory roles in many organisms through direct cleavage of transcripts, translational repression, or chromatin modification. Identification of miRNAs has been carried out in various plant species. However, no information is available for miRNAs from Panax ginseng, an economically significant medicinal plant species. Using the next generation high-throughput sequencing technology, we obtained 13,326,328 small RNA reads from the roots, stems, leaves and flowers of P. ginseng. Analysis of these small RNAs revealed the existence of a large, diverse and highly complicated small RNA population in P. ginseng. We identified 73 conserved miRNAs, which could be grouped into 33 families, and 28 non-conserved ones belonging to 9 families. Characterization of P. ginseng miRNA precursors revealed many features, such as production of two miRNAs from distinct regions of a precursor, clusters of two precursors in a transcript, and generation of miRNAs from both sense and antisense transcripts. It suggests the complexity of miRNA production in P. ginseng. Using a computational approach, we predicted for the conserved and non-conserved miRNA families 99 and 31 target genes, respectively, of which eight were experimentally validated. Among all predicted targets, only about 20% are conserved among various plant species, whereas the others appear to be non-conserved, indicating the diversity of miRNA functions. Consistently, many miRNAs exhibited tissue-specific expression patterns. Moreover, we identified five dehydration- and ten heat-responsive miRNAs and found the existence of a crosstalk among some of the stress-responsive miRNAs. Our results provide the first clue to the elucidation of miRNA functions in P. ginseng.

摘要

microRNAs (miRNAs) 通过直接切割转录本、翻译抑制或染色质修饰,在许多生物体中发挥重要的调节作用。已经在各种植物物种中进行了 miRNAs 的鉴定。然而,对于经济上重要的药用植物物种人参,没有关于 miRNAs 的信息。我们使用下一代高通量测序技术,从人参的根、茎、叶和花中获得了 13,326,328 个小 RNA 读数。对这些小 RNA 的分析表明,人参中存在大量、多样且高度复杂的小 RNA 群体。我们鉴定了 73 个保守的 miRNAs,可以分为 33 个家族,还有 28 个非保守的 miRNAs 属于 9 个家族。人参 miRNA 前体的特征分析揭示了许多特征,例如从一个前体的不同区域产生两个 miRNA、一个转录本中两个前体的簇以及来自正义和反义转录本的 miRNA 的产生。这表明人参中 miRNA 产生的复杂性。通过计算方法,我们预测了保守和非保守 miRNA 家族的 99 和 31 个靶基因,其中 8 个靶基因得到了实验验证。在所预测的所有靶基因中,只有约 20%在各种植物物种中保守,而其他的似乎是非保守的,表明 miRNA 功能的多样性。一致地,许多 miRNAs 表现出组织特异性表达模式。此外,我们鉴定了 5 个脱水响应和 10 个热响应 miRNAs,并发现一些应激响应 miRNAs 之间存在串扰。我们的研究结果为阐明人参中 miRNA 的功能提供了第一个线索。

https://cdn.ncbi.nlm.nih.gov/pmc/blobs/e7e0/3433442/bd61e22d1b6b/pone.0044385.g001.jpg

文献AI研究员

20分钟写一篇综述,助力文献阅读效率提升50倍。

立即体验

用中文搜PubMed

大模型驱动的PubMed中文搜索引擎

马上搜索

文档翻译

学术文献翻译模型,支持多种主流文档格式。

立即体验