Suppr超能文献

嗜酸粒细胞颗粒蛋白类似物激活上皮钙敏感受体可刺激胶原基质收缩。

Epithelial calcium-sensing receptor activation by eosinophil granule protein analog stimulates collagen matrix contraction.

机构信息

Department of Pediatrics, Pediatric Gastroenterology, Floating Hospital for Children at Tufts Medical Center, Tufts University School of Medicine, Boston, Massachusetts, USA.

出版信息

Pediatr Res. 2013 Apr;73(4 Pt 1):414-9. doi: 10.1038/pr.2012.198. Epub 2012 Dec 26.

Abstract

BACKGROUND

Eosinophils reside in normal gastrointestinal tracts and increase during disease states. Receptors for eosinophil-derived granule proteins (EDGPs) have not been identified, but highly cationic molecules, similar to eosinophil proteins, bind extracellular calcium-sensing receptors (CaSRs). We hypothesized that stimulation of CaSRs by eosinophil proteins activates epithelial cells.

METHODS

Caco2 intestinal epithelial cells, AML14.3D10 eosinophils, wild-type (WT) human embryonic kidney 293 (HEK293) cells not expressing CaSRs (HEK-WT), and CaSR-transfected HEK293 cells (HEK-CaSR) were stimulated with an eosinophil protein analog poly-L-arginine (PA) and phosphorylated extracellular signal-regulated kinase (pERK)1 and pERK2 were measured. Functional activation was measured with collagen lattice contraction assays.

RESULTS

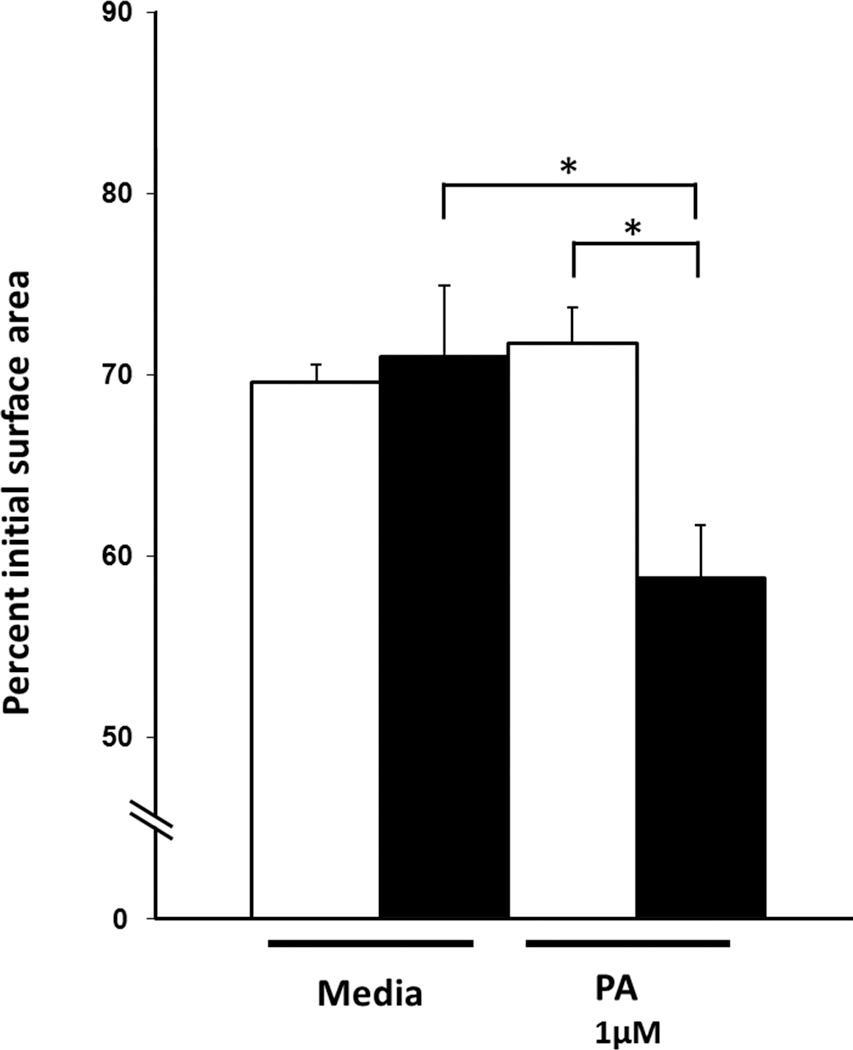
Coculture of Caco2 cells with AML14.3D10 eosinophils augmented lattice contraction as compared with lattices containing Caco2 cells alone. PA stimulation of Caco2 lattices augmented contraction. HEK-CaSR stimulation with PA or Ca(2+) resulted in greater pERK activation than that of stimulated HEK-WT cells. PA stimulated greater HEK-CaSR lattice contraction than unstimulated lattices. Contraction of PA-stimulated and PA-unstimulated HEK-WT lattices did not differ.

CONCLUSION

Exposure of intestinal epithelia to the EDGP analog PA stimulates CaSR-dependent ERK phosphorylation and epithelial-mediated collagen lattice contraction. We speculate that EDGP release within the epithelial layers activates the CaSR receptor, leading to matrix contraction and tissue fibrosis.

摘要

背景

嗜酸性粒细胞存在于正常的胃肠道中,并在疾病状态下增加。尚未鉴定出嗜酸性粒细胞衍生颗粒蛋白(EDGPs)的受体,但与嗜酸性粒细胞蛋白相似的高阳离子分子结合细胞外钙敏感受体(CaSRs)。我们假设嗜酸性粒细胞蛋白刺激 CaSR 会激活上皮细胞。

方法

用嗜酸性粒细胞蛋白类似物多聚精氨酸(PA)刺激 Caco2 肠上皮细胞、AML14.3D10 嗜酸性粒细胞、不表达 CaSR 的野生型(WT)人胚肾 293(HEK293)细胞(HEK-WT)和转染 CaSR 的 HEK293 细胞(HEK-CaSR),并测量磷酸化细胞外信号调节激酶(pERK)1 和 pERK2。用胶原格子收缩测定法测量功能激活。

结果

与仅含 Caco2 细胞的格子相比,Caco2 细胞与 AML14.3D10 嗜酸性粒细胞共培养可增强格子收缩。PA 刺激 Caco2 格子增强收缩。PA 或 Ca(2+)刺激 HEK-CaSR 导致 pERK 激活大于刺激的 HEK-WT 细胞。PA 刺激的 HEK-CaSR 格子收缩大于未刺激的格子。PA 刺激和未刺激的 HEK-WT 格子的收缩没有差异。

结论

肠上皮暴露于 EDGP 类似物 PA 会刺激 CaSR 依赖性 ERK 磷酸化和上皮介导的胶原格子收缩。我们推测,上皮细胞层中 EDGP 的释放会激活 CaSR 受体,导致基质收缩和组织纤维化。

https://cdn.ncbi.nlm.nih.gov/pmc/blobs/8b75/4321999/e7e1de54822b/nihms560349f1.jpg

文献AI研究员

20分钟写一篇综述,助力文献阅读效率提升50倍。

立即体验

用中文搜PubMed

大模型驱动的PubMed中文搜索引擎

马上搜索

文档翻译

学术文献翻译模型,支持多种主流文档格式。

立即体验