Suppr超能文献

历史上考拉(Phascolarctos cinereus)的线粒体 DNA 多样性较低。

Historically low mitochondrial DNA diversity in koalas (Phascolarctos cinereus).

机构信息

Leibniz-Institute for Zoo and Wildlife Research, Berlin 10315, Germany.

出版信息

BMC Genet. 2012 Oct 24;13:92. doi: 10.1186/1471-2156-13-92.

Abstract

BACKGROUND

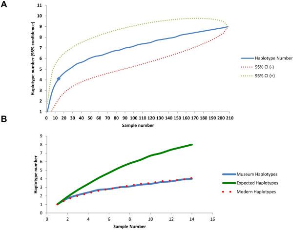
The koala (Phascolarctos cinereus) is an arboreal marsupial that was historically widespread across eastern Australia until the end of the 19th century when it suffered a steep population decline. Hunting for the fur trade, habitat conversion, and disease contributed to a precipitous reduction in koala population size during the late 1800s and early 1900s. To examine the effects of these reductions in population size on koala genetic diversity, we sequenced part of the hypervariable region of mitochondrial DNA (mtDNA) in koala museum specimens collected in the 19th and 20th centuries, hypothesizing that the historical samples would exhibit greater genetic diversity.

RESULTS

The mtDNA haplotypes present in historical museum samples were identical to haplotypes found in modern koala populations, and no novel haplotypes were detected. Rarefaction analyses suggested that the mtDNA genetic diversity present in the museum samples was similar to that of modern koalas.

CONCLUSIONS

Low mtDNA diversity may have been present in koala populations prior to recent population declines. When considering management strategies, low genetic diversity of the mtDNA hypervariable region may not indicate recent inbreeding or founder events but may reflect an older historical pattern for koalas.

摘要

背景

树袋熊(Phascolarctos cinereus)是一种树栖有袋动物,历史上分布于澳大利亚东部,但在 19 世纪末,其数量急剧减少。为了获取皮毛贸易、栖息地转换和疾病的利益,树袋熊的数量在 19 世纪末和 20 世纪初急剧减少。为了研究这些种群数量减少对树袋熊遗传多样性的影响,我们对 19 世纪和 20 世纪收集的树袋熊博物馆标本的线粒体 DNA(mtDNA)高度可变区进行了部分测序,假设历史样本会表现出更高的遗传多样性。

结果

在历史博物馆样本中存在的 mtDNA 单倍型与现代树袋熊种群中的单倍型相同,没有检测到新的单倍型。稀疏分析表明,博物馆样本中的 mtDNA 遗传多样性与现代树袋熊相似。

结论

在最近的种群减少之前,树袋熊种群可能已经存在低 mtDNA 多样性。在考虑管理策略时,mtDNA 高度可变区的低遗传多样性可能并不表示最近的近亲繁殖或奠基者事件,而是可能反映了树袋熊的一个更古老的历史模式。

https://cdn.ncbi.nlm.nih.gov/pmc/blobs/3f82/3518249/4e874a66b3c7/1471-2156-13-92-1.jpg

文献AI研究员

20分钟写一篇综述,助力文献阅读效率提升50倍。

立即体验

用中文搜PubMed

大模型驱动的PubMed中文搜索引擎

马上搜索

文档翻译

学术文献翻译模型,支持多种主流文档格式。

立即体验